[拼音]:Liu Hui
中国魏晋间杰出的数学家,中国古典数学理论的奠基者之一。籍贯及生卒年月不详。幼年曾学习过《九章算术》,成年后又继续深入研究,在魏景元四年(263)注《九章算术》,并撰《重差》作为《九章算术》注第十卷。唐初以后,《重差》以《海岛算经》为名单行。刘徽全面论述了《九章算术》所载的方法和公式,指出并且纠正了其中的错误,在数学方法和数学理论上作出了杰出的贡献。
割圆术刘徽创造的运用极限思想证明圆面积公式及计算圆周率的方法。《九章算术》
提出圆面积公式:"半周半径相乘得积步"。在刘徽之前是将圆内接正12边形分割拼补成一个长为圆内接正六边形周长之半,宽为圆半径的长方形,近似推断这个公式的。刘徽指出此“合径率一而外周率三”,极不准确。为了严格证明这个公式,他首先从圆内接正6边形开始割圆,依次得正12边形、正24边形……,割得越细,正多边形的面积与圆面积之差越小,“割之又割,以至于不可割,则与圆周合体而无所失矣。”另一方面,这些正多边形每边外有一余径,以边长乘余径,加到相应的正多边形上,则大于圆面积;然而,当正多边形与圆周合体时,“则表无余径,表无余径,则幂不外出矣。”这就从上界和下界两个方面证明了圆面积是两个多边形面积序列的极限。然后,将与圆合体的正多边形分割成无限多个以每边为底,以圆心为顶点的等腰三角形。由于以一边长乘半径,等于每个三角形面积的两倍,“故以半周乘半径而为圆幂”,从而完成了圆面积公式的证明。刘徽指出,上述圆面积公式中的“周径,谓至然之数,非周三径一之率也”。刘徽之前,刘歆、张衡等人曾改进圆周率值,成绩都不佳。刘徽用割圆术,从直径为2尺的圆内接正6边形开始割圆,求出圆内接正96、192边形的面积,根据不等式
,确定314平方寸为圆面积近似值,用已证明的圆面积公式,求得圆周长为6尺2寸8分,与直径2尺相约,得圆周率
。又给192边形面积
平方寸增加估值
平方寸,得
平方寸为近似值, 用同样方法得到圆周率为
,并计算了3072边形面积,验证了这个值。刘徽提出的计算圆周率的科学方法,奠定了此后千余年中国圆周率计算在世界上的领先地位。祖冲之后来进一步将其可靠数字推进到八位。
刘徽用无限分割的方法解决锥体体积时提出的一条重要原理:将一个壍堵(用一平面沿长方体相对两棱切割得到的楔形立体)分解为一个阳马(直角四棱锥)与一个鳖臑(四面均为直角三角形的四面体),则“阳马居二,鳖臑居一,不易之率也”,即一个壍堵内阳马的体积与鳖臑的体积之比恒为2∶1。这个原理是证明《九章算术》中提出的阳马体积公式
和鳖臑体积公式
的关键。在长、宽、高相等的情形中上述原理和公式是显然的,但是刘徽认为这不能简单地推广到长、宽、高不等的一般情形。于是他提出并用极限方法证明了上述原理。他用三个互相垂直的平面平分壍堵的长、宽、高,则阳马分成一个小立方Ⅰ,两个小壍堵Ⅱ、Ⅲ和两个小阳马Ⅳ、Ⅴ,鳖臑分成两个小壍堵Ⅱ┡、Ⅲ┡和两个小鳖臑 Ⅳ┡、Ⅴ┡(见图
)。它们可以拼成四个小立方:Ⅰ、Ⅱ-Ⅱ┡、Ⅲ-Ⅲ┡、Ⅳ-Ⅳ┡-Ⅴ-Ⅴ┡。显然,在前三个小立方中,亦即在壍堵的四分之三中,属于阳马与属于鳖臑的体积之比为2∶1,第四个小立方中体积之比尚未知,但它的两小壍堵的构成与原壍堵完全相似,且其长、宽、高为原壍堵的一半。对这两个小壍堵重复上述的分割、拼合,即“置余广、袤、高之数各半之,则四分之三又可知也”。如此继续下去,“半之弥少,其余弥细,至细曰微,微则无形。由是言之,安取余哉?”从而在整个壍堵中证明了刘徽原理。由此原理,阳马和鳖臑体积公式是显而易见的。刘徽把四面体看成解决多面体体积问题的关键,明确指出:“不有鳖臑,无以审阳马之数,不有阳马,无以知锥亭之类,功实之主也”,这完全符合现代数学的观点。
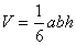
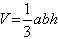
刘徽关于解决球体积的设想《九章算术》开立圆术所用的球体积公式相当于
