地震

地球内部介质(岩石)突然发生破坏,产生地震波,从而在相当范围内引起地面震动的现象。破坏开始的地方称为震源。震源在地球表面的垂直投影称为震中。当地震很大时,地球介质破坏区的尺度可达几十甚至几百公里,称为震源区。大多数地震在地面引起的震动只有用灵敏的仪器才能察觉。

地震现象

包括地震直接造成的原生现象和由地震造成的各种次生现象。

地面震动

是地震直接造成的基本现象之一。地震引起的地面震动相当复杂,包含着各种不同频率和振幅的振动,震动的优势方向也随时间变化很快。因而地震时地面质点运动的轨迹呈现出一种相当复杂的图像(图1)。

地震

大地震引起的地面震动具有很强的破坏力,它可以在几分钟甚至几秒钟内对自然景观和人类构筑物造成严重的破坏。明隆庆《华州志》记载:1556年陕西华县大地震时,“山川移易,道路改观。屹然而起者成阜,坎然而下者成壑,倏然而涌者成泉,忽焉而裂者成涧。民庐官廨、神宇城池,一瞬而倾圮矣。”(见中国著名大地震)

1906年美国旧金山大地震和1923年日本关东大地震,都发生在人口稠密的大城市附近,造成了十分严重的灾害和生命财产损失(图2,见世界著名大地震)。1976年中国唐山大地震发生在人口众多的工业城市,在极震区内,经过正规设计的各类工业厂房和结构物有70~80%倒塌,或主体结构遭到严重破坏。

1923年日本关东大地震造成隅田河口附近军港起火

强烈的地面震动还会在有些地方造成砂土液化,使一些结构坚固的建筑物因地基失效而整体倾倒。在现代化城市中,地震引起的道路坼裂(图3),铁轨扭曲,桥梁折断,堤坝溃决,以及由于地下管道和电缆被破坏造成停水、停电、通讯中断和易燃易爆物起火,有毒气体逸出等都会酿成极严重的次生灾害。

1923年日本关东大地震东京市内电车轨道被破坏

地震断层和地裂缝

浅源大地震发生时,地表还可见到地震断层(图4)和地裂缝(图5)。

1964年美国阿拉斯加大地震造成的断层 1964年阿拉斯加大地震造成的地裂,宽约1.8米,长830米

震源处的岩层断裂和错动延伸到地表而形成的断层称为原生断层,常绵延几十到几百公里,通过不同的地貌单元而基本保持原来的方向。次生断层是在地面震动原生断层活动的影响下局部发生的较小规模的断层,其错动方式各异。1931年中国新疆富蕴大地震时,从可可托海到二台,形成长达176公里极为壮观的地震断裂带。这个断裂带的断层错动方式以右旋水平错动为主,在局部地段也可见到正断层,带有走滑分量的逆断层,地堑式断陷和地垒式隆起。1891年日本浓尾大地震时在根尾谷中出现一个大断层,把一条大路截断,东侧地面上升约6米,并向北错动约4米,于是在根尾谷中形成了一个大断崖。1906年美国旧金山大地震时,沿圣安德烈斯断层发生的错动,是最大水平位移达6.4米的右旋错动。许多地震是在原有的断层带上发生新的错动,但也有的地震断层是在地震发生后才出现的。

在地表沉积层较厚的平原地区,表土在地震力的作用下常形成各种形态的地裂缝。受挤压的地下水通过地下砂层沿裂缝喷出地表,形成喷砂冒水现象(图6)。地裂缝形成的原因较为复杂。有些地裂缝可能与基岩以下的断层活动有关,或者本身就是断层在地表的出露,是原生的;但也有的地裂缝是受地形或表土性质影响,在地面强烈震动时局部塌陷而形成的,是次生的。

