解析摄影测量

利用摄影机或其他传感器获得的信息,使用解析方法进行测点、测图或空中三角测量的技术。

20世纪30年代以来,摄影测量基本上都是使用模拟式的解法。50年代以后,随着数学计算机和计算技术的发展,摄影测量逐步由模拟方式向解析的方式过渡。最初是解析空中三角测量,60年代以后又出现了解析测图仪和数字地形模型等。

基础

像点在不同的空间坐标系中的坐标变换和用数学方式表达投影光线(像点、投影中心和地物点三点共线)与同名光线相交(两同名光线共面),以建立立体模型,以及模型的绝对定向(模型点坐标的空间相似变换)等,这些都是解析摄影测量的最基础的理论知识。

像点坐标变换式

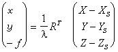
设某像点的像空间坐标为xу、-f,它的辅助空间坐标为XYZ,投影中心S为这两个坐标系的原点,则其坐标变换关系式(以矩阵形式表示)为:

其中f为摄影机主距;R为旋转矩阵,它是由两坐标系相应坐标轴之间的夹角的余弦所组成的,它们都是像片在空间坐标系中的3个角元素的函数(图1)。

图1

共线条件方程式

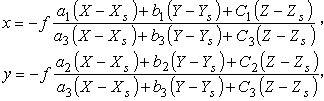
投影中心像点及其相应地面点,三点共线应满足的条件方程式。若投影中心S 和某地物点在某一空间坐标系中的坐标分别为 XSYSZSXYZ,其相应像点的像空间坐标为xу、-f,于是其共线条件方程为:

式中RT为旋转矩阵R的转置阵;λ为比例因子。上式也可改写为:

像对相对定向关系式

像对中所有同名光线都应对对相交所满足的条件方程式,即同名光线的共面条件方程式。利用该条件方程式可解求像对的相对方位元素,从而可计算出各模型点的空间坐标,即可用解析方式建立数字的单个立体模型。同名光线共面原理如图2。

图

共面条件用矢量表示为:

或者

式中矢量B=S1S2为摄影基线;BXBYBZ为基线B在以S1为原点的空间辅助坐标系中的 3个分量;R1R2分别为矢量X1Y1Z1为像点ɑ1在以S1为原点的辅助坐标系中的坐标值;X2Y2Z2为像点ɑ2在以S2为原点的辅助坐标系中的坐标值,这两个坐标系相应的轴互相平行。

模型的绝对定向关系式

模型点空间坐标相似变换的关系式。它有坐标原点平移(3个参数),模型的空间旋转(3个参数)和比例尺系数等7个待定参数。三维的线性相似变换式为:

式中R是3个绝对定向角ΦΩK为函数所组成的方向余弦的旋转矩阵;XGYGZG为模型重心的坐标值(取模型中各点坐标的平均值);是绝对定向前,模型点以重心为原点的坐标值。

共线条件方程、共面条件议程和空间相似变换关系式可分别用来解求像片的外方位元素、像对的相对方位元素和绝对方位元素,此时,需要将上述严密关系式线性化,在有多余观测条件下,用最小二乘法进行解算。

解析测图仪

由立体坐标量测仪、电子计算机和电子绘图桌以联机方式组成的一种立体测图系统。坐标仪的手轮和脚轮的旋转,通过编码器将机械的移动量转变为电脉冲信号,经过模/数转换,将物空坐标输入计算机或专用机(称为数字投影器),“实时”地作像点坐标的像差改正、解算共线方程等。计算得应有的像点坐标xу,并由计算机反馈到立体坐标量测仪中,通过数/模转换,控制伺服电机使像片盘或光学系统作理论上应该加入的额外移动。“实时”就是从数据输入,作各种运算以及反馈到闭路系统的伺服电机作像盘的额外移动等,整个过程都应该在小于1/30秒的时间内完成,这样,人在观测中就不会感觉到有任何的跳动。当需要联机绘图时,电子计算机还可实时地控制绘图桌,以图解方式绘图(图3)。

图3

有少数解析测图仪是将像方坐标输入计算机,这时,计算机要“实时”地计算并控制像片车架(或光学系统)的附加移动,以及计算相应模型点的物方空间坐标,控制绘图桌进行绘图。

解析测图仪的测图原理同常规的模拟型立体测图仪的测图原理基本相同,只是后者利用实际的投影光线或者用一对空间导杆代替空间光线,而解析测图仪则利用一台专用的电子计算机实时地解算构像方程式来完成这项任务。测图中的相对定向和绝对定向等操作过程,对两类仪器来说也是基本相同的,但解析测图仪完全是用计算机软件来保证,故有较大的灵活性,几乎能够处理所有方式的摄影资料。由于立体模型是用解析方法形成的,可以改除各种像差的影响和减少仪器误差,所以能够得到较高的精度。

发展

计算机功能的不断增强、价格不断下降和解析方式的灵活性,促使解析摄影测量迅速发展。解析空中三角测量已得到普遍的应用,数字地形模型技术和解析测图仪将逐渐地普及。解析摄影测量的原理将在地形和非地形摄影测量以及遥感图像的几何改正等各个领域中广泛应用,并为摄影测量的自动化打下了基础。解析摄影测量都是以数字运算为基础的,在其发展中,有时为了强调数字的特点,对某些工种,习惯上又称之为数字摄影测量。(见彩图)。

解析测图仪---在电子计算机控制下进行解析空中三角测量,获得数字地形模型或测绘地形图 立体坐标量测仪----可以精确量测同名像点在左、右像片上的像平面坐标 X-2型视差测图仪----航空报影测量分工法的测图仪器 立体刺点仪----为解析空中三角测量精确转刺同名像点 立体测图仪----航空摄影测量全能法的测图仪器