嵌段共聚合

两种或两种以上单体分别聚合成链节(或链段)生成嵌段共聚物的一类共聚合反应。嵌段共聚物是由两个或两个以上不同单体聚合成的长序列的链组成的。线型嵌段共聚物可分为两段的A─B嵌段共聚物(图1a)、三段的A─B─A嵌段共聚物(图1b)和多段的公式 符号嵌段共聚物(图1c)。此外还有星状嵌段共聚物,其臂数可高达18,支数为3~4(图2、图3)。从结构上看,A─B─A嵌段共聚物与主干为A、分枝为B的接枝共聚物相似,也有人把星状嵌段共聚物看作接枝共聚物,因此许多专著常把两者放在一起讨论。

图 图 图

由于嵌段共聚物具备组成它的各个聚合物的原有特性,如玻璃化温度、透明性、耐化学性、亲水性、疏水性等,可以得到不同用途的产品。目前工业生产的嵌段共聚物有以下几种:热塑弹性体兼有橡胶性能和热塑性能;SBS嵌段共聚物、SB星状嵌段共聚物和聚醚聚酯多段共聚物的模塑成型制品可用于汽车工业和用作自行车内胎、鞋底、胶粘剂、涂层、密封材料、热熔胶和压敏胶等;聚酯聚氨酯多段共聚物可作弹性纤维;苯乙烯-丁二烯星状嵌段共聚物可作增韧塑料;环氧丙烷环氧乙烷两段共聚物可作表面活性剂,根据疏水段和亲水段比例不同,可对水溶液或非水溶液起乳化作用。

嵌段共聚物最早是1941年由H.W.梅尔维尔通过自由基聚合合成的,50年代以后才受到人们重视。例如,1958年C.S.朔伦贝格尔发现了不用硫化交联的、而是用物理交联的热塑弹性体聚酯聚氨酯,即聚(酯氨酯)。同年M.施瓦茨发现了SBS嵌段共聚物,其中S段表示聚苯乙烯,B段表示聚丁二烯

自由基嵌段共聚合

基本原理与自由基接枝共聚合相似,不同的是接出的位置不同。主要聚合方法有三种。

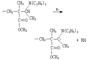
活性端基的反应

当聚合物端基是易进行链转移反应的叔胺时(可以由甲基丙烯酸甲酯在三乙胺存在下的自由基聚合制得),在引发剂的作用下发生链转移反应,端基上形成的自由基可引发丙烯腈嵌段共聚合。如果采用过渡金属羰基化合物Mn2(CO)10与CBr4或CCl4作为引发剂,则聚合物的端基为三溴甲基或三氯甲基。它可进一步用Mn2(CO)10紫外线照射分解,产生聚合物端基自由基,从而引发另一单体的嵌段共聚合:

公式 符号 公式 符号

式中R·为自由基;h普朗克常数;v为频率。

高分子引发剂的嵌段共聚合

带有类似引发剂结构(如过氧键、偶氮键)的高分子称为高分子引发剂,它受热分解,产生高分子端基自由基,可在单体存在下进行嵌段共聚合。具有过氧酸酯和偶氮键的引发剂,如4,4′-偶氮-二(4-氰代过氧戊酸叔丁酯):

公式 符号

由于偶氮键较易分解,控制聚合温度可得到带有过氧酸酯端基的聚苯乙烯,在四亚乙基五胺作用下,它的过氧键分解可引发甲基丙烯酸甲酯的嵌段共聚合。

活的高分子自由基嵌段共聚合

烯类单体自由基聚合时,有些聚合物不溶于它的单体中,或在聚合物的不良溶剂中进行溶液聚合时,则得到埋藏长链自由基的沉淀。这样的自由基寿命长,可看作是活的高分子自由基,当引入第二种单体时,可进行嵌段共聚合。例如苯乙烯在不良溶剂丁醇中用偶氮二异丁腈的引发聚合,加入丙烯腈后可以形成苯乙烯-丙烯腈嵌段共聚物。

负离子嵌段共聚合

利用非极性烯类单体的负离子聚合可得到活的高分子,并可由引发剂和单体用量设计其分子量,因此负离子嵌段聚合的研究一直受到重视。主要的聚合方法有三种。

逐步加入单体合成嵌段共聚物

先将一种单体(如苯乙烯S)进行负离子聚合得到活的高分子,然后加入第二种单体(如丁二烯B),活的高分子可以引发丁二烯进行嵌段共聚合,如果将它终止,就得到SB嵌段共聚物;如果未经终止,再加入苯乙烯又可以继续聚合,经终止而得到SBS嵌段共聚物。由于经过三步聚合反应,也称为三步法。第一步反应生成的聚苯乙烯末端负离子(结构式如公式 符号)可以引发丁二烯聚合,而第二步聚合生成的聚丁二烯末端负离子公式 符号CH2─CH=CH─叿H2Li+又可以引发苯乙烯进行第三步聚合。上述三步聚合之所以能顺利进行,是由于两种单体的活性相近。