1976年中国唐山地震时出现喷冒水现象

山崩和滑坡

大地震时,自然景观也将发生变化。山崩和滑坡常掩埋村镇,或堵塞江河。1933年中国四川叠溪地震时,叠溪全城和周围60余城镇、村寨全部覆灭。四山普遍崩溃,叠溪台地大规模崩塌,校场坝亦崩塌,堵塞岷江,形成4个地震湖。大震后45天,湖水溃决,造成下游水灾(参见彩图)。1923年日本关东大地震时,神奈川县根府川发生泥石流,顺山谷下滑,远达5公里。

图 1933年中国四川叠溪7.5级地震。诱发山崩,堵塞岷江,形成湖泊。前为小海子,后为大海子,中间是山崩时塌下的堆积物

地壳形变

大地测量的结果表明,有些地区地面逐年有微小的升降运动和水平变动,称为地壳形变。大地震以后,在震中附近地区可以测得大面积、大幅度的地面隆起和下沉以及水平位移。1966年中国邢台地震前,震中区相对垂直运动速率为10毫米每年左右,震后测得的最大垂直形变量为 464毫米。太平洋沿岸的深海沟内侧发生的大地震,竟使海岸地区地面隆起。1964年美国阿拉斯加大地震时,海岸地区隆起达10米。

地震海啸

海底发生大地震时,海底地壳发生大范围的变动,引起海水振荡,形成海啸。外海的海啸浪高最多不过几米,而波长可达几十到几百公里,所以没有什么影响;但在接近海岸时,海水变浅,海浪振幅变大,特别是在V形或U形海湾里,海浪会明显变高(见地震海啸)。1896年和1933年日本三陆近海两次地震时,三陆海岸的海湾内侧,海啸浪高达到25米。1960年智利中南部太平洋沿海深海沟里发生大地震时,激起的海啸不仅把智利沿岸洗劫殆尽,且使太平洋中部的夏威夷群岛和太平洋西岸的日本,都遭受到严重的破坏。

地球的自由振荡

大地震还会激发地球的长周期自由振荡。1952年11月4日堪察加大地震时,美国的贝尼奥夫 (H.Benioff)第一次在他自己设计的应变仪上发现了这种长周期振动。1960年5月22日智利大地震时,贝尼奥夫和其他几个研究单位都观测到了多种频率谐振型的振动。从而证实了大地震激发的地球自由振荡的存在。这种振荡可延续几天甚至几个星期才会逐渐消失(见地球自由振荡)。

其他现象

地震发生时,一小部分地震波能量传入空气变成声波,形成地声。大凡在基岩露出地表和表土层很薄的靠山地区,容易听到地声。当地震很大或震源很浅时,即使是在平原地区,也能听到地声。听到地声的时间,有时在感到振动之前,有时在感到振动之后。其实声音传播速度远小于地震波传播速度,有时先听到地声后感到振动,是由于初始的振动太小,人们感觉不到。由于声波传播比地震波慢得多,因而地震波无论从什么地方经过地面传入空气,都会有很大的折射,这就使得听见的地声的方向几乎与地面垂直并和震源方位无关。

大地震时,有人观察到天空发光的现象。现在多数科学家认为这是一种真实的自然现象。地光的成因还不清楚,有待观测研究。

地震参数

一个地震需要用若干个特征性的数值来描述,这些数值称为地震参数。地震参数可分为地震基本参数和震源参数两类。

地震基本参数包括地震发生的时间、地点和强度3方面,简称时、空、强三要素。地震发生的时间参数称为发震时刻(即岩石开始破裂的时刻),通常记为T0,以年、月、日、时、分、秒(一般可精确到0.1~0.01秒)表示。地震的地点(即震源位置)包括震中经度λ 、纬度(一般可精确到0.1度)和震源深度 h(以公里为单位)。表示地震强度的是震级,一般地震报告中把它写到一位小数,但实际测定精确度不超过 1/4级。震级是根据地震图记录到的地震所辐射的地震波的强弱来表征地震大小的一个无量纲标度。在没有地震仪器记录的时候,曾用震中烈度来表征地震大小(见地震烈度)。但烈度和震级不同,它是描述地震破坏性的一种经验性的定性标度。它不仅与地震的大小和震源深度有关,而且还与观测点距震中的远近、场地条件和建筑物的结构、质量和固有周期密切相关。例如1976年中国唐山地震震级为 7.8级,按“中国地震烈度表”,这次地震在唐山(这次地震的极震区)的烈度(即震中烈度)为Ⅺ度,在天津的烈度是Ⅷ度,在北京的烈度是Ⅵ度。

