氨基酸

浏览

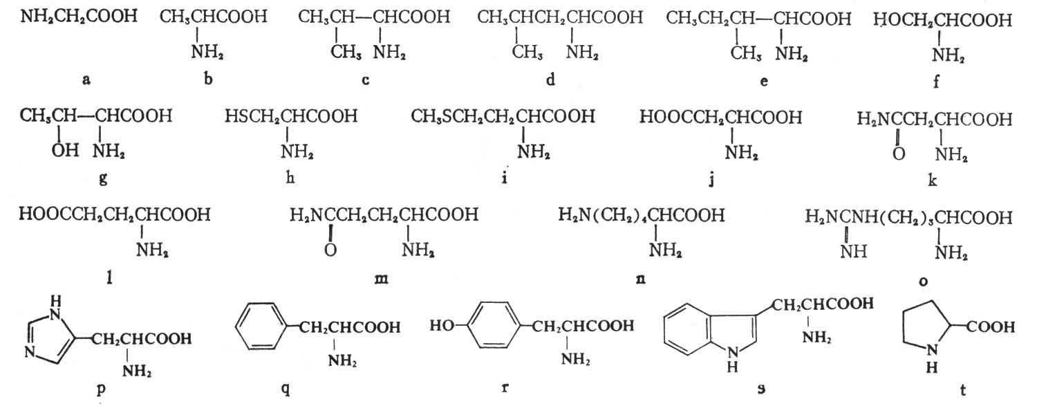
分子中兼有氨基和羧基的有机化合物。氨基连接在羧基的α碳原子上的氨基酸叫α-氨基酸,其他氨基酸依次类推为β-、γ-、δ-、 …氨基酸。最简单的α-氨基酸是甘氨酸,它是由H.布拉孔诺在1820年发现的第一个氨基酸。当α碳原子上有取代基R-时,由于取代基不同而形成了各种α-氨基酸,R-基团称为氨基酸的侧链。当α 碳原子连有四个不同的基团而成为不对称原子时,可形成一对对映体,其构型(见分子的构型)参照甘油醛构型加以确定(见图),与L-甘油醛相应的为L-氨基酸,与 D-甘油醛相应的为D-氨基酸。一般氨基酸是指L-α-氨基酸。

存在

氨基酸主要存在于蛋白质中,它是蛋白质的结构单位。一般蛋白质是由20种氨基酸组成的,约占生物界中所有氨基酸的绝大部分。此外,还有十几种L-氨基酸分别以一定量存在于一种或几种蛋白质中。例如,甲状腺素是一种含碘氨基酸,只存在于甲状腺球蛋白中,L-羟基脯氨酸存在于明胶和一些糖蛋白中。这些非常见蛋白质氨基酸是20种常见蛋白质氨基酸的衍生物。除蛋白质外,氨基酸也是生物活性肽、酶和其他一些生物活性分子的重要组分。在自然界也有少量的氨基酸,以游离状态存在。到目前为止,已发现 700多种天然氨基酸,其中约240多种是以游离状态存在的,约200多种为L-α-氨基酸,也有一些β-、γ-、δ- 、…氨基酸和一些结构相当复杂的氨基酸。已发现的D-氨基酸约40种左右。除蛋白质氨基酸外,其他非蛋白质氨基酸的量都是比较少的,有些是蛋白质氨基酸的衍生物,多数是代谢的中间体。D-氨基酸存在于抗生素和细菌细胞壁中,如D-谷氨酸是各种细菌细胞壁的重要成分,D-氨基酸在动植物中也有发现。

图

物理性质

氨基酸为白色固体,易溶于酸、碱溶液中。各种氨基酸在水、乙醇中的溶解度差别很大。在水溶液中,氨基酸分子中的氨基和羧基及侧链上的某些基团都是可以电离的,因此氨基酸是一种两性电解质。20种常见蛋白质氨基酸,除甘氨酸外,分子中都含有不对称碳原子,因此都具有旋光性(见旋光异构)。旋光性的正负和大小与侧链的性质有关,且受溶剂、温度等的影响。20种蛋白质中常见氨基酸的主要理化性质见表。

图

化学性质

氨基酸中的氨基、羧基和侧链上的官能团都可进行本基团特有的化学反应。如氨基能与亚硝酸反应,定量放出氮气;与酰基化试剂发生酰化反应,与醛生成席夫碱。羧基能与醇起酯化反应,也可以通过化学反应生成酰氯、酰胺、酰肼等。氨基酸的氨基与茚三酮反应可用于氨基酸的定性、定量分析,与异硫氰酸苯酯反应,可用于测定多肽和蛋白质的一级结构,即氨基酸的顺序。氨基酸最重要的化学反应是分子间形成酰胺键,组成多肽和蛋白质。在生物体中,氨基酸在特种酶、信使核糖核酸、转移核糖核酸和核糖体(见核酸)等作用下生成多肽或蛋白质:

公式 符号

生物合成和代谢

植物细胞和微生物中的硝酸盐还原酶、亚硝酸盐还原酶能催化还原硝酸盐、亚硝酸盐成氨,含有固氮酶的微生物能固定空气中的氮并将它还原成氨。植物细胞和微生物把还原所得或外界摄入的氨与体内代谢作用所产生的α-酮戊二酸作用生成谷氨酸。催化这一反应的酶为谷氨酸脱氢酶,该酶所需的辅酶在植物体内为辅酶Ⅰ,在微生物体内为辅酶Ⅱ。在某些微生物体内,存在天冬氨酸酶,能催化氨和延胡索酸作用,生成天冬氨酸。在植物和微生物体内形成谷氨酸或天冬氨酸后,即可经脱羧、转氨等作用,制造合成蛋白质所需的所有氨基酸。在动物体内,在谷氨酸脱氢酶和所需辅酶Ⅰ或Ⅱ催化下,能由氨和α-酮戊二酸合成谷氨酸。动物与植物不同,在进化过程中,动物机体丧失了合成某些α-酮酸的能力,也就丧失了合成相应的氨基酸的能力,因此动物机体内,通过脱羧、转氨等作用只能合成部分氨基酸。在20种组成蛋白质的氨基酸中,人体不能合成赖氨酸、甲硫氨酸(蛋氨酸)、亮氨酸、异亮氨酸、缬氨酸、苏氨酸、苯丙氨酸和色氨酸,能合成精氨酸和组氨酸,但合成能力差,不能满足机体需要。这些必须由外界供给以满足代谢需要的氨基酸称必需氨基酸;反之称为非必需氨基酸。人体的必需氨基酸为 8种必需氨基酸和两种半必需氨基酸。高等动物能利用铵离子作为氮源,合成非必需氨基酸。动物通过食物获得蛋白质等,从而获得必需和非必需氨基酸,以及合成非必需氨基酸和其他含氮生物分子所需的氮源。在一般情况下,以蛋白质为食物的动物很少需要直接合成非必需氨基酸。谷物豆类等植物蛋白中赖氨酸含量相对比较低,在此类食物制品中添加赖氨酸可提高食品的营养价值和增进人体健康。

图

肝脏是动物代谢氨基酸的主要场所。人体的氨基酸通过以下一种或几种途径代谢:

(1)与蛋白质结合;

(2)与一个小肽结合;

(3)利用它的氮合成一种非必需氨基酸;

(4)合成一种含氮化合物;

(5)经脱氨基作用生成氨和α-酮酸,前者部分转化成尿素,由尿排出体外,后者可通过糖再生途径,变为葡萄糖,也可通过三羧酸循环氧化为二氧化碳

工业制法

工业生产氨基酸的方法有提取法、发酵法、化学合成法和酶法。提取法是利用等电点沉淀或离子交换树脂层析从蛋白质水解液中分离氨基酸的方法,曾是制造氨基酸的主要方法。后来许多氨基酸用发酵法廉价生产。近来利用石油化工原料,采用兼有化学合成法和发酵法两者优点的酶法生产氨基酸,使L-天冬氨酸、L-赖氨酸、L-半胱氨酸、L-色氨酸、L-多巴、D-苯甘氨酸和D-对羟基苯甘氨酸等已实现工业化生产。化学合成法可用于大规模生产D,L-蛋氨酸、甘氨酸和D,L-丙氨酸等,并且广泛用于生产那些量较少或尚未能用其他方法经济生产的氨基酸。最常用的化学合成法有施特雷克合成法和乙酰胺基丙二酸酯法等。

(1)施特雷克法:

RCHO+HCN+NH嬃─→RCH(NH2)CN

─→RCH(NH2)COOH

(2)乙酰胺基丙二酸酯法(X为卤素):

RCH2X+CH3CONHCH(COOC2H5)2

─→RCH2C(NHCOCH3)(COOC2H5)2

─→RCH(NH2)COOH一般由化学合成所得的氨基酸是D,L-外消旋体(见旋光异构),可用接种结晶法拆分,或使它与光学活性的有机酸、碱(如酒石酸、马钱子碱等)生成盐后经分步结晶加以拆分,也可以制备成酯、酰化物后,用蛋白水解酶、酰化酶、氨基氧化酶等加以拆分。用不对称合成可直接得到光学活性的氨基酸。例如,曾用光学活性的铑络合物催化法工业化生产L-多巴。

应用

全世界每年生产约45万吨氨基酸,其中64%为L-谷氨酸,其钠盐即市售的味精,可用作烹饪的调味剂;26%为D,L-蛋氨酸,主要用作饲料添加剂;7%为L-赖氨酸盐酸盐,作为人类食品,特别是儿童食品的营养强化剂,也用于饲料工业;再其次为甘氨酸,年产6000吨,可作食品工业的甜味剂。此外,由于L-苯丙酰-L-天冬氨酸甲酯为新型甜味剂,使L-天冬氨酸和L-苯丙氨酸的生产量迅猛增加。在食品工业上用量较大的另一种氨基酸为L-半胱氨酸,可作为天然果汁抗氧剂,能改善面包风味并可延长保鲜期,在植物蛋白人造肉中,加入半胱氨酸等含硫氨基酸可使其呈牛肉、鸡肉等味道。L-色氨酸也是一种重要营养强化剂。L-多巴、D-青霉胺是重要的药物,D-苯甘氨酸、D-对羟基苯甘氨酸是头孢霉素的重要中间体。20种常见的氨基酸大部分用来配制各种氨基酸输液。以氨基酸为原料合成的生物活性肽──激素,是一类重要的药物。

此外,氨基酸也用于化妆品工业,近来精细化工方面也开始以氨基酸为原料,合成一些化工产品。

参考书目
  1. 沈同、王镜岩、赵邦悌主编:《生物化学》,人民教育出版社,北京,1980。

参考文章