[拼音]:changweifen fangcheng dingxing lilun
[外文]:qualitative theory of ordinary differential equation
通过微分方程(形如
)右侧函数的性质来研究其解的性态的理论。由于绝大多数微分方程不能用初等函数的积分来表出通解,而且在工程、物理学、天文学中出现的微分方程又并不一定要求出解,而只需要知道解的某些性质,因此定性理论在微分方程理论中和实际应用上都占有重要地位。19世纪30年代,C.-F.斯图姆对多项式根的分布问题的研究是大家熟知的。同时他也把这种定性思想应用到常微分方程,获得了重要和有趣的结果,即有关解的零点分布的有名的斯图姆比较定理和振动定理。19世纪末,(J.-)H.庞加莱和 Α.М.李亚普诺夫把这种定性思想应用于对天体力学一般问题的研究,比较系统地发展了一套研究非线性微分方程的定性方法。庞加莱的《微分方程所定义的积分曲线》和李亚普诺夫的《运动稳定性理论》是定性理论中的经典著作,而庞加莱的几何方法乃是后来蓬勃发展起来的代数拓扑学和微分拓扑学的先驱,对近代数学的发展起了积极的推动作用。
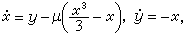
20世纪20年代,荷兰无线电技术工程师范德坡对电子三极管的振荡电路建立了一个数学模型(即范德坡方程:尦+μ(x2-1)凧+x=0,μ>0),而且由此发现三极管的稳态振荡对应于庞加莱的稳定极限环。这一事实首先引起了苏联学者,然后是欧美学者的极大兴趣,推动了微分方程定性理论广泛地发展。可以说,常微分方程定性理论已经构成近代非线性分析中重要的一章,它对其他分支的研究有可贵的参考价值。
下面就二、三阶微分系统介绍一些基本的定性思想方法。
平面驻定微分系统
给定平面微分方程
(1)
其右侧函数在 R2(欧氏平面)上定义了一向量场(P(x,y),Q(x,y)),由于P、Q与t无关,称它为定常场,对应的微分方程称为定常(微分)系统,或驻定(微分)系统,也称自治系统;当P、Q依赖于t时,对应的微分方程称为非驻定(微分)系统。
奇点在(1)中假设P、Q在区域
上连续可微,令(x0,y0)∈D,若(x0,y0)是P(x,y)=0及Q(x,y)=0的解,则(x0,y0)叫做方程的奇点,否则叫做常点。向量场(P(x,y),Q(x,y))在常点有确定的方向(P(x0,y0),Q(x0,y0)),即上方程通过点(x0,y0) 的轨线在此点有确定的方向。所谓轨线,即方程的解在R2中所确定的曲线,也即点随t而变化的轨道。于是由解对初值及右侧函数的连续依赖性,在常点充分小邻域内的轨线便几乎平行,故从局部看,其结构异常简单,无须研究。而向量场(P(x,y),Q(x,y))在奇点为零向量,它无确定的方向,但x=x0,y=y0是方程的解,即奇点也是方程的(退化的)轨线,而且在奇点邻域内的轨线分布(或叫奇点的结构)一般说来异常复杂。不失一般性,设奇点为坐标原点(0,0),由泰勒公式可把上述方程写成 凧=αx+by+P1(x,y),夻=сx+dy+Q1(x,y)其中P1,Q1是当x→0,y→0时比
高阶的无穷小量。奇点(0,0)的结构与特征方程
=0的根λ1、λ2 密切相关。当
时,(0,0)叫做初等奇点。此时可经非退化的线性变换将上方程所对应的线性方程凧=αx+by,夻=сx+dy化为标准型,将变换后的变量仍以x,y表示,则线性方程奇点的结构可化为下列几种情形:
(1)λ1与λ2为同号实根,奇点(0,0)叫结点。从结点的充分小邻域内出发的任何轨线都沿确定方向无限趋近它(当t→+
或t→-
,视λ1和λ2为负或为正而定)。若λ1≠λ2,方程可化为凧=λ1x,夻=λ2y,以0>λ1>λ2为例,其图形为图1
