[拼音]:shijie
[外文]:event horizon
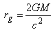
黑洞的边界,或称单向膜。对于经典黑洞而言,黑洞外的物质和辐射可以通过视界进入黑洞内部,而黑洞内的任何物质和辐射却不能穿出视界。球状黑洞(史瓦西黑洞)的视界是以引力半径rg为径向坐标值的球面:
,式中M为黑洞的质量,G为万有引力常数,c为光速。视界的表面积 A是一个重要的量,对于球状黑洞A=4πr娷=16πG2M2/c4。由于视界具有单向膜性质,黑洞的质量M及其表面积A,是只增不减的。如果两个黑洞发生碰撞而合并成为一个黑洞,那么,合并后的黑洞的表面积将大于原来两个黑洞的表面积之和。因此,黑洞视界的表面积与热力学的熵的概念相近。通常就把黑洞的熵定义为黑洞视界表面积与一常数的乘积。对于有旋转运动的黑洞(克尔黑洞),视界的径向坐标为:
,
式中J是角动量。在G=c=1的系统中,
,
式中α=J/M。当α=0时,r=rg,克尔黑洞就退化为史瓦西黑洞。