液体自由表面波

液体自由表面上此起彼伏的波浪运动。液体自由表面是指江河、湖泊、海洋以及开口容器中的液体等接触大气的液面。

概述

液体自由表面波和其他机械运动波一样,是质点振动在介质中的传播。静止的液体自由表面是水平的,但在极轻微的局部扰动下,水平状态就会被破坏,出现波浪运动(图1)。

液体自由表面波

液体自由表面一离开平衡状态,液体的重力和表面张力等就会发挥回复力的作用,促其返回平衡位置,从而形成液体质点的振动和振动的传播(即波)。起回复力作用的液体的重力和表面张力在液体自由表面波动中所起的作用往往不是同等的。液体的表面张力又称毛细力,其大小取决于液体及其表面的曲率。如果自由表面波的波长比波高大得多,在波动过程中自由表面的曲率便很小,因而表面张力也很小。在这种情况下,可以忽略表面张力的影响,只考虑重力的作用,这种液体自由表面波称为重力波。反之,若波长极短,波动过程中自由表面的曲率很大,因而表面张力也很大。在这种情况下,可以忽略液体重力的影响,只考虑表面张力的作用,这种液体自由表面波称为毛细波或涟波,其波长在1~2厘米之间。微风吹皱的一湖春水就是毛细波的一例。

液体自由表面波具有非常明显的”自由表面层”性质,波动中液体质点的运动随着所处自由表面下的深度的增加而急剧衰减。在自由水面下深度为一个波长处,液体质点的振幅减小到只有自由水面上质点振幅的1/535。因此,液体底面边界对液体自由表面波的影响有三种情况。第一种情况是, 液体深度h相对波长λ足够大,即h/λ》1,底面边界对自由表面波动几乎不发生任何影响。这种没有底面边界影响,相当于无限深情况的液体自由表面波称为无限液深自由表面波。由于自然界液体自由表面波大都发生在自由水面上,故无限液深自由表面波常简称深水波。第二种情况是,λh为同一量级,底面边界条件对自由表面波动性质产生明显影响。这种液体自由表面波称为有限液深自由表面波或有限水深波。第三种情况是,h/λ《1,底面边界条件使自由表面波动性质发生根本变化。这种液体自由表面波称为无限浅自由表面波或浅水波。浅水波的波长比其波高大得多,故又常称为长波或浅水长波。

液体自由表面波的要素有频率、周期、波长、波高、波幅、波数和波速(又称相速)等(图2)。

图

波的频率f和周期T就是波动过程中液体质点在平衡位置振动的频率和周期。波长λ是在一个振动周期内波传播的距离,即在波传播方向上,相邻两同相位点之间的距离。 波高H是波峰至其前一个波谷的垂直距离。波幅a是波峰至静止液面的垂直距离,或静止液面至波谷的垂直距离。波高是波幅的两倍。波数是在波传播方向上单位长度内波的个数,它是波长的倒数,但通常称2π除以波长为波数,即k=2π/λ。波速c又称相速,是波沿传播方向的移动速度。

液体自由表面波的振动圆频率ω和波数k(或波长λ)之间有确定的关系,称为频散关系。液体自由表面波的频散关系决定于液体自由表面上的运动学动力学边界条件。因此,不同的频散关系就是液体自由表面上不同波动特征的描述。

一般情况下,液体自由表面波的波速同波长有关,不同波长的波具有不同的传播速度。但也有波速与波长无关的液体自由表面波,例如浅水波。波速取决于波长的波称为弥散波,波速同波长无关的波称为非弥散波。

下面介绍几类一般的液体自由表面波。

小振幅波

振幅与波长相比为一小量的液体自由表面波。由于a/λ是一小量,小振幅波中液体质点的运动速度分量、自由表面位移和波的倾角也都是小量,从而使运动基本方程和边界条件都线性化,且流动有势。因此,小振幅波即为液体自由表面的线性波。小振幅波有规则波和叠加波两种模型。

规则波

液体质点作简谐振动的简谐波,其波形为正、余弦函数,是液体自由表面小振幅波的基本形式。依照傅里叶定理,任何一般形式的小振幅波都可由基本的规则波叠加而成,且其中的每一种基本波(即傅里叶分量)都是独立地进行传播的,因此规则波的性质反映一般小振幅波的性质。规则波有进行波和驻波,下面分别阐述它们的平面形式。

(1)平面进行波:波形为:

ζ=a sin(kxωt),

式中ζ为液体自由表面离开其平衡位置的位移;a为波幅;k为波数;ω=2πf为振动圆频率。如图3所示,进行波保持波形不变,沿x正向以波速c=ω/k行进,进行波的频散关系为:

公式 符号

式中h为液体深度;σ为液体的表面张力。因此,进行波的波速为:

公式 符号

对毛细波(涟波),只考虑表面张力的作用,波速为:

公式 符号

对重力波,只考虑液体重力的作用,波速为:

公式 符号

无限水深时,h→∞,th(kh)→1,重力波的波速为:

公式 符号

浅水时,kh《1,th(kh)≈kh,重力波的波速为:

公式 符号

由此可见,浅水重力波的波速与波长无关,所以是一种非弥散波。

图

在无限深液体自由表面进行波中,液体质点围绕各自平衡位置作圆周运动,其半径在自由表面上为波幅a,随质点所处自由面下的深度而按指数律递减(图4a)。有限水深和浅水中的进行波,其流体质点运动的轨迹为具有水平长轴的椭圆(图4b)。椭圆的长轴和短轴都随质点所处自由面下的深度而递减,短轴比长轴递减得更快;短轴在自由表面上等于波幅,递减至底面时为零,水愈浅,椭圆愈扁。