,刘徽指出这个公式是错误的,其原因在于当时错误地把球与外切圆柱体积之比看成为3∶4。刘徽设计了一个牟合方盖(两个相等的圆柱体正交所得公共部分,(见图及彩图),提出球与牟台方盖的体积之比才是π∶4 ,指出了解决球体积公式的正确途径。但他未能求出牟合方盖的体积。然而刘徽为人谦虚,相信后学,表示“以俟能言者”。二百年后,祖暅提出“幂势既同则积不容异”的原理(即祖暅原理),求出了牟合方盖的体积,得出了正确的球体积公式。刘徽在证明羡除(楔形体)体积公式时,提出了“上连无成不方,故方锥与阳马同实”的论断,他还提出圆锥、圆亭分别与其外切方锥、方亭体积之比为π∶4,从而证明了它们的体积公式。刘徽的这些思想为后来祖暅原理的完成作了准备。此外,刘徽还提出圆锥与方锥侧面积之比为π∶4的论断,从而求出了圆锥侧面积公式。
关于率的应用
刘徽给出率的定义是:“凡数相与者谓之率”。他把分数看成两个量相与,指出率具有“粗者俱粗,细者俱细”等性质,从而可以“乘以散之,约以聚之,齐同以通之”,认为它们是数学运算的纲纪。并提出“凡九数以为篇名,可以广施诸率”,而《九章算术》所提出的今有术──“以所有数乘所求率为实,以所有率为法,实如法而一”是普遍方法。他用率特别是用今有术注解了《九章算术》的大部分术文,近200个问题。他认为,只要能根据问题的数量关系找出各物的率(因物成率),并“平其偏颇,齐其参差”,则无不归于今有术。所谓“平其偏颇,齐其参差,”就是齐同原理。刘徽不仅用齐同原理论证了分数运算、一般比例、连锁比例和比例分配问题(多集中在方田、粟米、衰分、均输诸章中),也论证了盈不足术、方程术和勾股、测望类问题解决的正确性。
刘徽在数学上贡献极多。他发展了天文观测中的重差术,说:“凡望极高、测绝深而兼知其远者必用重差、勾股,则必以重差为率,故曰重差也。”他在《海岛算经》中提出重表法、连索法、累矩法三种基本方法,总结出“孤离者三望,离而又旁求者四望”。
刘徽在开方不尽的问题中提出求微数的思想,这方法与后来求无理根近似值的方法一致,它不仅是圆周率精确计算的必要条件,而且促进了十进小数的产生。在线性方程组解法中,他创造了比直除法更简便的互乘相消法,与现今解法基本一致,他提出整行整行相减不影响方程组的解(“举率以相减,不害余数之课”)的论断,作为线性方程组解法的基础;他还将衰分术用于线性方程组解法,创造了方程新术。他指出“五家共井”的解是“举率以言之”,在中国数学史上第一次提出不定方程问题,他还建立了等差级数前n项和公式(相当于S=[α+(n-1)d/2]n,式中α、d分别为首项、公差)。此外,他改进了重今有、勾股容方、容圆以及某些盈不足、商功和勾股问题的解法。
刘徽认为数学所探讨的范围没有止境,但是并不是难于研究的,因为它的方法都是来自于客观世界的“规矩”(空间形式)和“度量”(数量关系)的统一。刘徽通过“观阴阳之割裂,总算术之根源”,深刻认识了数学的精理。他认为“事类相推,各有攸归”,因此,数学像一株大树虽然分成许多枝条却有同一个本干的原因,是“发其一端”,有同一本源,形成了一个体系。
刘徽提出并定义了许多数学概念,如幂(面积):“凡广从相乘谓之幂”;方程(即线性方程组):“程,课程也。群物总杂,各列有数,总言其实。令每行为率,二物者再程,三物者三程,皆如物数程之,并列为行,故谓之方程。行之左右无所同存,且为有所据而言耳”;正负数:“两算得失相反,要令正负以名之”:等等,从而改变了自墨学衰微以来靠约定俗成确定数学概念的涵义的作法。刘徽还提出了许多公认正确的判断作为证明的前提。他的大多数推理、证明都合乎逻辑,十分严谨,从而把《九章算术》及他自己提出的解法、公式建立在必然性的基础之上。尽管刘徽没有写出自成体系的著作,但他注《九章算术》所运用的数学知识实际上已经形成了一个独具特色,包括概念和判断,并以数学证明为其联系纽带的理论体系。
- 参考书目
- 钱宝琮校点:《算经十书》,上册,中华书局,北京,1963。