[拼音]:dimian sheying celiang
[外文]:terrestrial photogrammetry
利用安置在地面上基线两端点处的专用摄影机拍摄的立体像对,对所摄目标物进行测绘的技术。
1851年,法国的洛斯达(A.Laussedat)最早用地面摄影测量方法编制地形图。当时的作法是先在地面选设摄影站点,摄影时使摄影机光轴保持水平,像片面则处于铅垂位置,至少从两个摄站分别摄取同一地段的像片,摄站位置和摄影机方位用普通测量方法测定。在室内利用像片测点时,是根据单张像片上的像点坐标,求出从摄站到各地面点方向与光轴之间的水平角及竖直角;然后,利用求得的水平角在绘图板上展绘出各摄站到各相应点的诸方向线,类似于平板仪的图解交会,得到各点的平面位置,再利用竖直角和量取的距离计算出各点的高程。这种方法称为平板仪摄影测量或交会摄影测量。1901年,德国的普尔弗里希(C.Pulfrich)创制了立体坐标量测仪,地面摄影测量遂发展为地面立体摄影测量,即用地面拍摄的立体像对,在地面立体测图仪上建立模型,然后再进行地形测绘的技术。它适用于险阻高山区、小范围山区和丘陵地区的测图,可用于地质、冶金、采矿、水利、铁道等多方面的勘察工作。1966~1968年,中国曾用此方法测绘了珠穆朗玛峰地区比例尺为1:25000和1:50000的地形图。
地面立体摄影测量的外业工作包括摄影和测量两部分。摄影工作是在地面选定的基线两端点,用摄影经纬仪按一定方式分别摄影,以获取立体像对。摄影方式可分为:
(1)正直摄影,即摄影机光轴保持水平,并与基线方向相垂直;
(2)等偏摄影,即摄影机光轴保持水平,从与基线相垂直的方向左偏或右偏同一角度;
(3)交向摄影,即摄影机光轴保持水平,而在基线两端摄影的光轴方向相交成某一角度;
(4)等倾摄影,即在正直摄影或等偏摄影光轴所处位置的基础上,使两个光轴再上仰或下倾同一角度。在地形测量作业中,通常采用前两种摄影方式。外业的测量工作包括选择摄影基线,用普通测量方法测定基线长度,基线端点和检查点的坐标值。摄影基线长度和位置的选定,以能满足成图或量测精度要求和减少野外工作量为原则。地面摄影测量使用的摄影机具有定向装置,摄影镜箱的主距以往都是固定的,不能调焦(以测量地形为目的的摄影机一般也无需调焦)。为通用于近景摄影测量,在现代的产品中,有的摄影镜箱主距可以调节,有的还带有附属部件,使两个摄影机在基线两端可以进行同步摄影。
地面立体摄影测量的内业成图方法可分为解析法、图解法和利用地面立体测图仪的测绘方法。其原理如图1(右图为相应的侧视图)。
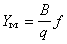
内业成图的解析法是在立体坐标量测仪上量测出某地面点M在左像片m1上的横坐标x1和纵坐标z1,以及左右视差p(p=x1-x2),按下列各式计算地面点在以左摄站S1为坐标原点,基线方向为X轴,长度为B,左方光轴方向为Y 轴的空间直角坐标系中的坐标XM、YM、ZM。对于正直摄影为:
,
,
,
式中f为摄影机主距;B为摄影基线的水平长度。对于等偏摄影为(图2):
,
,
,
式中嗘为等偏角度,向右偏时嗘为正值,左偏时嗘为负值。x2为右像片上的横坐标。内业成图的图解法是根据立体坐标量测仪上量测出的x1、z1和p 值,按相似三角形关系设计一种图板,图解地求出地面点的平面位置和高程。这种方法在地面摄影测量的发展过程中曾发挥过作用。利用地面立体测图仪的测绘方法是目前在生产实践中使用的主要方法。
1911年德国制造出由奥地利的奥雷尔(E.von Orel)设计的比较完善的地面立体测图仪。这种测图仪主要是由一台立体坐标量测仪以及平面的和高程的交会杆所组成。其结构原理(图3)
是将两张像片P1,P2所形成的空间投影射线分解成两部分:一部分投影到物方空间直角坐标系的XY平面上。当立体观测像片坐标为x1、z1和x2的某地面点时,通过左方像片投影中心S1的方向杆L1和过右方投影中心S2的视差杆L2间接地实现前方交会,确定地面点的平面位置。此时S1S2=B,B是以成图比例尺表示的基线值。另一部分投影到物方的YZ平面上,用高程杆H1来体现。因平面交会已经确定了所测点的Y坐标,故只需采用左方高程杆H1就能确定点的高程。现代出产的各种型号的地面立体测图仪,结构原理基本上与奥雷尔当初所创制的相同,但作了某些改进。例如增加了右方高程杆,得以在观测过程中自动消除上下视差;有的还配备有倾斜计算器,用以处理等倾摄影像对等。有些主要为航测用的立体测图仪,也可直接用于处理地面摄影的像片对。
当代的解析法地面摄影测量,是从解析摄影测量的基础理论出发,依据地面控制点以及尽可能精确的摄影外方位元素进行综合平差运算,从而取得地面摄影测量较高的测点精度。这一方法可用于观测结构物的变形,如测求大坝变形和地面滑动等数据。