之a。若λ1=λ2,且初等因子是单的,方程同(α),以λ1<0为例,其图形如图1之b。若λ1=λ2,且初等因子是重的,方程可化为凧=λ1x,夻=-x+λ1y,其图形如图1之c。
(2)λ1与λ2为异号实根,奇点(0,0)叫鞍点。从鞍点的充分小邻域内出发的轨线,有二条当t→+
时沿确定方向无限趋近它,而另有二条当t→-
时沿确定方向无限趋近它,这四条轨线叫做分界线,其余轨线都双侧离开此邻域。这时方程如①中λ1≠λ2的情形,以λ1>0>λ2为例,其图形如图1
之d。
(3)λ1,2=α±iβ,α,β≠0,奇点(0,0)叫焦点。从焦点充分小邻域出发的轨线都螺旋形地无限趋近它(当t→+
或t→-
,视α为负或为正而定)。此时方程可化为凧=αx+βy,夻=-βx+αy。以α<0、β>0为例,其图形如图1之e。
(4)当λ1,2=±iβ,β≠0,奇点(0,0)叫中心。在中心的充分小邻域内都是围绕中心的闭轨线(如图1之f)。加上高次项P1和Q1后,当P1和Q1是x、y的解析函数时,奇点(0,0)或是中心或是焦点。中心和焦点的判别一般来说需要进行无限步的代数运算或积分运算。
综上所述,平面线性系统的孤立奇点不计时间走向共有三种不同拓扑结构:中心、鞍点、焦结和结点;后两者的拓扑结构相同,即其图形只差一个拓扑变换。另外,当特征根实部(α)不为零时,Д.格罗布曼和Р.哈特曼证明,在奇点的邻域存在连续变换u=η1(x,y), v=η2(x,y),其中η1(0,0)=η2(0,0)=0,当x=y=0时,
,将原方程变为线性方程夦=αu+bv,妭=сu+dv,将轨线变为轨线且保持时间定向。这就是著名的线性化定理,它不限于二阶系统。由此推得,当特征根实部不为零时,原方程奇点的拓扑结构由相应的线性方程决定。
当墹=0时,特征根至少有一个为0,(0,0)叫非初等奇点。其结构一般比初等奇点更为复杂。而当α、b、с、d不全为0,P、Q有对x、y的足够高阶的连续偏导数时,除了中心和焦点的判别问题外,这类奇点结构的判定已彻底解决。当α、b、с、d全为0时,(0,0)叫高次奇点,此时原方程可化为
其中Χm和Yn分别是x、y的m和n次齐次式,m、n>1,而P2和Q2是当x→0,y→0时分别比
和
高阶的无穷小量。对齐次奇点来说(即m=n),问题解决得较为完整。对非齐次奇点常用布里奥-布凯变换x=x,y=ux,或由此推广的弗罗默变换x=x,y=uxγ来研究奇点的结构,其中γ为正有理数。
若(0,0)是孤立奇点,则可作一光滑单闭曲线l围绕(0,0),使得由l所围成的闭区域上只有惟一的奇点(0,0)。当点(x,y)沿l逆时针方向转一周时,始点在原点的单位向量
其终点绕原点盘旋圈数的代数和叫做奇点(0,0)的指数,记为J(P,Q),或简记为J,其中绕逆(或者顺)时针方向一圈记为1(或-1)。J与l取法无关,而且
J是反映奇点某些拓扑性质的一个整数。结点、焦点和中心的指数为1,鞍点的指数为-1。当P、Q是x、y 的解析函数,且(0,0)是孤立奇点,有公式J(P,Q)=J(Χm,Yn)。中国已有人证明J(Χm,Yn)可通过对齐次式Χm和 Yn的有限步有理运算求得。
微分方程凧=P(x,y),夻=Q(x,y)在相平面XOY上的孤立的闭轨线 L叫做极限环。若当 t→+
(或t→-
)时,从L的某个邻域内出发的一切轨线都无限趋近L,则L叫做稳定(或不稳定)极限环。若当t→+
时,在L的一侧邻域内的轨线趋近L,而另一侧的轨线远离L,则L叫做半稳定极限环。关于极限环问题研究得比较多的是平面多项式系统,即P和Q都是x、y的多项式;还有利埃纳尔方程:尦+ƒ(x)凧+g(x)=0或它的等价方程组