地震参数的测定

地震图是震源特性、地震波传播路径上介质的特性和地震仪器特性三者的褶积。采用适当的方法,根据地震图上各种震相的到达时间(称到时)和波谱特性,不仅可以相当精确地测定地震的发震时间、震源位置和震级,而且可以反推地震的震源参数和地球内部结构。

震源位置和发震时刻的测定

按射线地震学原理,地震射线j在地震台i上的到时TijT0+tijT0是发震时刻,tijj射线从震源出发到达 i地震台所用的时间(称走时)。它是地震台的位置、震源位置和射线路径上地震波的速度分布三者的函数。地震学家们通过专门研究可以求得地球内部各种地震波的速度分布。据此算出不同震源深度和震中距上各种地震波的走时,编制成使用非常方便的地震走时表。利用合适的走时表可以较简便地测定一次地震的震源位置和发震时间。

当地震台的位置和地震波的速度已知时,射线的到时就只依赖于发震时刻和震源位置(包括λh),即上述方程组包含4个未知数,至少要4个方程才能求解。在实际工作中,求解上述方程组的方法很多。当可用的地震台不多,要求的精度也较低时,采用作图法是很方便的(见地震观测)。现在世界各国已普遍使用大量的观测走时资料,通过电子计算机来测定地震的发震时刻和震源位置。

震级的测定

计算震级的公式的一般形式可写为:

式中A是地面运动位移的振幅(以微米为单位),T是相应地震波的周期(秒),Δ是震中距,h是震源深度,Cs是根据台站的局部构造条件对地震波的影响所作的台站校正,Cr是对不同地震区和路径所作的校正。f(Δ1h)为震级的起算函数(或称量规函数),它是由半经验半理论的方法事先算好,编制成表,应用很方便。

由于地震的复杂性,目前通用的有3个不同的震级标度,即地方震震级ML、面波震级MS和体波震级mb

震源参数的测定

常用的主要震源参数包括:震源的几何参数(断层面的走向、倾向和尺度)、震源的运动参数(位错矢量、升起时间和破裂传播速度)、震源的物理参数(地震波辐射效率、能量释放率)和复合震源参数(地震矩、应力降、释放总能量)。通过对地震图的分析,可以用各种方法估计地震的震源参数(见震源机制)。

地震分类

根据不同的标准,从不同的角度可将天然地震划分成不同的类别。

按成因划分

(1)构造地震 由于构造力的作用导致地下岩层断裂和错动造成的地震。构造地震占全球发生的天然地震的90%左右。所有危害人类的大地震都属于构造地震。

(2)火山地震 火山喷发前地下岩浆冲动,或在火山喷发时,火山口内的气体大爆炸造成的地震。前者可以利用作为火山爆发预测的一种手段。火山活动也可以触发火山地区的构造地震。这类地震一般强度不大。主要分布在火山活动区,如日本、意大利、智利、厄瓜多尔和美国的西部等地。60年代以后,许多科学家在火山周围布设了地震台站。根据绝大多数火山地震 P波初动皆为负号(即胀缩波)的观测事实,日本学者提出火山地震成因的压缩中心模式,认为火山地震是由于岩浆大量喷发而使下部崩塌造成的。中国火山地震很少。

(3)诱发地震 由于人类活动造成地壳局部失稳,从而导致的地震。目前已观测到的诱发地震主要有水库蓄水、油井贮水和地下核爆诱发地震。

按震源深度划分

(1)浅源地震;