图

平面进行波在一个波长内的总能量为常值ρga2λ/2。总能量由动能和势能两部分组成,它们各占一半,始终保持不变。进行波主要发生在传播不受阻挡和没有其他干扰的开阔水域。

(2)平面驻波:波形为:

ζ=asink(xξ)cos(ωt+ε),

式中ε为振动的初始相位;为波的起始相位。驻波可由两个完全相同但在相反方向传播的进行波叠加得到。驻波有周期性变化的波幅和固定不动的波节点。驻波的质点运动轨迹是直线,即液体质点在各自的平衡位置作直线振动。轨迹直线在波峰和波谷处是垂直于水平的,随着向波节点靠近,轨迹直线与水平的夹角逐渐变小,至波节点处变为零,成为水平(图5)。

平面驻波的质点运动轨迹

质点振动的振幅,在液体自由面上等于波幅a,随质点所处自由面下深度的增加而迅速递减。

驻波在一个波长内的总能量为常值ρga2λ/4,但动能和势能周期性地相互交换。驻波主要发生在受限制水域,如湖泊、水库、港湾以及开口容器中的液体自由表面上。

叠加波

若干个波幅和周期都很接近的规则进行波叠加后形成的波列。叠加波波列的包络称为波包。波包的波长比波列中单个波的波长大得多。波包包络着许多单个波,组成波的群落,所以波包又称波群(图6)。

图

波群的移动速度称为群速,记作cg,群速与波速之间的关系由瑞利公式给出:

公式 符号

式中λ为波长。弥散波的波速依赖于波长,因而群速不等于波速。例如深水重力波,其波速公式 符号,而群速只是它的一半。非弥散波的波速与波长无关,因而群速与波速相等。例如浅水重力波,其波速公式 符号(h为水深),而群速等于波速,即cg=c

一般形式的线性波都由不同周期的规则波叠加而成,因此波列运动、波群和群速是一般形式线性波的波动现象和波的要素。群速也是波能的传递速度。

摆线波

波形为摆线的液体自由表面波(图7),

图

是F.J.von格斯特纳于1802年在数学上首先提出的,所以又称格斯特纳波。摆线波建立在理想不可压缩液体运动方程精确求解的基础上,基本方程和边界条件都没有作线性化处理,所以它是一种有限振幅的非线性波。格斯特纳考虑二维无限液深情形,采用拉格朗日变数描述流体运动。在摆线波的波动中,平衡位置为(ab)的流体质点在时刻t的位置为:

xa+Re公式 符号sink(act),

ybRe公式 符号cosk(act),

式中k为波数;c=ω/k为波速。因此,流体质点以其平衡位置为中心作半径为Re公式 符号的圆周运动,这个半径随平衡位置所在自由面下的深度按指数律递减。在液体自由表面上,b=0,液体质点运动轨迹的半径为R,因而摆线波波形的参量方程为:

xa+Rsink(act),

y=-Rcosk(act)。

上式是半径为R的圆沿Ox轴滚动时圆周上一点的轨迹(摆线)方程,摆线波因此得名。

摆线波是液体自由表面的一种有旋波,其涡量为:

Ω=-2ωk2R2e公式 符号/(1-k2R2e公式 符号)。

斯托克斯

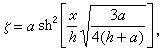
一种无旋的非线性液体自由表面波,是G.G.斯托克斯于1847年最先用摄动法在无限深液体重力波中求解出来的,因而得名。流动无旋的液体自由表面波的非线性影响来自液体自由表面的边界条件。对这种边界条件,可以振幅a与波长λ的比值δ为小参量,把边界条件的非线性方程展开为逐级近似的方程,然后再逐级求解。事实上,小振幅线性波就是这里的零级近似。这样逐级近似求得的高阶近似非线性液体自由表面波即为斯托克斯波。在液体深度为无限的情形下,斯托克斯重力波的波形ζ为:

公式 符号

而波速c为:

公式 符号

这里所取的坐标系为随波行进的动坐标系。 图8给出的是ka=1/2,精确到k4a4项的斯托克斯波的波形图。这种波的波峰较尖,波谷较平坦。

图

斯托克斯波明显反映出液体自由表面波的非线性影响。首先与线性波不同,斯托克斯波的波速受波幅影响。其次,线性波可以叠加,且被叠加的各分量波各自独立地进行传播;而斯托克斯波的各分量波之间相互干扰并产生新的分量波,在共振条件下,新波将不断从原型波中吸收能量而使自己的波幅不断增长,故存在不稳定性。理论和实验都证明, 在深度为h的有限水深情况下,当kh>1.363时, 二维周期波在相近频率干扰波的干扰下,是不稳定的。

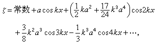
孤立波

一种非线性浅水波,又称孤波,其波形为在平衡液面上的单个波峰,波峰前后没有其他液面起伏的传播(图9)。

图

孤立波在传播过程中保持固定的波形,理论波长为无限大。其波形为:

公式 符号

式中h为平衡时的水深;坐标系Oxy是随波行进的。波速公式 符号。当孤立波的波幅近似等于水深时,波形就不稳定并产生断波。浅水航道中大平底船的运动或河流中来流速度的突然变化常会产生孤立波。

参考书目
  1. 易家训著,章克本、张涤明、陈启强、蔡崇喜译:《流体力学》,高等教育出版社,北京,1983。(Chia-Shun Yih,Fluid Mechanics)
  2. M.J.Lighthill, Waves in Fluid, Cambridge Univ.Press,Cambridge,1978.
  3. G.B.Whitham, Linear and Nonlinear Waves,John Wiley & Sons,New York,1974.