[拼音]:xingdeng
[外文]:magnitude
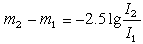
表示天体相对亮度的数值。喜帕恰斯最早把全天人眼可见的星按感觉的亮度分为6等。最亮的20颗星定为1等。亮度随星等数目的增加而降低。后来J.F.赫歇耳发现,1等星比6等星亮约100倍。于是普森用公式:
联系两个天体的星等m1、m2和它们的亮度I1、I2。这个星等尺度的定义一直沿用至今。星等尺度的零点由规定某颗星的星等值来确定。
天体光度测量直接得到的星等同天体的距离有关,称为视星等,它反映天体的视亮度。一颗很亮的星可以由于距离远而显得很暗(星等数值大);而一颗实际上很暗的星可能由于距离近而显得很亮(星等数值小)。对于点光源,则代表天体在地球上的照度。星等常用m表示。对单一波长测定的单色星等差与辐射探测器的特性无关。但在一定波段内测定的星等差,随探测器的选择性而不同。因此,对应不同探测器有各种星等系统。例如:
(1)目视星等mv是人眼测定的星等。美国哈佛大学天文台规定小熊座λ星的mv=+6.55等,以此来确定目视星等的零点。例如,太阳的目视星等为-26.74等;天狼星的目视星等为-1.6等。目视星等为 1等的星,在地面的照度约等于8.3×10-9勒克司。
(2)照相星等mp是用蓝敏照相底片测定的星等。国际照相星等Ipg的零点是这样规定的:令目视星等介于5.5~6.5等间的A0型星的平均Ipg为mv。
(3)仿视星等mpv、国际仿视星等Ipv是用正色底片加黄色滤光片测定的。它的分光特性与人眼相近,实际上取代了目视星等。
(4)光电星等是用光电倍增管测定的星等。目前最常用的光电星等系统是UBV测光系统。U为紫外星等,B为蓝星等,V为黄星等(和目视星等相似)。
(5)热星等 mbol是表征天体在整个电磁波段内辐射总量的星等。不能直接由观测来确定,只能由多色测光的星等结合理论计算来求得。随着各波段测光技术特别是大气外观测的发展,确定热星等的精度越来越高。
为了比较天体的发光强度,采用绝对星等。绝对星等M的定义是,把天体假想置于距离 10秒差距处所得到的视星等。若已知天体的视差π(以角秒计)和经星际消光改正的视星等m,可按下列公式计算绝对星等:
M=m+5+5lgπ。
对应不同系统的视星等有不同的绝对星等。