祖冲之

浏览

中国南北朝时期杰出的数学家、天文学家。字文远。生于宋文帝元嘉六年(429),卒于齐东昏侯永元二年(500)。祖籍在范阳郡遒县(今河北涞源县),由于战乱,先世由河北迁居江南。祖父任刘宋朝大匠卿,是管理土木工程的官吏。父亲做奉朝请,学识渊博,很受敬重。祖冲之青年时代进入专门研究学术的华林学省,从事学术活动。他一生中先后在刘宋朝和南齐朝担任过南徐州(今镇江市)从事史、公府参军、娄县(今昆山县东北)令、谒者仆射、长水校尉等官职。

祖冲之在数学方面的主要贡献是关于圆周率的计算。据《隋书·律历志》记载, 他算出圆周率 π 的真值在3.1415926(朒数)和3.1415927(盈数)之间。这两个近似值准确到小数第 7位,是当时世界上最先进的成就,直到15世纪,阿拉伯数学家卡西和16世纪法国数学家F.韦达才得到更精确的结果。祖冲之确定了两个分数形式的π值:约率22/7(≈3.14),密率355/113(≈3.1415929)。这两个值都是π的渐近分数,其中密率 355/113,直到16世纪才被德国人V.奥托和荷兰人A.安托尼斯重新发现。祖冲之还和儿子祖暅圆满解决了球体积的计算问题,得到正确的球体积公式,并且提出后人所称的“祖暅原理”。所著《缀术》一书,是著名的《算经十书》之一,被唐代国子监列为算学课本,规定学习四年,惜已失传。

在天文历法方面,祖冲之创制了《大明历》,最早把岁差引进历法,这是中国古代历法的一个重大进步;采用了391年加144个闰月的精密的新闰周;《大明历》中使用的回归年日数(365.2428)、交点月日数(27.21223)、木星公转周期、五大行星会合周期等数据都相当精确;还发明了用圭表测量冬至前后若干天的正午太阳影长以定冬至时刻的方法,这个方法也为后世长期采用。宋孝武帝大明六年(462),祖冲之上书要求刘宋政府颁布实行《大明历》,但遭到当时倖臣戴法兴的攻击。他认为祖冲之引进岁差、改革闰周等违背了儒家经典,责备祖冲之是“诬天背经”。祖冲之针锋相对地写了一篇辩驳的奏章。他表示了“愿闻显据,以核理实”,“浮辞虚贬,窃非所惧”的鲜明立场,并且用科学道理回答了戴法兴的责备。他用观测事实证明,由于岁差,当时所见的天象确实已和儒家经典中所反映的春秋以前的情况不同,而回归年的长度也的确比《四分历》的要小。这些天文事实都是“有形可检,有数可推”,人们不能“信古而疑今”。

祖冲之还是一位博学多才的科学家,对于各种机械也有研究。他曾经设计制造过水碓磨(利用水力加工粮食的工具)、铜制机件传动的指南车、一天能行百里的“千里船”以及一些陆上运输工具。他还设计制造过计时器──漏壶和巧妙的欹器。

此外,祖冲之还精通音律,甚至还曾经写过小说《述异记》十卷。

他的著述很多,《隋书.经籍志》著录有《长水校尉祖冲之集》五十一卷。散见于各种史籍记载的有:《缀术》、《九章算术注》、《大明历》、《驳戴法兴奏章》、《安边论》、《述异记》、《论语孝经释》以及关于《易经》、《老子》、《庄子》的注释等。但其中绝大部分著作都已失传。

祖暅

祖冲之之子,字景烁,是南朝著名的数学家和天文学家。在梁朝担任过员外散骑侍郎、太府卿、南康太守、材官将军、奉朝请等职务。

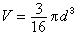
祖暅从小就受到良好的家庭教育,青年时代已经对天文学和数学有很深造诣,是祖冲之科学事业的继承者,《缀术》就是他们父子共同完成的数学杰作。《九章算术.少广》章李淳风注所引述的“祖暅之开立圆术”,详细记载了祖氏父子解决球体积问题的方法。九章旧术误认为球与外切圆柱的体积之比为圆率与方率之比,即 π:4,因而其球体积公式相当于 d为球的直径),这显然是不正确的。刘徽最早发现了这个错误,并指出球与外切“牟合方盖”(直径同为d的两个正交圆柱的公共部分,图1)的体积之比才是π:4,但他未能求出牟合方盖的体积。而祖氏父子却解决了这个问题,并在推算过程中,明确提出了“幂势即同,则积不容异”(即二立体在等高处截面积恒相等,则二立体体积相等)的公理,后称之为“祖暅原理”。这个原理,直到17世纪才由意大利数学家(F.)B.卡瓦列里重新发现。根据祖暅原理,可将牟合方盖的体积化成正方体与一个四棱锥的体积之差(图2),从而求出牟合方盖的体积等于,并得到球的体积(d为球的直径)。祖暅曾三次上书梁朝政府推荐改用《大明历》,使得这部历法终于在梁武帝天监九年(510)被采用颁行,实现了祖冲之的未竟之愿。他还曾亲自监造八尺铜表,测量日影长度,并发现了北极星与北天极不动处相差一度有余,纠正了北极星就是天球北极的错误观点。出于研究天文和准确计时的需要,他还研究与改进过当时通用的计时器──漏壶,并且著有《漏刻经》一卷(已失传)。

图 图

祖暅的一生是很不顺利的。梁武帝天监十三年(514),他任材官将军,奉命修筑浮山堰。天监十五年(516)秋,因新筑拦水坝被洪水冲坍而下狱。出狱后,普通六年(525),他在梁豫章王肖琮幕府,由于肖琮叛梁降魏,因而被魏拘执,留住在徐州魏安丰王元延明宾馆中。在这一期间,他曾和当时北方的科学家信都芳讨论天文学和数学。普通七年,祖暅被放还南朝。晚年曾参加梁阮孝绪编著《七录》(一种目录学的著作)的工作,负责天文、星占、图纬等方面的古籍。他还著有《天文录》三十卷,仅存若干片断,散见于唐《开元占经》等书中。