其中
而范德坡方程是它的特例。关于极限环研究的主要问题是它的存在性、个数、稳定性和相对位置,以及当P、Q中含有参数时极限环随参数的变化情形等。证明存在性主要用庞加莱-本迪克松环域定理:若在相平面上存在由两条单闭曲线围成的环域G,方程在G内无奇点,而且方程的从环域内外边界上出发的轨线都进入(或都离开)G,则在G内存在闭轨线L。关于闭轨线的稳定性判据是:若
则L是稳定(或不稳定)的。
关于利埃纳尔方程极限环的存在惟一性问题早期的重要工作属于N.莱温松、G.桑索内等人,他们提供了证明惟一性的一些方法。迄今为止关于存在性问题较好的结果是Α.Φ.菲利波夫的工作。由于相邻的闭轨不能具有相同的稳定性,估算发散量div(P,Q)沿闭轨的积分成为当今证明极限环惟一性和个数问题的主要方法。例如范德坡方程等价于方程组
故此方程至多有一个极限环,且是稳定的。当然,对于一般的利埃纳尔方程的极限环个数的研究就困难了。除了苏联以外,中国学者对利埃纳尔方程极限环的存在性、惟一性和个数等方面的原有结果做了实质性的推进。
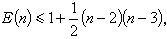
D.希尔伯特于1900年在国际数学家大会上提出的第16问题的后半部分是:给定微分方程
(En)
式中Pn、Qn是次数不高于n的实系数多项式,问它最多有几个极限环以及它们的相对位置如何,即对一切这样的n次系统,能否估算出它们极限环个数的最小上界 E(n)。
对一般的 n次多项式系统(En),由于问题很困难,数十年来进展甚微。只有H.杜拉克于1923年证明了对任一确定的(En)系统,其极限环个数为有限。但最近有人发现其证明有不完善之处,并对(E2)系统的证明作了弥补。另外S.P.迪利贝托对(En)的强稳定或强不稳定极限环(沿着环
)证得
又若极限环都包含同一奇点,则
自50年代起,中国数学家致力于(E2)系统的研究,取得了一系列有趣的结果,并将可能出现极限环的(E2)系统分为三类:
(Ⅰ)
(Ⅱ)
(Ⅲ)
式中 P2(x,y)=-y+δx+l2+mxy+ny2。经过国内外数学家的共同努力,关于(Ⅰ)类方程极限环个数与全局结构问题已彻底解决,如已证得此时E(2)=1。对(Ⅱ)、(Ⅲ)类方程也取得不少进展。1952年H.H.鲍京证明:(E2)系统在一个焦点邻域内最多而且可以出现三个极限环。中国数学家利用他的结果,首先构造出相当广泛的一类(E2)系统,它们至少有四个极限环;还证明(E2)系统的极限环只能集中分布在两个焦点外围,若此系统最多有三个极限环,则它们的相对位置如图2,并举例子予以实现。
空间驻定微分系统
奇点给定空间微分系统
(2)
式中P、Q、R在区域
(欧氏空间)上连续可微。令(x0,y0,z0)∈D,若 
则(x0,y0,z0)叫做(2)的奇点;否则(x0,y0,z0)叫做常点。不妨设(x0,y0,z0)=(0,0,0),由泰勒公式可把(2)写成
其中P1、Q1、R1是当x、y、z→0时比
高阶的无穷小量。奇点(0,0,0)的结构与特征方程
的根λ1,λ2,λ3密切相关,其中至少有一个是实根。当
时,(0,0,0)叫简单奇点。可经非退化的线性变换将上方程所对应的线性方程化为标准型,将变换后的变量仍以x,y,z表示,则线性方程奇点的结构可以分为下列几种情形。
(1)λ1、λ2、λ3为同号实根,奇点(0,0,0)叫结点。从结点充分小邻域内出发的任何轨线都沿确定方向无限趋近它。(i)若λ1、λ2、λ3互异,方程可化为凧=λ1x,夻=λ2y,凩=λ3z,在任一坐标平面xy、yz、xz上的图形如图1之a。(ii)若λ1=λ2≠λ3,且对应的初等因子是重的,方程可化为凧=λ1(x+y),夻=λ1y,凩=λ3z,以λ1>λ3>0及λ3>λ1>0为例其图形分别如图3
