结构优化设计

在给定约束条件下,按某种目标(如重量最轻、成本量低、刚度最大等)求出最好的设计方案,曾称为结构最佳设计或结构最优设计;相对于“结构分析”而言,又称“结构综合”;如以结构的重量最小为目标,则称为最小重量设计。

发展简史

结构优化设计的设想由来已久。J.C.麦克斯韦于1854年和J.H.米歇尔于1905年就曾研究过在不加任何形状约束条件下桁架式结构的最优布局问题。他们的工作在理论上有一定意义,但所得结果往往在工艺上无法实现。 到20世纪40年代, 在航空结构的构件设计中提出了所谓“同步极限”准则,即认为一个构件的最优设计,应使它在受力后各部分都同时达到极限状态。求解方法一般采用经典的受等式约束的函数极小化理论。但是这种方法只能处理一些简单的问题,例如,处理形状简单的薄壁结构部件的优化问题。此外,还曾提出满应力设计准则,即认为最优结构的每一部件的应力应在至少一种工况下达到它的容许限值。对于静定结构,这个满应力准则是不难实现的,但是对于静不定结构,满应力设计需要经过多次的反复分析和修改才能完成,在还没有电子计算机的时代,这是很难实现的。60年代初,出现了现代化的结构优化设计理论和方法,它是以利用电子计算机为基础的。

基本方法

结构优化设计有两个主要方法:数学规划法和优化准则法:

数学规划法

数学规划法的命题是:求n 个变量xi(i=1,2,…,n),满足m 个约束条件 Gj(xi)≤0(j=1,2,…,m),且使目标函数W(xi)为最小(或最大)。如果约束条件和目标函数都是xi的线性函数,这便是线性规划问题,已有成熟的解法;如果在这些函数中有一个是非线性函数,便成为非线性规划问题。随着非线性函数的性质和形式的不同,非线性规划问题有很多类型,特殊的解法很多,在应用上各有局限性,没有普遍适用的最好解法。

用数学规划法来作结构优化设计,变量xi便代表可以变化的各种结构参数,如元件截面积或厚度、节点位置、材料性质等;约束条件Gj(xi)≤0代表设计必须满足的各种限制,例如结构各部位的静应力、动应力或变位不得超过规定的容许值,元件的截面或厚度尺寸不得超出给定的范围,结构的频率不应落在某个禁区,结构的失稳临界力或飞行器颤振速度不得小于某一下限,等等;而目标函数则代表结构优化所追求的指标,例如,结构重量最小和成本最低等可以定量的指标;也可将重量、造价作为约束条件,而把某种结构性能,例如刚度作为目标函数。

数学规划法的基本目的是,在以设计变量为坐标的多维空间里搜索最优点。如果有n个设计变量,则相应的n维设计变量空间中的每个点都代表一个设计方案。在无限多的点中要尽快地搜索出既满足所有的约束条件,又能使目标函数尽量接近最小值(或最大值)的点,就是数学规划设计法的任务,这种搜索的过程称为“优化过程”。

附图表示一个二维设计空间,图中的一簇曲线是目标函数W(x1x2)为常数的等值线。 约束函数Gj(x1x2)为零的曲线所围成的区域是可行域。ABC点各代表一个可行的方案。 围线以外的点(如D)不满足约束条件,所以是不可行方案。显然,满足约束条件并使目标函数W 最小的最优方案点是Μ。数学规划就是要以最迅速的方式找到点Μ。这好比在山坡上一个用栅栏围起来的区域里找最低点,如果这个山坡不是凹的,则可以断定最低点必在栅栏所在的边界上。数学规划提供了很多搜索的办法,基本原则都是在选好一个出发点后,经过分析判断,找出一个迈步的有利方向,沿这个方向跨出有利的步长以到达新的一点。再从此点出发,重复上述过程,一步一步走下去,直到再也找不到可走的有利方向,就是达到了最低点。从第n点到第(n+1)点这一步可表达为:

公式 符号

式中埅(n)为有利方向,α(n)为有利步长系数,它们依靠在塣(n)点进行的分析所提供的信息来确定。例如,从可行点A 出发,沿着等高线的梯度负向,即最陡下降方向逐步走到边界点1,然后再沿着边界逐步走到最低点Μ,这个方法叫作梯度投影法。实际上还有很多其他的方法。可以看出,如果初始出发点选的是B,用同样的走法也可以走到最低点Μ;但如果初始点选的是C,那就会走到另一个局部最低点N。Μ点代表全局最优解,因为它是全部可行域中的最低点。 N点只是在它附近的可行域中的最低点,所以是局部最优解。现在还没有一个可靠的实用方法能保证搜索到的解一定是全局最优解。一般是在可能的情况下取若干不同的出发点作几次搜索,以期找到全局最优解。

附图

如果是线性规划问题,搜索过程就简便得多。所以有时把非线性问题转化成一系列线性问题来逼近。为此,在某一设计点附近将目标函数和约束函数都线性化,也就是在该点将函数作泰勒展开,并只保留它们的线性项。然后作有一定步长限制的线性规划,得到新的一点。如此重复下去,直到收敛于最优点为止。

