[拼音]:zengbaiji
[外文]:brighteners
又称光学增白剂或荧光增白剂。为一类能提高纤维织物和纸张等产品白度的有机化合物。织物等常常由于含有色杂质而呈黄色,过去都采用化学漂白的方法进行脱色,现在采取在制品中添加增白剂的办法。其作用是把制品吸收的不可见的紫外线辐射转变成紫蓝色的荧光辐射,与原有的黄光辐射互为补色成为白光,提高产品在日光下的白度。增白剂已经广泛应用在纺织、造纸、洗衣粉、肥皂、橡胶、塑料、颜料和油漆等方面。
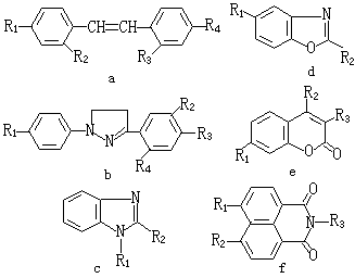
增白剂在化学结构上都具有环状的共轭体系,如:二苯乙烯衍生物(见结构式a)、苯基吡唑啉衍生物(b)、苯并咪唑衍生物(c)、苯并唑衍生物(d)、香豆素衍生物(e)
和萘二甲酰亚胺衍生物 (f)等,它们都是很好的增白剂。其中二苯乙烯衍生物是最重要的一类增白剂,它们的产量最大。
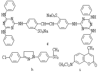
4,4′-双(4,6-二苯胺基三嗪基-2-胺基)二苯乙烯 -2,2′-二磺酸钠盐(g)是一种用途较广泛的增白剂,商品名为增白剂TA。在其分子结构中,改变三嗪环上的取代基团,或者用其他基团代替三嗪基,可得到多种增白剂。这类增白剂已大量用于造纸、纺织品、洗衣粉和肥皂等工业中。
增白剂AD是苯基吡唑啉的衍生物,化学名为1-(对甲磺酰基苯基)-3-(对氯代苯基)吡唑啉(h),主要用于腈纶纤维纺丝、纺织品和塑料制品的生产中。
4-甲基-7-二甲胺香豆素 (i)属于氧杂萘邻酮类化合物,可用于羊毛织物、尼龙织品、肥皂和洗涤剂等产品中。