[拼音]:fushe zuni
[外文]:radiation damping
因辐射引起一个发射体系的运动的衰减,是谱线致宽的主要原因之一。经典电动力学理论把发射(或吸收)光的原子当作谐振子,辐射是由激发谱振子的振动产生的。由于辐射,谐振子受到阻尼力的作用,结果辐射出的电磁波的振幅不断衰减,这样就会得到具有一定宽度的谱线。角频率为ω0的谐振子的能量消耗规律为 E(t)=
,式中t为时间,E0为初始能量,
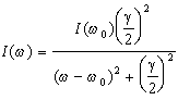
为阻尼常数,e、me、c分别为电子电荷、电子质量和光速。辐射强度I(w)与角频率的关系为:
。
因为在角频率间隔
处I(w)减小到一半,所以
称为谱线的半宽,γ 称为全半宽。以波长标度表示的谱线全半宽γ=1.17×10-4埃,是一个和波长无关的常数。这个宽度又称为谱线的自然宽度。由经典辐射阻尼理论得到的吸收系数,按频率的分布形式与上式类似。近代量子力学理论认为,谱线是由原子分立能级间的跃迁引起的。原子在各能级上只能停留一有限的时间Δt。根据测不准关系
,原子能级不应是无限窄的,而是有一定的宽度。这就使得两个能级的跃迁不可能是单一频率的辐射,而存在一定的频率间隔。因此,由原子能级跃迁所形成的谱线便有一定宽度和形状。量子力学理论得出的谱线形状与经典电动力学理论得出的相同。不过,阻尼常数γ =γi+γk,
。τi和τk分别为初态和末态的平均寿命。γi或γk决定于跃迁概率,它等于单位时间内原子离开该能级的所有可能跃迁总概率。