[拼音]:diqiu jiben cichang
[外文]:main geomagnetic field
地磁场的主要部分,来源于地球内部。直观地描述地球基本磁场的方法是地磁图,更深刻地揭示地球基本磁场空间分布和组成的有效的数学方法是高斯分析。
地磁场的地面分布即各地磁要素的数值在地面上的分布,用地磁图来表示。地磁图是将同一时刻各测点地磁要素的数值标在地图上,并将数值相同的各点连接起来而成的等值线图,又叫等磁图。地磁图可按照它所表示的地磁要素的不同,分为等偏角图(图1)、等倾角图(图2)和等强度图(图3)。
地磁图分世界地磁图和区域性地磁图二类。因为地磁场有缓慢的长期变化,地磁图通常每 5~10年编制一次。从世界地磁图上可以看到有两个倾角为90°的小区域,这就是地球的南、北磁极;一条倾角为零的等值线,称为磁倾赤道。两极处磁场强度几乎是赤道处的两倍,并且各地的磁倾角I 同磁纬度φ 近似满足下列关系:
,
这些特征表明地磁场近似地是一个地心偶极磁场。
地磁场分布的数学表达式在地磁学中通常把地磁场的球谐分析叫做高斯分析。1839年C.F.高斯首次将球谐分析的数学方法用于地磁场的研究,从理论上阐明了地磁场的主要部分来源于地球内部。
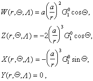
地球外一点(r,θ,λ)基本磁场的磁位W可以表示为:
这里引入常数ɑ,目的是使球谐系数g嬘和h嬘有与磁场相同的量纲,这些系数称为高斯系数或者称为高斯-施密特系数。
利用地面或近地面地磁测量的结果,可以计算各级高斯系数,将系数代入上式,则除场源区域(一般认为是地核)外,地球基本磁场的空间分布可完全确定,称为地磁场模型。高斯分析的结果是三维的,它比地磁图更全面地反映了地磁场的分布。全球地磁图的编绘通常都是利用高斯分析的结果,而不是直接利用观测值。地球基本磁场模型的优劣,直接关系到编图的精度以及区域性磁异常的形态和大小。建立完善的地磁场模型是地磁学中有重要实用价值的研究课题。
磁位W的表达式(1)是一个无穷级数。这个级数收很快。分析结果表明,п =1的项约占W值的90%以上。它代表位于地心的偶极子磁场,故剩余的部分叫做非偶极子磁场。非偶极子磁场中,п=2和п=3两项也占主导地位。
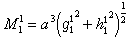
偶极子磁场地心偶极子的磁矩
,
磁轴的方向
,
,
式中 λ0、θ0分别为地理经度和余纬度。根据高斯系数计算地心偶极子的磁矩约为8×1025电磁单位(高斯·厘米3)。它的磁轴同地球自转轴的夹角(锐)约 11.5°。磁轴方向与地面的交点叫作地磁极。地磁极同地磁图上所确定的磁极在意义上是不相同的。由1975.0年国际地磁参考场的高斯系数所算出的地磁极位置是:地磁北极78.7°N,70.5°W,位于格陵兰岛;地磁南极78.7°S、109.5°E在南极大陆内。
式(1)中п=1的项共有两部分。其中п=1、m=0的部分只有一项,这一项是主要的,它是地心偶极子在地球自转轴方向的投影,称为轴向偶极子,磁矩
。
另一部分为п=1、m=1的项,这部分包括两项,是地心偶极子在赤道平面内的投影,称为赤道偶极子。磁矩
。
许多同地磁场有关的物理现象相对于地磁轴有明显的对称性,这时用地磁坐标较地理坐标更为方便。地磁坐标系是以地磁轴为极轴,球心与地心重合的球极坐标系,即观测点的向径r与地磁轴的夹角定义为地磁余纬嘷,地磁纬度Φ=90°-嘷;过地磁北极与地理极的子午线作为地磁零经度线,过观测点和地磁极的磁子午面与地磁零子午面之间的夹角为地磁经度∧。若已知地磁极的地理坐标(θ0,λ0)和测点的地理坐标(θ,λ),由球面三角关系
可求得测点的地磁坐标(嘷,∧)。
地心偶极子的磁场在地磁坐标系中即简化为:
G嬼为地磁坐标系中的高斯系数。
非偶极子磁场约占地磁场的 10%。图4是1965.0年非偶极子磁场垂直强度的等值线图。图上用水平矢量标出了水平强度的大小和方向。从图上可以看到非偶极子磁场有几个正或负的异常中心,其中东亚大陆正异常(又称蒙古异常)、非洲负异常、南大西洋和南印度洋正异常最强。
东亚正异常,中心位于105°E、45°N,角距半径达35°,几乎覆盖全亚洲,中心强度约18000纳特。中国地磁场的分布主要受这个异常的影响。非洲负异常,中心位于零子午线附近的赤道带 (0°N,0°E),角距半径约40°,强度达-16300纳特。南大西洋正异常强度最大,覆盖面积最广。它覆盖了南美大陆的绝大部分、印度洋的一部分和几乎全部南大西洋,其中异常强度达18000纳特的区域沿60°S纬线向东西延伸的角距竟达 60°。非偶极子磁场的北向强度和东向强度,也有同垂直分量强度相应的异常分布。
非偶极子磁场来源于地球内部何处,仍然是个有争议的问题。传统的看法认为位于核幔交界处,但近几年有人根据卫星观测资料,对像非洲这样尺度不是很大的异常做了新的解释,认为它是由于早期侵入的岩浆在冷却过程中磁化而形成的。但也有人提出了异议,认为如果是岩石磁化的结果,地壳浅部岩石不足以形成这种规模的异常,还必须有更深层的来源,但深层温度已超过了居里温度。