a之(b)1及(b)2。(iii)若λ1=λ2≠λ3,且对应的初等因子是单的,方程同(i),以λ1>λ3>0及λ3>λ1>0为例其图形分别如图3之b及图3之c。(iv)若λ1=λ2=λ3,且对应的初等因子是单的,方程同(i),轨线是从(0,0,0)出发的所有半射线。(v)若λ1=λ2=λ3,初等因子是重的,方程可化为凧=λ1x+my+nz,夻=λ1y+pz,凩=λ1z,此时又可分p=0和p≠0两种情形。
(2)λ1,λ2,λ3为异号实根,奇点(0,0,0)叫鞍结点。(i)若λ1、λ2、λ3互异,方程同①中(i),以λ1<0,λ2>λ3>0为例,其图形如3之d。(ii)若λ1=λ2,且对应的初等因子是重的,方程同①中(ii),以λ1>0>λ3为例,其图形如图3之e。(iii)若λ1=λ2,且对应的初等因子是单的, 方程同①中(iii),以λ1>0>λ3为例,其图形如图3之f。
(3)λ1、λ2为共轭复根,λ1=r+is,λ2=r-is。(i)若rλ3>0,(0,0,0)叫结焦点,以r<0,λ3<0为例其图形如图3之g。(ii)若rλ3<0,(0,0,0)叫鞍焦点,以r>0>λ3为例,其图形如图3之h。(iii)若r=0,(0,0,0)叫中心焦点,以λ3<0为例,其图形如图3之i。
综上所述,空间线性常微分系统的孤立奇点不计时间走向共有三种不同的拓扑结构:中心焦点,鞍结点和鞍焦点,结点和结焦点。如同平面系统,当特征根实部不为零时,加上高次项P1、Q1、R1后,奇点的拓扑结构不变,否则,奇点的结构依赖于高次项,一般来说异常复杂。
周期解给定空间驻定系统(2), 研究(2)的周期解(相空间的闭轨线)的存在性主要有庞加莱的环原理:
(1)若在相空间存在无切环面,其内无奇点;
(2)又若在环体内有一无切的经圆面,从其上出发的轨线都将再次与它相交,则环体内存在(2)的闭轨线L。值得注意的是,仅有条件①不足以保证环体内闭轨的存在性,在这方面有著名的施瓦尔茨反例。
设L的周期为T,任取点Q∈L,在四维空间(x,y,z,t)中,在t=0超平面上取Q的充分小邻域NQ,定义庞加莱映射φ(P,T):NQ→R3,其中φ(P,t)是(1)的轨线,φ(P,0)=P。显然Q是映射的不动点,即φ(Q,T)=Q。因(2)是驻定系统,导映射Dφ(Q,T)(线性的)的一个特征根必为1,它的另外两个特征根决定导映射Dφ(Q,T)在不动点Q邻域的结构,而后者与平面线性奇点的结构异常相似,并且后者又决定L邻域的几何特征。如Dφ(Q,T)的另两个特征根模都不为1,则L叫双曲的;若其模都小于1,则L是正向渐近稳定的;若其模都大于1,则L是负向渐近稳定的(见常微分方程运动稳定性理论)。
平面周期微分系统
周期运动,如静止点(即奇点)一样,是许多微分系统重要的稳态过程。为了简明起见,考虑一个周期的二阶微分系统:
(3)
式中光滑函数P和Q对t的 (最小)周期等于T0。令r是(3)的一个T周期解,若T=T0,则称r是调和解。若T=mT0(或T0/m)和整数m >1,则称r是次(或超)调和解。常微分方程定性理论中的周期解问题通常是指如何确定各种周期解的存在性、个数、稳定性或几何结构等。
由于(3)是非驻定的,庞加莱-本迪克松定理对它不能应用。这里值得一提的一般原理是J.L.马塞拉在1950年证明的定理:若(2)的每个解都在[0,
)上存在,而且其中至少有一个是有界的,则(2)至少有一个调和解。
起源于天体力学研究中的小参数方法一直是分析周期解的重要工具(见常微分方程摄动方法)。
