能量的一种传递方式。在热力学中,除热以外,在系统与环境之间的一切能量传递都用功度量。常遇到的有体积功、电功和表面功等。一般把除体积功以外的其他各种功统称为有用功。

功的概念最初来源于机械功,它等于力乘以在力作用方向上发生的位移。以后功的概念又扩大到其他形式,例如系统反抗外压而体积涨大时,做的是体积功;当外界克服液体表面张力而使其表面积增大时,就对系统做了表面功。

一般说来,各种形式的功均可看成是由两个因素,即强度因素和广延因素组成的。功等于强度因素与广延因素变化的乘积。表中所列为几种常见的功:

图

功反映的不是系统的性质,而是过程的属性,也就是说功是伴随过程出现的。当系统发生状态改变时,功的数值一般与变化所循的途径有关。

体积功是最常见的一种功,它可以用下式计算:

δWp0dV (1)

式中δW为微体积功;p0为环境对系统所施加的压力;V为系统的体积。如果系统的压力与环境的压力相差无限小(例如可逆过程),则可以用系统的压力p代替环境的压力p0,于是可逆过程的体积功为:

δWpdV        (2)

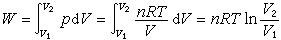
若系统为n摩尔的理想气体,如n摩尔氢气在温度T下由状态(p1V1)等温可逆地变化到状态(p2V2),则此过程的功为:

公式 符号

若以系统的压力p为纵坐标,以系统的体积V为横坐标作曲线p-V,则曲线下面的面积即为可逆过程体积功的数值。

等容过程dV=0,所以δW=0,也就是说任何等容过程的体积功都等于零。

在式(1)和(2)中,实际上已对功的符号做了规定,即系统作功为正,环境作功为负。应该指出的是,关于功的正负号至今还没有统一的规定。

参考书目
  1. 王竹溪著:《热力学》,高等教育出版社,北京,1955。

参考文章