线性常微分方程

微分方程中出现的未知函数和该函数各阶导数都是一次的,称为线性常微分方程。它的理论是常微分方程理论中基本上完整、在实际问题中应用很广的一部份。

线性一阶常微分方程

初等常微分方程中已经知道方程

y┡+p(x)y=Q(x)    (1)

及其对应的齐次线性方程

y┡+p(x)y=0      (2)

的解法,得到(2)的通解和满足初始条件y(x0)=y0的特解分别为:

   (3)

(1)的通解和满足初始条件y(x0)=y0的特解分别为:

, (4)

方程(1)、(2)及其解有以下的重要的性质。

(1)y(x)呏0是(2)的解,称为明显解。如果p(x)在x0连续,则满足零初始条件y(x0)=0的解必为明显解。

(2)方程(2)的任意两个解y1y2的线性组合 C1y1+C2y2也是(2)的解,C1C2是任意常数。

(3)y*(x)是(2)的满足条件y(x0)=1的特解。

(4)(2)的解的全体构成一维线性空间,明显解是零元素。

(5)方程(1)的通解(4)等于(1)的一个特解加上(2)的通解。

(6)Y(x )是(1)的满足零初始条件y(x0)的特解。

(7)若Q(x)=Q1(x)+Q2(x),又已知yi(x)是y┡+p(x)y=Qj(x),(i=1,2)的解,则y1(x)+y2(x)是方程(1)的解(叠加原理)。

易见,线性代数方程组的解也具有类似的性质。线性常微分方程组和线性高阶常微分方程的解也有同样的性质。

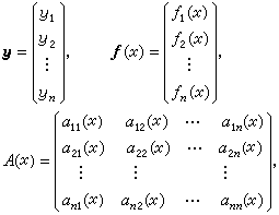
线性一阶常微分方程组

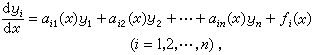
这种方程组可写成如下形式

  (6)

若其中αij(x),ƒi(x)在x的区间(αb)上为连续,则方程(6)的满足

的解(y1(x),y2(x),…,yn(x))在区间(αb)上存在而且惟一。

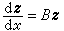
为方便计,(6)可写为向量方程

(7)

式中

而对应的齐次方程是

(8)

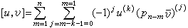
仿照线性代数中那样,对于任意mn 元向量函数y1(x),y2(x),…,ym(x),可以定义它们在区间(αb)上的线性相关与线性独立。当这些函数都是同一个方程(8)的解时,它们的线性相关性或独立性可由其在(αb)中的任一点x0为线性相关或独立来决定。特别,当m=n时成立等式 (9)其中

后一行列式称为y1y2,…,yn的朗斯基行列式。由它在(αb)中任一点的值等于零或不等于零,可判定 y1y2,…yn在(αb)中是(8)的线性相关解或线性独立解。由此,方程(8)必存在n个线性独立解,而任何n+1个解都是线性相关的。

对应于方程(1)与(2)的前述7条性质,方程(7)与(8)也有如下的性质。

(1)y(x)呏0是(8)的明显解。若A(x)在x0连续,则满足条件y(x0)=0的解必为明显解。

(2)方程(8)的任意几个解的线性组合也是(8)的解。(8)的通解可表为 ,其中C1C2,…,Cnn个任意常数,y1(x),y2(x),…,yn(x)是(8)的任何n个线性独立解,称之为(8)的一个基本解组,由它们的n2个分量构成的方阵称为基解方阵。

(3)若y壜(x),(i=1,2,…,n)是(8)的基本解组,使对应的基解方阵Y*x)满足初值条件Y*(x0)=EE为单位方阵),则(8)的任一解y(x)可表示为y(x)=Y*(x)y(x0)。但仅当A(t)为可交换时(即B(t)A(t)=A(t)B(t)),Y*(x)才能写成的形式。

(4)(8)的解的全体构成n维线性空间,任何一个基本解组都可作为此空间的基底,明显解是零元素。

(5)方程(7)的通解等于它的一个特解加上(8)的通解,且可表示为:

   (10)

式中y0= y(x0)。

(6)(10)式右边第二项是方程(7)的满足零初始条件y(x0)=0的特解。

(7)若ƒ(x)=ƒ1(x)+ƒ2(x),又已知yi(x)是的解,则y1(x)+y2(x)是(7)的解。

线性高阶常微分方程

这种方程可写为如下形式

。   (11)

此方程可借助于引进新的未知函数化为一阶方程组。令y1=yy2=y┡,y3=y″,…,yn=y(n-1),则(11)化为

若改记(12)为向量方程,则

这时式(9)中的,而朗斯基行列式成为

式中y1y2,…,yn表示(11)所对应的齐次方程的任意 n个解,而(11)的通解是对应的(12)的通解(10)的第一个分量。

由于黎卡提方程 y┡=p(x)y 2+Q(x)y+R(x)可借代换化为u的线性二阶方程

线性方程组

所以即使是只含两个未知函数的线性方程组(或是二阶线性方程)也未必能用初等方法求出通解。但可证明:如果已知(8)或(11)所对应的齐次方程的k个线性独立解,则该齐次方程即可被降为只含 n-k个未知函数的线性方程组或线性n-k阶方程。由此可得重要结论:当n=2时,如果方程

y"+p1(x)y┡+p2(x)y=0   (13)

的一个非零特解y1为已知,则可求出它的通解,且具有如下形式:

n=2时的方程(8)也成立类似的结论。但对

y"+p1(x)y┡+p2(x)y=q(x),  (14)

仅当已知它的两个特解时才能求出其通解;对于n=2时的方程组(7),也是如此。

方程(13)在应用数学中颇为重要,对它还有幂级数解法、广义幂级数解法、定积分解法以及解的定性讨论等内容。

伴随微分方程

A*(x)记方程(8)中A(x)(可能为复方阵函数)的共轭转置方阵,则称

(15)

为(8)的伴随微分方程。不难证明:(8)的任一基解方阵φ(x)与(15)的任一基解方阵Ψ(x)必满足恒等式

Ψ*(x)φ(x)=C

C是(复的)常数方阵。

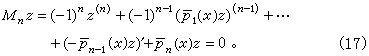
借助于(12),易证线性齐次高阶方程

Lny=y(n)+p1(x)y(n-1)+…+pny=0    (16)

的伴随方程是

对于(16)和(17)成立拉格朗日恒等式:设 pi(x)在区间(αb)上为n-i次连续可微,u(x)与v(x)在(αb)上为n次连续可微,则有

,     (18)

式中

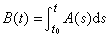
把(18)在(αb)的任一子区间(x1x2)上积分,即得格林公式:

 (19)

这两个公式对讨论边值问题很有用处。此外,由(18)还可看出:如果υ(x)是(17)的非零解,则尌(x)是(16)的积分因子。

常系数线性方程组与常系数线性高阶方程

对于常系数一阶线性非齐次方程组

       (20)

及其对应的齐次方程组

。         (21)

按照前述线性一阶常微分方程组的理论和矩阵函数的知识可得(21)的通解为

。   (22)

(20)的通解为

。  (23)

为了实用上的需要,还须知道eAx的具体表达式。

λn次代数方程│A-λE│=0为(21)的特征方程,它的根为(21)的特征根。可以证明:若λi是特征根,Γi是对应的特征向量,则eΓi是(21)的解;又若λiλj都是特征根,则eΓi与eΓj是(21)的两个线性独立解。因此,如果(21)有n个不同的特征根λ1λ2,…,λn,则它的通解是

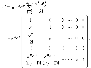
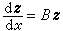
一般,当特征方程可能有重根时,可借助于线性代数中化矩阵为若尔当法式的理论来求(21)的通解。设非奇异方阵p使p-1Ap=B具若尔当法式,则线性变换y=pz可以化(21)为

, (24)

其中

Bjnj阶若尔当块,n1+n2+…+nr=n。若记Bj=λjEj+Nj则有

而(24)的通解为

(21)的通解是

   (25)