拓扑不动点技术起源于庞加莱对周期解的研究。以φ(P,t)表示(3)的过点P的轨线,即φ(P,0)=P。显然庞加莱映射φ(P,T): R2→R2的不动点(或m阶周期点)对应(3)的调和解(或m 阶次调和解)。且如上面所述,前者的局部拓扑结构决定后者的几何特征。如当不动点是双曲的,对应的周期解也是双曲的,如当在不动点邻域出现异状点,即不动点的ω分界线和α分界线(见拓扑动力系统)横截相交,则(2)有无穷多个次调和解且有非平凡的回复运动。
总之,研究一个二阶的周期微分系统相当于分析一个二维的离散微分动力系统,或通过扭扩相当于一个三维的微分系统。
庞加莱映射的不动点成为周期解问题的核心,如莱温松对一类耗散系统尦+ƒ(x,凧)凧+g(x)=p(t)成功地在相平面上构造出一个由分段光滑的单闭曲线所围成的紧致区域Ω,使得φ(Ω)嶅Ω。因此,由布劳威尔不动点定理(见不动点理论),φ至少有一个不动点。又若令
则S是φ的一个紧致连通不变集,而且它是吸引子。莱温松最早注意到某些吸引子具有奇异性质或叫浑沌现象,于是引起了科学界的普遍重视,它是近年来十分活跃的一个分支。
非耗散系统的庞加莱映射一般是不可压缩的。例如达芬方程 尦+g(x)=p(t)的庞加莱映射φ是保面积的。这样不可能再利用布劳威尔定理,除非证明不变闭曲线的存在性。但后者现在还是一个难题,只有对特殊的方程尦+2x3=p(t),有了肯定的解答。所以对非耗散系统一般不是通过庞加莱映射而是采用泛函空间的分析技术来证明调和解的存在性,例如L.切萨里等人发展了一套研究非耗散系统的调和解的很有用的泛函方法──备择法。
近年来中国学者发现达芬方程的庞加莱映射具有某种“扭转”性质,可以用来证明周期解的大量存在性问题(甚至对某些跨共振的情形)。
环面驻定微分系统
设有微分方程
(4)
式中ƒ对θ和φ都是周期函数,周期为2π,即
式中k、l为整数。由于ƒ的周期性,在(θ,φ)平面上的每一方块区域2kπ≤θ<2(k+1)π,2lπ≤φ<2(l+1)π上(4)的向量场都是和一个方块
(5)
上的向量场一样。于是,方程(4)的积分曲线也可仅限于在(5)上讨论。把θ看为圆周C1上的坐标,φ为圆周C2上的坐标,则(θ,φ)即为C1和C2的拓扑积C1×C2上的坐标、C1×C2是一个环面。
组合拓扑学里,二维定向闭曲面中使欧拉-庞加莱特征数为零的曲面是环面。这相当于,环面上连续向量场可以没有奇点。反之,若一定向闭曲面上的连续向量场无奇点,则该曲面一定是环面。从而环面在所有的闭曲面中占有引人注目的地位。
对于可积的两个自由度的力学系统,若相空间紧致,则可用能量积分把相空间划分为三维的子集,每个子集由一系列的环面构成,而每个环面由代表运动的积分曲线构成。对于n 个自由度的一般情况,类似的叙述对高维的环面成立。因而环面上微分方程的研究颇引人注目。
早在庞加莱的开创性论文中,便研究了环面上的问题。对于没有奇点的向量场,相应的轨线(即积分曲线)在(θ,φ)平面上为一组拓扑平行线。平行线在适当意义下的斜率
称为旋转数。这是因为在环面上,轨线的延展对圆周C1和C2说一般都有旋转,这两个旋转的比值对无限延展的极限值即为μ 。
当环面上没有奇点,则其上轨线的拓扑结构分为以下四种情形:若μ为有理数,则环面由封闭轨线C构成;或由一些封闭轨线C与渐近于C的轨线共同构成。若 μ为无理数,则环面由永不封闭的轨线构成,这时轨线的极限集合或是整个环面,或者是环面上的一个无处稠密的完全集。后面这种极限集的情况称为奇异情况。它是否能真正出现(即有没有微分方程实现此情况),是一个多年没有能回答的问题。直到1932年A.当儒瓦才给出回答,即对于C1向量场,这奇异情况可出现,而对于比C1更光滑的向量场,则不出现。
对于具有奇点的向量场,轨线如何构造的研究目前还在发展中。现只有零星的研究,还没有系统的完整的结果。