(2)中源地震;

(3)深源地震。

按照B.古登堡和里克特 (C.F.Richter)1954年的划分,震源深度不超过60公里为浅源地震,不小于70公里为中源地震,超过300公里为深源地震。因为当时震源深度的测定误差很大,估计震源深度的数值只能以10公里为单位。以后测量精度有所提高。目前国际地震中心(ISC)规定:震源深度不超过60公里为浅源地震,不小于61公里且不超过300公里为中源地震,超过300公里为深源地震。但各国地震资料有关震源深度的规定并未统一,例如日本以不超过69公里为浅源地震,超过69公里为深源地震。

按地震强度(震级)划分

各国对地震强度的划分极不一致,国际上没有统一标准。一般有大地震,中强地震,小地震之分。中国的划法大致如下:

(1)小地震(M<3);

(2)有感地震(3≤M≤4.5);

(3)中强地震(4.5<M<6);

(4)强烈地震(6≤M<7);

(5)大地震(7≤M<8);

(6)巨大地震(M≥8)。

地震序列

浅源地震在有限的空间和时间范围内有成丛发生的倾向。这种成丛发生的地震称地震序列。按时间顺序和震级分布,地震序列分为:主震型和震群型。

主震型

通常包括主震和大量的余震。有一部分地震序列还包括一系列前震。

若地震序列中,特别大的地震只有一次,则称之为主震;发生在主震之前的中、小地震叫前震;发生在主震之后的大量较小地震称余震。

前震的震源分布范围一般只占未来震源区的很小部分。在时间上,有的在主震发生前几分钟才发生,有的可连续活动几个月直到主震发生。1975年中国辽宁海城地震就是一个典型的有前震的主震型地震序列(图7)。但是一般观测到前震的地震序列不多,即使在现代地震台网密集的地区,也存在6~7级大地震前连微小地震都没有记录到的情况。

图

余震的震源都分布在主震震源附近的一个区域内,这个区域叫余震区。震源机制的研究结果表明:在大多数情况下,余震区的长轴方向与主震的断层面走向是一致的。通常主震震级越大,余震区的面积也越大。余震在余震区内的分布并不是均匀的,一般在主震断层的两端要多些(图8)。

图8

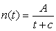
余震的数目和强度也与主震的震级密切相关。有些7~8级大地震发生后,在短时期内,余震频数可达每天几百次。有的大地震的余震活动可以延续若干年。余震的频数随主震后的时间 t逐渐衰减。日本早期地震学家大森房吉对余震活动的衰减作过研究。他根据1891年日本浓尾地震的余震资料,得出一个余震频数随时间衰减的经验公式──大森余震公式:

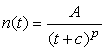
它表明余震频数 n(t)是t的双曲线函数。1957年宇津德治推广了大森公式,其形式为:

式中幂指数p的值由实际资料确定,随不同的地震序列而异,其取值范围一般为0.9~1.4。宇津还指出,主震发生后经过相当长的时间,余震的衰减可能不再遵从双曲线规律,而转为按照指数函数继续下降,即

n(t)=Be-λt

震群型

在一个地震序列中包含着若干个震级相差不多的地震,而无一特大震级的地震时,称之为震群。近代观测到的规模最大的震群是1965年8月开始的日本松代震群(图9)

图9

。这次震群活动持续了将近 10年之久。自1965年8月至1967年底共发生有感地震61495次,其中Ms在5.0~5.4的9次,4级以上的48次(见世界著名大地震)。在中国几个主要地震区都时有震群发生,但其规模要比松代震群小得多。震群和前震在空间和时间分布方面有时很相似。如何及时鉴别震群和前震是地震预测研究的课题之一。

