[拼音]:teshu jiegou gaofenzi
[外文]:polymers with special structure
分子链的化学结构比较特殊的高分子(见高分子化合物),主要有螺型、梯型和片型的高分子,以及分子链的两端具有活性官能团的遥爪型聚合物等。
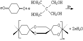
螺型高分子即螺环高分子,指由螺环结构组成主链的高分子,即环与环之间由一个两环共用的原子连接而成的长链高分子。例如,1,4-环己二酮与季戊四醇反应所得的高分子:
梯型高分子
分子链由连续的环状结构所组成的、形如梯子的高分子。例如,聚丙烯腈经加热环化后,再在高温下氧化脱氢而得的高分子:
又如聚苯基倍半硅氧烷:
螺型高分子和梯型高分子的主链,均由两条键链组成,主链断裂时需要同时破坏两条键链,这样的机会比由一条键链组成的高分子小,因此,这两种高分子能耐高温。又由于它们具有两条键链,其主链不能以一个单键为轴而旋转,因而形成刚性分子。这两种高分子熔点很高,加热时不到熔融即分解;玻璃化温度也很高。这种双键链结构不易合成得很完善;这类高分子成型加工困难。
片型高分子由共价键连接成的平面网状高分子,如碳的同素异构体石墨,具有层形的六方晶格结构:
遥爪聚合物
分子两个末端带有活性反应基团的低聚物。它可以是均聚物也可以是共聚物,例如羟基遥爪聚丁二烯:
羧基遥爪丁二烯-丙烯腈共聚物和巯基遥爪丁二烯-丙烯腈共聚物:
此外还有星型、梳型结构(属支化结构)和互穿网络结构(见互穿网络聚合物)等特殊结构。