大气运动的平衡状态

浏览

就大范围的空气运动而言,大气中的气块,在重力、气压梯度力、科里奥利力、粘性力(见大气中的作用力大气动力学)等的作用下产生的加速度很小,主要是准平衡状态。

静力平衡

指铅直方向的气压梯度力和重力的平衡。这种平衡的关系称静力学关系:

式中g重力加速度,ρ、P 分别为空气的密度和气压,z为高度。因为ρ 总是大于零,所以气压总是随高度递减。dP =-ρgdz称静力学方程。

考虑到大气的状态方程P =ρRdT,可以得出气压随高度分布的关系,即气压-高度公式,或称压-高公式:

式中Rd为干空气气体常数,T 为热力学温度,P0是海平面的气压。

对于大尺度运动来说(水平尺度l的量级约为103公里,铅直尺h的量级约为10公里,hl),其铅直加速度比重力加速度小得多,能够比较准确地满足静力平衡,即大尺度运动具有静力平衡或准静力平衡的性质。研究大尺度运动时,通常将铅直坐标高度z换为气压P,这样水平气压梯度力就可转换为等压面上的重力位势梯度,即:

式中墷h、墷p分别为等高面和等压面上的矢量微分算符,为重力位势。

地转平衡和地转风

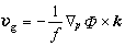
地转平衡指水平方向气压梯度力和科里奥利力的平衡,即:

其中vh为等高面上水平速度矢量,k为铅直方向的单位矢量,f 为科里奥利参数。在地转平衡下的运动(见图),称为地转风(v)g),即:

也可用重力位势写出,即:

在离地面1公里以上的自由大气中,大尺度运动的铅直速度比水平速度小得多,而且水平运动的惯性力和粘性力,也比水平气压梯度力和科里奥利力小得多,因此,自由大气的大尺度运动,除了具有准水平运动的性质外,还近似地满足地转风关系,故又称为准地转运动。

图

地转风的方向平行于等压线(或等重力位势线)。在北半球,若背风而立,高气压(或高重力位势)在右侧,低气压(或低重力位势)在左侧,在南半球则相反。风和气压场分布的这种经验规律,是C.H.D.白贝罗于1857年首先提出的,故称白贝罗定律。地转风的速度,和水平气压梯度(或等压面上的重力位势梯度,即等压面坡度)成正比,和科里奥利参数及空气密度成反比。

在地转平衡下,等压线(或等重力位势线)是地转风的流线。因为水平气压梯度力和科里奥利力相平衡,所以气块没有水平运动动能的变化,当然也就没有天气演变了。但实际大气运动是变化的,所以大尺度大气运动只是接近于地转平衡状态。

梯度风

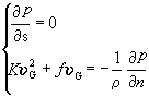
在地转风条件下,气块没有任何加速度,故其速度大小和方向都不变。这不仅说明风沿等压线吹,而且等压线只能是直线。可见,地转风的概念对等压线曲率较大的地区是不适用的。这样的地区,大气运动的切向加速度甚小,但向心加速度却很显著。在这种情况下,科里奥利力、气压梯度力和离心力形成了平衡力系,空气作水平匀速曲线运动,形成了梯度风。它满足如下关系:

式中sn 分别为空气运动的切向和法向坐标,k为轨迹的曲率,vg为梯度风的速度。

因此,梯度风和地转风相似,都沿着等压线运动。在北半球,若背风而立,高压在右,低压在左,在南半球则相反。此外,气旋式运动的梯度风小于地转风,反气旋式运动的梯度风大于地转风。因为大尺度运动的轨迹曲率都不大,而且梯度风的计算很不方便,所以,通常仍用地转风而不用梯度风来表征实际风。

热成风

地转风在铅直方向上的速度矢量差称为热成风,其表达式为

这里vT表示热成风的速度矢量,Δvg为高度z2z1地转风的铅直切变,Δz=z2-z1表示上下等压面P2P1间气层的铅直厚度,因

式中代表该气层的平均温度,Rd是干空气的气体常数。这样,热成风的速度矢量还可表示为

显然,热成风的方向与等平均温度线平行。在北半球顺热成风方向看,高温在右,低温在左;南半球则相反。热成风的大小与平均温度梯度成正比,与科里奥利参数 f 成反比。因此,同地转风相对应,有人把热成风定义为温度水平分布所形成的“风”。

对于正压大气,等压面上的温度梯度为零,故不存在地转风的铅直切变;对于斜压大气,在等压面上有温度梯度存在,必然有地转风的铅直切变,即存在热成风。在自由大气中,因大尺度运动的实际风近似于地转风,故实际风随高度的变化,可近似地用地转风的铅直切变或热成风来表征。因此,地转风和热成风,反映着自由大气中大尺度运动的风场、气压场、温度场之间最基本的关系。利用热成风,还可以分析天气系统的三度空间分布。

综上所述,可知大气的大尺度运动是准静力的、准水平的和准地转的。

参考书目
  1. 郭晓岚讲授,朱伯承整理:《大气动力学》,江苏科学技术出版社,南京,1981。
  2. J.Pedlosky,GeophysicalFluid Dynamics,