重排反应

浏览

分子中共价键结合顺序发生改变的反应。这种改变可导致碳架或官能团位置发生变化,有时因为伴有进一步变化而得到分子组成与反应物并不相同的重排产物。

分类

反应机理可分两类:

(1)反应物分子中的一个基团在分子范围内从某位置迁移到另一位置的反应。常见的迁移基团是烃基。一般是反应物分子中先形成一个活性中心,从而促使有关基团迁移,这种过程也有协同(见协同反应)完成的情况。

(2)通过形成一个环状结构过渡态的周环反应,反应物分子中某些共价键发生断裂并协同地形成另一些共价键(见伍德沃德-霍夫曼规则)。

基团迁移重排反应

迁移基团的原来位置称为迁移起点,迁移后的位置称为迁移终点,当两者为相邻原子时是1,2-迁移作用。这类反应又可按价键断裂方式分为异裂和均裂,前者重要得多,其中尤以缺电子重排最为重要。

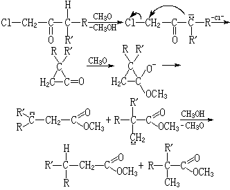
缺电子重排反应

反应物分子先在迁移终点形成一个缺电子活性中心,从而促使迁移基团带着键裂的电子对发生迁移,并通过进一步变化生成稳定产物。以频哪酮重排反应为例,反应物分子中的一个羟基与酸作用形成盐后失水变为缺电子活性中心正碳离子,促使邻位带羟基碳原子上的一个烃基带着电子对发生1,2-迁移,同时羟基氧原子上未共用电子对转移到碳氧之间构成双键,最后失去质子而得产物:

公式 符号

类似的缺电子重排反应很多,其中最有代表的是:通过在迁移终点形成正碳离子的瓦格纳-米尔魏因重排反应和通过在迁移终点形成缺电子氮原子的贝克曼重排反应、霍夫曼重排反应(N-烷基苯胺的氢卤酸盐在加热时重排成氨基烷基苯的反应)等。

富电子重排反应

在迁移终点形成一个富电子活性中心后,促使迁移基团不带键裂电子对而转移,例如法沃斯基重排:α-卤代酮在强碱作用下重排,生成碳架不同的羧酸酯,反应通过富电子活性中心负碳离子进行:

公式 符号

此外,有些芳香族化合物在酸的作用下,也会发生异裂重排反应(见异裂反应),例如N-硝基苯胺和N-磺酸基苯胺分别在酸的作用下生成邻或对硝基苯胺和氨基苯磺酸的重排反应、酚的羧酸酯在三氯化铝作用下生成邻或对酚酮的弗利斯重排和氢化偶氮苯在酸的作用下生成联苯胺的联苯胺重排。

周环反应

反应物因分子内共价键协同变化而发生重排的反应,有电环化反应和σ迁移反应。例如环丁烯经加热发生逆向电环化而得1,3-丁二烯,1,3-己二烯经加热发生氢原子1,5-迁移而得2,4-己二烯。这类重排在合成中应用最多的是属于3,3-迁移的科普重排和克莱森重排。

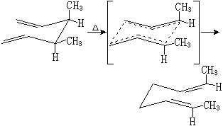
科普重排反应

1,5-二烯受热重排为另一个1,5-二烯的反应。由于环状过渡态是能量较低的椅式构象,反应的立体专一性很强。例如内消旋-3,4-二甲基-1,5-己二烯经加热几乎定量地转变为(ZE)-2,6-辛二烯:

公式 符号

克莱森重排反应

参与反应的体系中有一个氧原子代替了碳原子。例如,苯基烯丙醚经克莱森重排生成的环己二烯酮随即异构化为邻烯丙基苯酚,过渡态也是椅式构象:

公式 符号