开环聚合

浏览

环状化合物单体经过开环加成转变为线型聚合物的反应,例如:

公式 符号

X为杂原子或官能团,如─O─、─S─、─N(R)─以及─CH=CH─等;R为烷基。

开环聚合产物和单体具有同一组成,一般是在温和条件下进行反应,副反应比缩聚反应少,易于得到高分子量聚合物,也不存在等当量配比的问题(见缩合聚合)。开环聚合也不同于烯类加成聚合,不像双键开裂时释放出那样多的能量。目前在工业上占重要地位的开环聚合产物有环氧乙烷环氧丙烷、聚四氢呋喃、聚环氧氯丙烷聚甲醛、聚己内酰胺、聚硅氧烷等。

1863年C.-A.孚兹最早研究开环聚合,他将环氧乙烷和水在封管中加热,得到乙二醇和聚乙二醇。1929年H.施陶丁格对环氧乙烷在各种催化剂存在下的聚合进行了系统的研究。1935年W.H.卡罗瑟斯通过双官能化合物的缩合反应合成了各种结构和不同大小的环状化合物,并对其开环聚合的可能性进行了探讨。但是开环聚合作为独立的聚合化学反应类型,则是在50年代以后逐步发展形成的。

开环聚合的可能性

从热力学角度来看,开环聚合的可能性随单体环的大小而异,其次序为三元环>四元环>五元环>六元环。五、六元环较稳定;七元环以上的聚合可能性又加大(见表)。

图

含有杂原子的环状单体极性较大,易进行离子型聚合,而以正离子聚合的单体最多,如环醚、环硫醚、环亚胺、环二硫化物、环缩甲醛、内酯、内酰胺、环亚胺醚等。用负离子引发的开环聚合的单体则有环醚、内酯、内酰胺、环氨基甲酸酯、环脲、环硅氧烷等。

开环聚合类型

按单体不同,可进行正离子、负离子、配位等聚合。以环氧乙烷为例,环氧乙烷既能进行正离子开环聚合,也能进行负离子开环聚合。 在AlCl3、SbCl5、BF3、FeCl3等路易斯酸引发下进行正离子开环聚合,得到分子量为5000以下的聚合物:

公式 符号

反应是以(氧)正离子为活性中心进行增长的,正离子要比碳正离子稳定得多。

碱金属的氢氧化物或烷氧化物等碱性引发剂存在下,环氧乙烷按负离子聚合机理进行开环聚合,所生成聚合物的分子量为几千到一万。

公式 符号

采用碱土金属(锶、钙)等的氧化物,碳酸盐,铁、铝、锌等的烷氧化物,铝、锌的有机金属化合物作为配位聚合催化剂,则能聚合生成结晶性的分子量高达几十万,甚至上百万的聚合物。例如,用Al(OR)3作催化剂时,环氧乙烷的氧原子与铝原子配位,进行以下聚合反应:

公式 符号

此外,还有带脱除反应的开环聚合,例如,N-羧基-α-氨基酸酐在胺类等碱性催化剂作用下开环,并放出CO2,进行逐步聚合反应:

公式 符号

可以得到高分子量的聚合物,还可用几种氨基酸进行共聚合,是合成多肽的一种重要方法。

另一种形式是在开环聚合过程中伴随着异构化反应,例如环亚胺醚(2-唑啉)在正离子催化剂存在下生成聚亚胺衍生物:

公式 符号

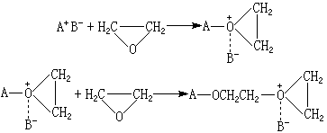
聚合产物进一步水解,可得到结晶性线型聚亚乙基亚胺;而从环乙烯亚胺直接开环聚合时则生成支化聚合物。由此发展了通过双性离子机理在无催化剂条件下和室温时进行的开环共聚合:

公式 符号

反应由于生成双性离子,在无催化剂和室温条件下,按逐步反应增长:

公式 符号

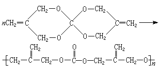
当螺旋环原碳酸酯化合物进行开环异构化聚合时,生成的聚醚碳酸酯体积不收缩反而膨胀,可用于胶粘剂和齿科材料,例如:

公式 符号
参考书目
  1. 三枝武夫著:《開環重合》,1~2,化学同人,京都、东京,1971、1973。