由此可见у的各个分量都具有

  (26)

的形式,pkj(x)是x的次数不大于(nj-1)的多项式,系数是C1C2,…, Cn的齐次线性组合。

若(20)与(21)是由线性常系数高阶方程

y(n)+p1y(n-1)+…+pny=q(x)    (27)

y(n)+p1y(n-1)+…+pny=0    (28)

化来,则特征方程是

λn+p1λ(n-1)+…+pn-1λ+pn=0,     (29)

而(26)中的y1即(28)的通解。这时A的右上角有一个n-1阶子行列式之值为1,故(29)的每一i重根λ*只对应于一个i阶若尔当块,而y1前面的多项式必为i-1次。又若(27)为实系数而有复特征根,则必成对出现。实用上常以 eαxcosβx与eαxsinβx这两实解代替两个共轭复解

虽然从理论上说,(20)或(27)的特解可按公式(23)右边的第二项来求,其中eAtt=peBttp-1。但在具体计算时是相当麻烦的。当q(x)或ƒ(x)的各分量为多项式、正弦余弦函数、指数函数、或三者的乘积之和时,不难得知对应的特解所应具有的形式,然后可用待定系数法来求特解。此外,也可采用符号方法或拉普拉斯变换法求特解。拉氏变换法是把常系数线性微分方程的求解问题化为线性代数方程或方程组的求解问题,求解时把初始条件一起考虑在内,不必先求通解再求特解,在工程技术中有广泛的应用。此外,还有用留数理论求方程(20)或(21)解的方法。

欧拉方程和周期系数线性方程

这是两种可化为常系数的变系数线性方程。二者有本质的不同,前者是切实可行的,后者只有理论上的价值。欧拉方程是形如

xny(n)+α1x(n-1)y(n-1)+…+αn-1xy┡+αny=ƒ(x)  (30)

的方程,经自变量的代换x=et就可化为常系数,这时有

不难写出所对应的、以t为自变量的常系数线性方程。对比(30)更一般的方程

x+β)ny(n)+α1x+β)(n-1)y(n-1)+…+αny=ƒ(x)可作代换αx+β=et。又对方程组(7),只要αij(x)=αijφ(x)对一切ij,则用代换总可把(7)化为常系数。

若(8)中的A(x)对x有周期ω,而Y(x)是一基解方阵,则Y(x+ω)也是,故Y(x+ω)= Y(x)CC为非奇异方阵。由线性代数知有方阵B使C=eωB,令p(x)=Y(x)e-Bx,则p(x)也有周期ω。若在(8)中作变换y=p(x)z,则z将满足常系数方程

。 (31)

C的特征根ρiB的特征根λi之间存在关系ρiλi分别称为周期系数方程(8)的特征乘数和特征指数。由(31)易见这时(8)的任意解的每一分量是形如e·φi(x)的函数的线性组合,其中φi(x)为x的多项式,系数是x的周期为ω的周期函数。但即使对于极简单的马蒂厄方程

y"+(λ+μcosx)y=0,      (32)

对应的一阶方程组的变换方阵 C也写不出来,而只知有ρ1ρ2=1这个关系式。为研究 (32)的解的性质,只能在(λμ)平面中画出无数条曲线(它们的方程只能近似地确定),分此平面为无数个属于两种类型的区域,然后说明在两类区域中或位于曲线上的点(λμ),其所对应的方程(32)的解会具有一些什么样的性质。关于方程(32)以及比它更广的很有实用价值的希尔方程

y"+φ(x)y=0,φ(x+π)=φ(x)

都有专著。

参考书目
  1. 叶彦谦编:《常微分方程讲义》,第2版,人民教育出版社,北京,1982。
  2. R.贝尔曼著,张燮译:《常微分方程的解的稳定性理论》,科学出版社,北京,1957。(R.Bellman,StαbilityTheory of Differentiαl Equαtions, McGraw-Hill,New York, 1953.)
  3. E.L.Ince,Ordinαry Differentiαl Equαtions, Dover, New York, 1944.