雷诺数

流体力学中表征流体惯性力和粘性力相对大小的一个无量纲参数,记为Re。它表示惯性力和粘性力量级的比,即

公式 符号

式中ρ为流体密度;U为特征速度;L为物体的特征长度;μ为流体的动力粘性系数;公式 符号为运动粘性系数。雷诺数是为纪念英国物理学家O.雷诺而命名的。

雷诺数越小意味着粘性力影响越显著,越大意味着惯性力影响越显著。雷诺数很小的流动,例如雾珠的降落或润滑膜内的流动过程,其特点是,粘性效应在整个流场中都是重要的。雷诺数很大的流动,例如飞机近地面飞行时相对于飞机的气流,其特点是流体粘性对物体绕流的影响只在物体边界层和物体后面的尾流内才是重要的。在惯性力和粘性力起重要作用的流动中,欲使二几何相似的流动(几何相似比nLp/Lm,下标p代表实物,m代表模型)满足动力相似条件,必须保证模型和实物的雷诺数相等。例如,在同一种流体(即ν相等)中进行模拟实验,则动力相似条件为vmnvp,即模型缩小n倍,速度就要增大n倍。

物体在不可压缩粘性流体中作定常平面运动时,所有的无量纲数由两个参数确定:攻角α和雷诺数Re。为了实现动力相似,除了要求模型和实物几何相似外,还必须保证攻角和雷诺数相等。第一个条件总是容易实现的,而第二个条件一般很难完全满足。特别是,当被绕流物体尺度比较大时,模型比实物小很多倍,就需要很大地改变流体绕流速度、密度和粘度。这在实际中是很困难的,因为在低速风洞中,风速的提高总是有一定限度的。所以相似律不能严格满足,只能近似实现。当然,这样做对空气动力学特性会有影响,例如,最大举力系数要降低,最小阻力系数会升高等。但是,只要实物的雷诺数Rep和模型的雷诺数Rem相差不太大,就可以利用某些经验方法加以修正,使实验结果在实践中仍能得到应用。当然最好的办法是建造巨大的、可在其中对真实飞机吹风的风洞,或建造压缩空气(密度较大)在其中作用的循环式闭口风洞,以便达到加大模型试验雷诺数的目的。

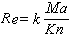
根据分子运动理论,动力粘性系数μρ公式 符号l,其中公式 符号为分子平均速度,l为分子平均自由程。由于公式 符号和声c是同一量级,可得到:

公式 符号

式中公式 符号为马赫数;Kn克努曾数;k为常数;它表明雷诺数、马赫数、克努曾数之间有着内在的联系。当流动速度很小时,公式 符号很小,Kn也很小,由于粘性效应是主要的,这两个无量纲参数以组合形式公式 符号/Kn出现,即以雷诺数出现。当流动速度很高时,从量纲理论可知,雷诺数和马赫数都起着重要作用。如果空气稀薄,则克努曾数起着主要作用。

粘性流体的求解不仅和边界条件有关,而且也和雷诺数有关。若雷诺数很小,则粘性力是主要因素,压力项主要和粘性力项平衡;若雷诺数很大,粘性力项成为次要因素,压力项主要和惯性力项平衡。因此,在不同的雷诺数范围内,流体流动不同,物体所受阻力也不同。当雷诺数低时,阻力正比于速度、粘度和特征长度;而雷诺数高时,阻力大体上正比于速度平方、密度和特征长度平方。

雷诺数也是判别流动特性的依据,例如在管流中,雷诺数小于2000的流动是层流;雷诺数大于4000时的是湍流。

参考文章