模板聚合

指单体在具有特定结构的聚合物存在下进行的聚合反应,这些特定结构的聚合物对单体的聚合起着模板作用,例如,它们能加速聚合反应;新生成的聚合物的结构和性能等方面都能受模板的影响,甚至生成物可以成为模板的模制品或复制品。模板聚合反应可用以下三步表示:

(1)模板(T)与单体(M)形成复合物

公式 符号

(2)模板聚合

公式 符号

(3)模板与“复制”高分子的分离

公式 符号

可见模板作用是一个高分子对合成另一个高分子所起的模具或样板作用。在聚合过程中,模板指导新高分子的合成,并决定产物的组成、结构、构象和分子量。

模板聚合的原理是基于模板高分子的组成单元与单体小分子之间的相互作用,如氢键、离子吸引、电子给体和受体的相互作用或形成共价键等,这种作用为单体的聚合创造有利的条件,提供可以仿效的样板。实现模板聚合的方式主要有以下几类。

利用酸碱基团之间的相互作用

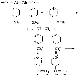
通过含有酸性基团(或碱性基团)的高分子与含有碱性基团(或酸性基团)的单体之间的相互作用,可以实现模板聚合。例如以聚苯乙烯磺酸PSSA为模板使4-乙烯吡啶VP进行聚合,PSSA在水溶液中高度解离,呈伸展状态,被水合氢离子包围,一旦4-乙烯吡啶进入溶液之中,就中和酸离子,沿高分子链呈化学计量的吸附,吡啶基团被季铵化,形成吡啶基朝着高分子模板和乙烯基向着外侧的有规则的排列。聚合时,增长链与高分子模板结合。VP聚合速率随PSSA浓度增加而加快,当PSSA单元与VP的摩尔比为1:1时,聚合速率最快,只有与PSSA形成盐的VP发生聚合。聚乙烯吡啶季铵盐高分子链通过生成盐与PSSA高分子链以下列方式相结合:

公式 符号 公式 符号

当聚甲基丙烯酸作为模板时,2-乙烯吡啶很容易自发聚合,得到间同立构聚2-乙烯吡啶。聚N-乙烯吡咯烷酮的结构式如下:

公式 符号

它可作为甲基丙烯酸聚合的模板,以提高其聚合速率。聚亚乙基亚胺公式 符号可作为模板进行丙烯酸的聚合,当模板单元与单体的摩尔比为1:1时,丙烯酸的聚合速率最快。若在此体系中加入无聚合性的有机酸,就会引起有机酸与单体之间的吸附竞争,使模板效应显著降低。

利用电子给受体(A-D)电荷转移的作用

高分子电子给体(或受体)与单体电子受体(或给体)之间通过电荷转移可以实现模板聚合。例如,马来酸酐为强电子受体,在一般条件下不发生自聚,但在聚4-乙烯吡啶等给电子体存在下,由于两者之间有着A-D电荷转移相互作用,就可以进行自聚得到马来酸酐聚合物。但在4-乙烯吡啶和苯乙烯共聚物存在下,只能得到含马来酸酐很少的黑色树脂,由此证明聚4-乙烯吡啶的模板作用。所得的聚马来酸酐反转来又可作为给电子单体 4-乙烯吡啶聚合的模板。由于模板的存在,反应速率加快,产物聚4-乙烯吡啶的聚合度与所用的模板聚马来酸酐的聚合度是相对应的。

通过氢健的作用

在多肽合成中,N-羟基-α氨基酸内酐NCA(结构式如公式 符号)在聚肌氨酰二乙胺存在下进行开环聚合,由于NCA分子通过形成氢键被吸附在聚肌氨酸链上,因此聚合速率增大,可认为是一种模板效应。在生物遗传过程中,核酸是一种遗传物质,通过核酸碱基之间的氢键作用,以脱氧核糖核酸DNA为模板产生核糖核酸RNA,从模板上转录信息,从而达到把亲代的某些特征传给子代的目的。

与单体的共价键结合的模板聚合

用经特殊方法合成的具有一定分子量的甲酚甲醛低聚物作模板,使它们的酚基与丙烯酰氯单体反应生成丙烯酸的酯,在苯中极度稀释后,用偶氮二异丁腈引发聚合,然后水解,得到了具有相应分子量的聚丙烯酸产物。它虽然属于低聚物的范畴,但从得到的原定分子量的“复制物”来说,确实为模板聚合。

参考书目
  1. C.H.Bamford,Template Polymerization,R.N.Haward,ed., Developments in Polymerization-2,Applied Science Pub., London, 1979.