对于各项高斯系数,虽然可以赋予一定的物理意义,例如п=1为中心偶极子,п=2为中心四极子等,但这并不意味着这些偶极子和四极子就是地磁场的真实场源。它们不过是描述地磁场的一种方法。例如施密特(A.Schmidt)和巴特尔斯 (J.Bartels)早在40年代就设计了描述磁场分布的偏心偶极子。偏心偶极子是强度和方向都与中心偶极子相同,而偏离地心放置的磁偶极子。它所产生的磁场不仅包括高斯级数п=1的磁场,还包括п=2项的大部分磁场,能比中心偶极子更好地描述地磁场的分布。由п=1和п=2的高斯系数,可算出偏心偶极子的位置,例如1975.0年的位置为19.8°N、148°E,约距地心474公里。如何描述地磁场和它随时间的缓慢变化是地磁学的一项重要内容,称为地磁场模型的研究。除上述球谐模型外,还有偶极子模型和电流环模型。通过这些模型选择偶极子和电流环的数目和参数描述全球地磁场的分布。显然这些偶极子或电流环也不过是另一种描述地磁场的方法,并不是地磁场的真实场源。
国际地磁参考场(IGRF)因使用的资料不同和资料处理方法的差异,不同作者从高斯分析中所得到的高斯系数也不尽相同。为此,国际地磁学和高空大气学协会(IAGA)除成立世界磁测 (WMS)的国际协调机构外,还于1968年10月在华盛顿专门会议上提出并通过了1965.0年的国际地磁参考场,做为全世界通用的正常地磁场的标准。1965.0年的国际地磁参考场取 п=m=8共80个高斯系数,有效期是1955.0~1975.0年。1975年8月又通过了1975.0年的国际地磁参考场,使用期是1975.0~1980.0年。
为了获得能较好地代表地磁场真实分布的基本磁场模型,国际地磁学和高空大气学协会在1981年9月爱丁堡会议上,公布了1965.0和1975.0年的修正的国际地磁参考场,以及1980.0年的国际地磁参考场(见表,п=m=4 的高斯系数)。以后国际地磁学和高空大气学协会将每5年或10年公布一个新的国际地磁参考场。
高空磁场
地磁场的高斯分析表明,随着距离(从地心算起)的延伸,偶极子磁场所占的比例越来越大。按照经典的观点,偶极子磁场的磁位分布同离开地心距离的平方成反比,场强同距离的立方成反比,向外无限延伸。近代的观测和研究改变了这种经典的认识。按照近代的观点,太阳风与地磁场相互作用,使地磁力线压缩在一个空间范围之内,形成了磁层。地磁场完全被局限在磁层之内。只有在2~3个地球半径范围内,高空磁场才具有偶极子磁场的特征。高空地磁场的形态远比近地面空间复杂。
地磁场的长期变化地球基本磁场有随时间的缓慢变化,以纳特/年为单位。长期变化现象,最早是由英国吉利布兰德(Gellibrand)于1635年从伦敦的磁偏角变化中发现的。随后,其他许多地方也观测到同样的现象。因此,长期变化是全球性大尺度的地磁现象,通常认为其场源应在地球的液态外核。长期变化现象为地球深部和液核动力学的研究提供了线索,是地磁学的一个重要课题。
长期变化也常用等变线来表示。1947年维斯廷(E.H.Vestine)绘制的1942.5年的世界地磁长期变化图是最早的一幅较为完善的等变图。等变图上有几个变化较大的中心,某些地方是正的变化,某些地方是负的变化。
长期变化现象也表现在不同年代地磁场的高斯系数上。高斯系数的年变率 (g嬘,h嬘)通常是利用地磁要素的年变率由球谐分析方法计算出来的。从1980~1985年的长期变化的高斯系数(见表)可以看出,п=1项所占的比例不如基本磁场那样大,这说明非偶极子磁场的长期变化更为显著。
长期变化的时间和空间分布比基本磁场更为复杂,特别是有可靠的地磁记录的历史很短,还不足以揭示出长期变化现象的许多规律。长期变化现象的主要特征是偶极子磁矩的衰减和非偶极子磁场的西向漂移。近百余年地球磁矩几乎以等速率单调衰减,每100年约衰减5%;非偶极子磁场的西向漂移速度约为每年0.2°(见地磁场长期变化)。
基本磁场起源地磁场起源问题是地球物理学的基本难题之一。自1600年吉伯 (W.Gilbert)提出“地球是一个巨大的磁石”以来,地磁场起源的研究已有近400年的历史,至今未获得圆满结果。历史上虽提出过许多假说,但都不能经受时间的考验。现在公认自激发电机假说最为合理。自激发电机假说主要是阐述了液核(导电流体)运动同磁场相互作用而维持磁场的过程。它包括两个基本问题,一个是液核运动的能源问题,另一个是什么样的液核运动与磁场相互作用才能维持地球偶极子磁场的特征。这些问题均涉及到地球演化和地球内部的物理状态,要在目前获得满意的解释仍然是困难的(见地磁场起源)。
- 参考书目
- Б. М. яновский,ЗемНοй ΜагНетизм,Изд.Ленинградского университета,Ленинград,1978.
- 力武常次:《地球の電磁気学》,岩波書店,東京,1972。