杂环高分子

主链含有重复的杂环结构的一类聚合物。它们耐高温、耐辐照,其高温力学性能及耐磨性良好。20世纪60年代初,由于航空航天、火箭、无线电等工业的需要,这类聚合物得到迅速发展。目前可加工成为薄膜、纤维、层压或模压制品、泡沫塑料,并可用于涂料或胶粘剂等。

结构对性质的影响

由于杂环引进高分子主链中,对其性质产生三种影响:

(1)环状结构增加了高分子链的刚性,使玻璃化温度、熔点或软化点比一般高分子高;

(2)大多数杂环高分子含有两个或两个以上共轭芳杂并环,尤其是梯型结构,可以看作是带状的石墨结构的大共轭平面结构,环上的N-H或C-H比脂肪族的N-H或C-H难被氧化;

(3)全芳族结构的杂环高分子结构紧凑,密度大,比强度(强度除以重量)相应地增高。

聚合

杂环高分子有两种聚合的途径:

(1)将含有杂环的单体进行聚合,这和合成一般高分子的方法相同;

(2)用不含杂环,但含有N、S或O等原子的单体,在环化缩聚过程中生成杂环。目前大多数的杂环高分子是通过环化缩聚制得的。最近也有采取先环化缩聚,再加成聚合的方法合成杂环高分子。此外,环化聚合也可形成杂环高分子。

类型

(1)聚酰亚胺 在杂环高分子中,只有聚酰亚胺及其改性品种发展比较迅速,达到一定工业规模生产。其原因是原料来源较丰富,合成工艺简单,制品具有优良的综合性能。

(2)聚苯并咪唑 虽有不少品种牌号,大都只限于小规模生产(见聚苯并咪唑)。

(3)聚苯基喹啉 不仅具有优良的耐热性,而且耐水解性能优异,溶解性好,有潜在的开发前景(见聚苯基喹啉)。

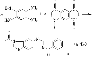
(4)吡咙 1965年由V.L.贝尔和G.F.佩兹德茨制成,但至今尚未工业生产。它们是由芳族四胺和芳族四酸二酐在极性溶剂(如二甲基乙酰胺)中于室温下缩聚,再经高温处理后得到的一种梯型或阶梯型杂环高分子:

公式 符号

吡咙在分子链上至少同时有4~7个共轭芳杂并环,因此比聚酰亚胺、聚苯并咪唑对热稳定。吡咙薄膜至少在250°C能长期保持较好的性能,并能耐1010拉德高能辐照,此外,还具有自熄性。

(5)聚苯并噻唑PBT 由双-邻氨基硫酚与二羧酸或其衍生物缩合聚合制得:

公式 符号

式中X为─、S或O;A为芳族、脂环族或脂族;Y为─COOH、─CN或─COOR等。聚苯并噻唑还可由甲苯胺和硫反应制得。熔融缩聚一般在200~400°C的高温中进行;溶液聚合大多在多聚磷酸或N,N-二乙基苯胺溶液中进行。

聚苯并噻唑是黄色或棕色固体,有优异的耐热性,热氧化稳定性比聚苯并咪唑和聚苯并唑好,在500°C加热1小时的等温热失重为20%;只溶于硫酸;在40%氢氧化钾溶液中沸腾36小时后无变化。脂族聚合物可以纺丝或在甲酸中浇铸成膜。纤维的结晶度取决于分子量的大小,伸长率在20%~60%之间,模量为18~25克力/旦。

(6)聚苯基-1,2,4-三嗪 由双酰胺腙与芳族四羰基化合物于室温下进行溶液聚合,再经高温热处理制得:

公式 符号 公式 符号

聚苯基-1,2,4-三嗪具有热氧化稳定性和耐水解性。

此外,如聚苯并唑、聚-1,3,4-二唑、聚苯并嗪酮等都是耐高温杂环高分子。

参考书目
  1. P.E.Cassidy,History of Heat-Resistant Polymers,Journal of Macromolecular Science, Reviews in Macromolecular Chemistry, Vol. A15, No.7,1981.