地震分布

以现在世界各地不同尺度地震台网的监测能力,全球平均每年记录到的地震可达 100万次以上。设某一区域中,一定震级 Mi以上的地震数目为 Ni,则有lgNi=ɑ-bMi的统计关系,其中ɑ和b分别为与地区有关的常数。这意味着,在一定的范围内,只要地震数目足够多,不同大小地震的数目之间是有一定比例的。

地震在全球各地区的分布是不均匀的,主要集中在一些狭长的地震带上。全球大地震带有3条:

环太平洋地震带

包括太平洋周围各地区,主要是岛弧- 海沟系和安第斯型大陆边缘。这里既有浅源地震,也有中深源和深源地震。震源深度从大洋一侧向大陆逐渐加深,形成一个连续的倾斜的震源层,称为贝尼奥夫带。这个地震带所释放的地震能量约占全球释放总量的75~80%。中国的台湾省是地震的强烈活动区,属于环太平洋地震带。

地中海-南亚地震带

这条带西起大西洋中的亚速尔群岛,经地中海沿岸、中近东、印度、缅甸、印度尼西亚等国,东端在班达海附近与环太平洋地震带相接。这条带发生的地震以浅源地震为主,局部有中深源地震,所释放的地震能量约占全球释放总量的20%左右。中国的西藏和云南局部地区属于地中海-南亚地震带。

全球断裂带地震带

包括大陆断裂带和海洋断裂带。全球各大洋的洋脊互相衔接形成全球断裂带。发生在全球断裂带上的地震均属浅源地震,已知的震源深度不大于30公里。这个地震带未发生过巨大地震,地震频度也比较低。

随着震源深度的不同,地震的分布也有一定的变化。瑞典地震学家博特(M.Bth)研究了1918~1964年全球震级M≥7的全部地震的能量、频度和最大震级随深度的变化。结果发现,在地面至地下70公里的范围内,地震活动最强(能量最多、频度最高、震级最大);从70公里到475公里附近,地震活动逐渐减弱;在400~475公里之间达到极小;在475~750公里深部,地震又重新活跃起来(图10)。

图10

地震成因

这是地震学研究的基本课题之一。现代关于构造地震成因的假说主要有3种:

断层说

由于构造力的作用和地壳岩石自身的某种不均匀性,地球岩石层(圈)的某些局部地区会发生应力集中,应力水平超过岩石的破裂强度时,局部区域就出现弹性断裂和错动。已积累的应变能的一部分以弹性波的形式向四周传播,造成地震。这个假说由简单的弹性回跳模式(见地震成因)发展到弹性位错理论(见震源机制)又进入到了研究震源断错的物理过程。板块大地构造学说认为:较冷的岩石层板块插入软流层中,在一定程度上保持着相对较低的温度,因而在其内部仍然可以发生弹性断裂。这样,地震学上观测到的中、深源地震就和浅源地震有了一致的解释,而无须借助于其他假设。近代地震学对震源研究所取得的重要成就之一就是确认构造地震起因于断层运动。

岩浆说

认为岩浆的活动是岩层破裂的主要原因。岩浆的冲击不仅能在火山地区触发构造地震,而且在非火山地区也能造成岩层破裂而引起地震。岩浆说不需要先假定震源区有过形变积累和应力集中。在某些大地震的现场发现地下热异常和气体溢出,似乎对岩浆说有利。但这种假说还需要更多的事实来验证。

相变说

某些学者认为深源地震的震源机制是介质体积的突然变化(膨胀或收缩)。其根据是:震源深度为几百公里,那里的介质处在高温高压状态,不可能象浅层介质那样发生剪切破裂。某些深源地震的地震图提供一些现象,似乎震源处的介质发生了体积的变化。相变说认为这种体积的突然变化是由于物质的结晶状态有了变化。