如果两种单体的活性差别很大,则单体逐步共聚反应的顺序很重要,例如聚苯乙烯末端负离子可引发甲基丙烯酸甲酯嵌段共聚合,但反过来,聚甲基丙烯酸甲酯末端的负离子却不能引发苯乙烯聚合,因此只能合成二嵌段共聚物。除了烯类单体外,还可以用环状单体进行嵌段共聚合,例如将ε-己内酰胺加到活的聚苯乙烯中,经聚苯乙烯末端负离子引发开环聚合反应得到聚(苯乙烯-嵌段-己内酰胺),即苯乙烯-己内酰胺嵌段共聚物。

偶联反应合成嵌段共聚物

上述活的高分子通过与偶联剂(如二卤化物、光气、环氧基等)的反应可得到嵌段共聚物。例如经二步聚合生成的活的高分子SB-Li+与二溴甲烷进行偶联反应形成SBS嵌段共段物:

SB-Li++BrCH2Br+Li+ -BS─→SBCH2BS+2LiBr

因为偶联剂分子要比聚丁二烯分子链小得多,所以中间段就可看作聚丁二烯的一部分,即SBS嵌段共聚物。如果用1,2,4,5-四氯甲基苯与活的高分子进行偶联反应,就得到星状的嵌段共聚物。

共聚合反应合成嵌段共聚物

此法利用苯乙烯和丁二烯两种单体负离子共聚合的竞聚率有较大的差异,例如在苯溶剂中,丁二烯的竞聚率为3,而苯乙烯的竞聚率为0.05,因此丁二烯优先聚合,等它消耗殆尽时,苯乙烯才聚合,这样可得BS嵌段共聚物。如果是在活的聚苯乙烯中加入苯乙烯和丁二烯两种单体共聚,则得到SBS嵌段共聚物。但在聚丁二烯段和聚苯乙烯段中间难免带有一些苯乙烯与丁二烯的共聚链节,所以称为过渡嵌段共聚物。

正离子嵌段共聚合

烯类单体正离子聚合不容易像负离子聚合那样可以得到活的高分子,因此不能用逐步加入单体的方法进行嵌段共聚合,但近年来四氢呋喃的正离子开环聚合可以得到活的聚合物,能够进行正离子嵌段共聚合。

利用卤化物与烷基铝作用,可以形成正碳离子来引发正离子聚合,例如苯乙烯用BCl3/H2O引发聚合,得到端基为氯原子的聚苯乙烯,它与一氯二乙基铝作用,端基形成正碳离子,在异丁烯(IB)存在下可进行嵌段共聚合,得到苯乙烯-异丁烯嵌段共聚物如下:

公式 符号

此外,苯乙烯负离子聚合用溴终止,可以在端基上引入溴原子,它在正离子聚合引发剂如AgClO4或AgPF6的作用下,端基形成正碳离子,它可以引发四氢呋喃开环聚合,得到聚(苯乙烯-嵌段-四氢呋喃)。这样,可由原来的负离子聚合转变成正离子聚合。

逐步反应嵌段共聚合

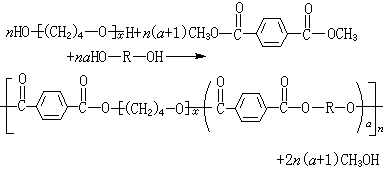
用三种单体的直接缩聚,可以形成多段的公式 符号嵌段共聚物。例如用对苯二甲酸二甲酯、小分子二元醇 HOROH(如丁二醇)和端羟基聚醚{如聚(四亚甲醚)二醇 公式 符号}在乙酸镁催化剂作用下进行缩聚,即可得多段共聚物:公式 符号也可以由一分子端基为羟基的聚醚二醇或端基为羟基的脂肪族聚酯二醇与二分子的4,4′-二苯基甲烷二异氰酸酯MDI反应,形成端基为异氰酸酯的预聚物,然后再与二元醇或二元胺进行逐步聚合而成聚醚(或脂肪族聚酯)聚氨酯、聚醚(或脂肪族聚酯)聚脲。其中聚醚、脂肪族聚酯为软段,而聚氨酯、聚脲为硬段,都是具有二相结构的共聚物。

参考书目
  1. 冯新德著:《高分子合成化学》上册,科学出版社,北京,1981。
  2. D.C.Allport and W.H.Janes,ed.,Block Copolymers,Applied Science Pud., London, 1973.