由于不带约束的规划问题比较容易作,所以有时也把有约束问题转化成一个序列的无约束问题。为此,可以把约束表示成一个罚函数加到目标函数上去,构成一个新的目标函数,即

公式 符号

式中公式 符号即为罚函数,r是一个相当小的正数,它在序列无约束问题中,逐次减小。因为r值很小,当代表某一设计方案的塣 点在离开边界较远的可行域内部行动时,慛≈W;但是当塣接近可行域的边界,某约束函数Gj(xi)将由负值趋近于零,于是罚函数急剧增大,因此,慛的最小点不可能越过可行域边界。r越小,无约束问题的慛最小点越接近于有约束问题的W 最小点。但是如果一开始就取很小的r,无约束问题将遇到收敛上的困难,所以有必要将有约束问题化成一个序列的无约束问题,让系数r在这个序列中逐渐减小到适当的程度。

此外,还有一些非线性规划的特殊方法,如几何规划动态规划,各有其适应的范围,在结构优化设计中也得到应用。

优化准则法

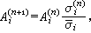
以满足某种准则来代替目标函数在约束条件下取极值的方法,叫作优化准则法。最简单的一个优化准则法,便是前面提到的满应力设计方法。只有对于内力分布不随设计变量改变而变化的静定结构,而且容许应力与设计变量无关的情况下,才能通过一次结构分析和修改设计得出满应力结构。对于其他情况,为使各元件趋向于满应力,必须进行下列的迭代:

公式 符号

式中A扨和σ扨为第n 次迭代的第i元件的截面积和最大应力,勎i为第 i元件的容许应力。公式给出经过修正的第i元件的截面积A囂。迭代收敛时,A囂≈A扨,就达到σ扨≈勎i的满应力准则。满应力准则和结构最小重量之间没有必然的联系,但是一般的满应力设计可能相当接近于甚至就等于最轻设计。当然,这个方法只适用于受应力约束的最轻设计问题。

60年代末,出现了更科学的优化准则法。它通过数学推演,把在一定约束下求最轻设计化为求满足某种优化准则的设计,举只有一个变位约束优化设计问题为例:求xi,满足在单约束G(xi)≤0的条件下, 使W(xi)最小(i=1,2,…,n)。可以用目标函数和约束函数建立一个新的混合函数,即拉格朗日函数:

φ(xi)=W(xi)+λG(xi),式中λ为一个待定的拉格朗日乘子。 原来的约束极值问题等价于:

公式 符号

由此得:

公式 符号

这便是关于单约束优化设计必须满足的准则。优化设计塣,必须使优化函数和目标函数对任一个设计变量 xi偏导数的比值是同一个常数。如果约束函数 G是某处的变位,则公式 符号表示设计变量xi作单位增长时变位值的减小,即结构的刚度收益;如果目标函数W是结构的总重量, 则公式 符号表示xi 作单位增长时重量的增加,即付出的代价。因此,上述准则可以理解为:最轻设计必须满足的条件是:当任何一个自由设计变量作单位变化时,结构的刚度收益和重量支出的比值应彼此相等,即都等于某一常数。也可以说,在最轻结构中,自由设计变量都被调整到具有相等的优化效率。这意味着对结构刚度贡献大的设计变量,应该多负点重量。用这个准则,可以建立一套迭代算法,从某个初始方案开始,用迭代方法逐步使这个准则得到满足,最后获得优化方案。如果是多约束问题,约束不止一个,优化准则便是:

公式 符号

式中λj是对应于第j个有效约束Gj的拉格朗日乘子,可以理解为公式 符号的权系数。所有λj都应为非负值,即λj≥0;如果由准则算出的某λj为负值,则相应的约束就是不起作用的松约束,应该取这个λj为零值。多约束的算法,要比单约束复杂,其困难在于每一步迭代都要区别出起作用的和不起作用的约束。

优化准则法自60年代末以来被成功地用于航空结构设计。它的优点是算法简单,收敛快,不受变量多少的影响。一般经过十次左右的迭代,就可满足设计要求。迭代次数的多少,在实际的结构优化设计中极为重要。因为迭代一次,就需要将结构重新分析一次,而作一次结构分析的代价是很大的。

应用和展望

计算机化的结构优化设计,首先在航空工业中得到重视和应用,后又逐渐推广到建筑、造船、机械制造等领域。二十年来的发展证明,数学规划法和优化准则法是两个行之有效的方法,但各有利弊。前者通过与力学概念的紧密结合,可减少结构分析的次数,从而减少计算工作量。后者则正在改进它的适应性,以便扩大应用范围。在实际应用中,这两种方法常常互相取长补短,配合使用。

结构优化设计只是工程系统设计中的一个环节,结构的优化应包括在大系统的优化之中。即使是只考虑结构本身的优化,也要经历许多层次。层次越高,在优化中可变参数的性质越广,不仅结构截面参数可变,结构的几何形状、组合方式以至各部分材料也是可变的。今后要努力的方向是扩大优化范围和提高优化效益。

参考书目
  1. R.H.Gallagher and O.C.Zienkiewicz,ed.,Structural DesignTheory and ApplicationsJohn Wiley & Sons,London,1973.
  2. 钱令希著:《工程结构优化设计》,水利电力出版社,北京,1983。
  3. 《1980年全国计算力学会议文集》,北京大学出版社,北京,1981。