地震预测

地震的孕育和发生是在地球内部进行的一个物理过程。目前还不能直接观测这个过程,这就使地震预测成为当代的科学难题之一。

长期预测

根据地震活动性和地震地质研究,对一定范围的地区提出地震危险性包括可能遭受的最大烈度的估计,这种工作叫做地震区域划分。地震区域划分实际上就是一种极长期的地震预测。它对地震发生的时间、地点和强度 3个要素的估计都是不具体、不精确的。虽然如此,地震区划的工作对指导制定长远的基本建设规划仍是很有意义的。

短期预测

对地震危险区中未来将发生的地震的时间、地点和震级作出判断,这叫做地震的短期预测。短期预测是20世纪60年代中期以后才进入地震学研究的前沿的。它是一个科学难题,还处于探索的阶段,预测成功的震例还很少。这类研究主要沿两个方向进行。一种途径是寻找可靠的地震前兆。先从实践中发现地震发生前的先行现象,从统计上检验它同地震的发生是否有较好的相关性,根据多次观测结果找出相关现象同地震之间的经验关系,并进而研究这种相关的物理机制。另一种途径是根据已有的观测事实和岩石力学实验结果对地震的孕育过程提出一种物理模式,从这个模式出发推断可能出现的前兆现象,进而在实践中去验证,再用新的观测结果不断修正理论模式,希望最终能实现根据一定的模式作出地震预测。(参见彩图)

中国上海有线舆地震观测台网天平山台外景 中国标准地球物理观象台之一,北京西郊白家疃地球物理观象台外景 为震源物理研究进行的岩石破坏实验 为震源物理研究进行的岩石破坏实验----压机 中国强地震震中分布图(公元前780-公元1976) 全球地震震中分布图 1979年中国江苏溧阳6级地震,出现喷沙冒水现象 1931年中国新疆富蕴8.0级地震。极震区发生大范围的断裂、滑坡,长约1000米,落差60多米。 1933年中国四川叠溪7.5级地震。诱发山崩,堵塞岷江,形成湖泊。前为小海子,后为大海子,中间是山崩时塌下的堆积物 1983年5月26日日本海中部7.7级地震引起海啸,冲击秋田县沿岸的过程 1983年5月26日日本海中部7.7级地震引起海啸,冲击秋田县沿岸的过程 1983年5月26日日本海中部7.7级地震引起海啸,冲击秋田县沿岸的过程 1983年5月26日日本海中部7.7级地震引起海啸,冲击秋田县沿岸的过程 1976年7月28日中国河北唐山7.8级地震。地裂缝到处可见,宽几十厘米,长达数千米 地面不规划运动造成的铁轨弯曲 唐山机车车辆厂的高大烟囱被震裂 唐山市街道的地面错动现象 唐山附近钢混结构公路桥,地震时桥面震毁,桥墩折断 唐山机车车辆厂的高大厂房被震塌 “叠溪积水疏导纪念碑”记叙了1933年7.5级地震造成山崩、洪水等灾害的情况 中国古代观测地震的仪器----候风地动仪复原模型,现陈列于中国历史博物馆 根据历史资料绘制的1556年中国陕西华县地震等震线图 中国东汉张衡----候风地动仪的设计者之墓.碑文为郭沫若撰写 早期的电磁地震仪----伽利津垂直向地震计 伽利津地震仪的记录仪 伽利----维利普水平向地震计 记录微震的短周期、高放大倍数的62型地震仪 千倍或百倍级的宽频带中长周期地震仪 513型中强震地震仪 千倍或百倍级的宽频带中长周期地震仪 基尔诺斯式地震仪 千倍级的长周期地震仪 763型长周期地震仪 千倍级的长周期地震仪 DCL-1型长周期地震仪 中国上海有线传输地震观测台网横湖台外景 中国上海有线传输地震观测台网横湖台数据处理中心 中国上海有线传输地震观测台网横湖台中心记录室
参考书目
  1. 李善邦:《中国地震》,地震出版社,北京,1981。
  2. B.A.Bolt,Earthquakes,A. Primer,W.H.Freeman and Compa.,San Francisco,1978.

参考文章