[拼音]:hesijiju gongzhen
[外文]:nuclear quadrupole resonance
核自旋量子数I》1的原子核除有核磁矩μ外,还有电四极矩Q,它起源于原子核正电荷的非球对称分布。核的电四极矩Q可大于零或小于零,视核电荷分布循自旋轴方向延伸或压缩而定。
式中ρ(θ,r)为核电荷密度;r为由核的质心至体积元dτ的距离;θ为自旋轴z轴与r间的夹角。
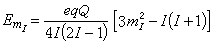
分子中具有电四极矩的原子核处往往存在电场梯度,四极矩 Q与这种不均匀电场间的作用能量是量子化的。在轴对称的电场梯度情况中,允许的能量为:
式中q为在核处的电场梯度,它取决于核周围的电荷分布,eqQ为核四极矩耦合常数,磁量子数mI可取I、I-1、…、-I+1、-I等值。对于±mI,EmI都相同,故对mI≠0的情况,能量或对应的能级是二重简并的,不同能级间可发生跃迁,并服从ΔmI±1的选择原则,当外加射频电磁波的频率v满足以下方程时:
原子核就从射频电磁场吸收能量,从低能级跃迁至高能级,产生核四极矩共振。式中h为普朗克常数。
核四极矩在不均匀电场中产生的简并能级还可因外磁场的作用引起进一步分裂。原子核在这些能级间的跃迁仍服从ΔmI=±1的选择原则。