[拼音]:shuixing jinridian jindong wenti
[外文]:problem of the advance of Mercury’s perihelion
根据牛顿万有引力定律计算的水星近日点进动值与观测值的分歧。1859年,法国天文学家勒威耶发现水星近日点进动的观测值,比根据牛顿定律算得的理论值每世纪快38″,并猜测这可能是一个比水星更靠近太阳的水内行星吸引所致。可是经过多年的辛勤搜索,这颗猜测中的行星始终毫无踪影。纽康测定这个值为每世纪 43″。他提出,这可能是那些发出黄道光的弥漫物质的阻尼所造成的。但是,这种假设又不能解释其他几颗行星的运动。于是纽康就怀疑万有引力定律中的平方反比规律有问题。为了能同时解释几颗内行星的实际运动,纽康求出了引力应与距离的2+1.574×10-7次方成反比。十九世纪末,电磁理论发展的早期,韦伯、黎曼等人也都曾试图用电磁理论来解释水星近日点的进动问题,但均未能得出满意的结果。
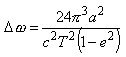
1915年,爱因斯坦发表了著名的广义相对论,成功地解释了这个问题。根据广义相对论,行星公转一圈后近日点进动为:
,
式中c为光速,T、a、e分别为轨道周期、半长径和偏心率。对于水星,此值与牛顿万有引力定律所得的差值为每世纪43.03。这与观测值十分接近,成为天文学对广义相对论的最有力的验证之一。
但是,这里仍存在两个问题:首先,根据牛顿定律,水星近日点应有每世纪ΔωN=5,557.62角秒的进动,其中的90%是由坐标系的岁差(见岁差和章动)引起,其余的部分是由其他行星,特别是金星、地球和木星的摄动引起的;而实际观测值为 ΔωO=5,600.73角秒,二者相减得每世纪 43.11角秒。因此,岁差常数的任何微小变动,如有万分之一的变动,都会直接影响到对广义相对论的验证,而这种变化是完全可能的。其次,影响水星近日点进动的因素很多,任何一个微小的因素,例如太阳的扁率,对它都有直接影响。因此,这个问题尚需继续研究。