自由基聚合引发剂

简称引发剂。指一类容易受热分解成自由基(即初级自由基)的化合物,可用于引发烯类、双烯类单体的自由基聚合和共聚合反应,也可用于不饱和聚酯的交联固化和高分子交联反应。由两种或多种引发剂组成的引发体系称复合引发体系;而由两个可以发生氧化还原反应产生自由基的引发剂组成的体系则称氧化还原引发体系。后者可在较低的温度下引发,聚合属于氧化还原聚合。有些不能用作热引发剂的化合物,经紫外线照射后,能分解成自由基而引发单体聚合者,称为光敏引发剂,简称光敏剂,这类聚合属于光聚合。键断裂能量不超过25~40千卡/摩尔的化合物,适合于作引发剂,破坏这些键需要加热到50~150°C,这也是一般烯类自由基聚合的温度范围。目前工业上常用于自由基聚合的引发剂有过氧化物偶氮化合物等。由于过氧化物遇热、碰撞等会发生爆炸,使用时要特别注意。市售的过氧化物一般是用溶剂稀释的,固体过氧化物则用水润湿或用邻苯二甲酸酯调成糊状物。

引发剂的分类

可以按照引发剂的分解方式将引发剂分为热分解型和氧化还原分解型两类;也可以按照其溶解性能分为水溶性引发剂(如无机类的过硫酸盐、过氧化氢等)和油溶性(溶于单体或有机溶剂)的有机类引发剂;或者按照引发剂的使用温度范围,分为:

(1)高温(100°C以上)类,如烷基过氧化物、烷基过氧化氢物、过氧化酯等;

(2)中温 (40~100°C)类,如偶氮二异丁腈、过氧化二酰、过硫酸盐等;

(3)较低温(0~40°C)类,如氧化还原引发体系。因此应根据聚合反应的温度要求来选择引发剂。如果高温引发剂用在中温范围聚合,则分解速率过低,而使聚合时间延长;如果中温引发剂用于高温范围聚合,则分解速率过快,引发剂过早消耗,在低聚合转化率阶段就停止反应。引发剂按分子结构可分为两类:

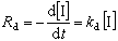
偶氮化合物

常用的有偶氮二异丁腈ABIN和偶氮二异庚腈ABVN,适用于中温引发分解反应:

公式 符号

带羧基或磺酸基的偶氮化合物适用于水溶液聚合

公式 符号 过氧化物

(1)过氧化酰 通式为:

公式 符号

最常用的是过氧化苯甲酰BPO。其他有过氧化二(2,4-二氯苯甲酰)、过氧化二乙酰、过氧化二辛酰和过氧化二月桂酰〔即过氧化二 (十二酰)LPO〕等。这些引发剂既可单独用作中温引发剂,也可与叔胺一起用作室温氧化还原引发剂。BPO的分解反应为:

公式 符号

(2)烷基过氧化物 通式为R-O-O-R,主要用于高温(>100°C)引发, 常用的有二异丙苯过氧化物DCP和二叔丁基过氧化物DTBP:

公式 符号

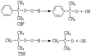
(3)过氧化酯 通式如下,

公式 符号

主要有过氧羧酸的叔丁酯,其中过氧化苯甲酸叔丁酯BPB用于高温引发,过氧化特戊酸叔丁酯BPP用于 50°C的中温引发。上述两种过氧羧酸叔丁酯的引发分解反应分别表示如下:

公式 符号

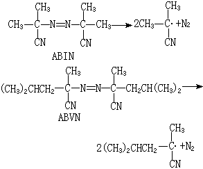
(4)过氧化氢物 通式为R-O-O-H,主要有异丙苯过氧化氢CHP和叔丁基过氧化氢TBH,适用于高温引发:

公式 符号

(5)过氧化二碳酸酯 通式如下。

公式 符号

主要用于低温或中温(30~50°C)引发。最初用过氧化二碳酸二异丙酯IPP,但由于它需要在零度以下贮存,且在室温下为半固体状,目前已较少使用,而改用过氧化二碳酸二异丁酯IBP、过氧化二碳酸 公式 符号二环己酯DCPD和过氧化二碳酸二(对叔丁基环己酯)TBCP来引发:

公式 符号

(6)酮过氧化物 常见的有甲乙酮过氧化物和环己酮过氧化物,前者是由甲乙酮在酸性条件下与过氧化氢反应合成的,得到下列混合物:

公式 符号

主要用于不饱和聚酯的低温(室温)交联固化反应,要与钴盐或叔胺促进剂混合使用。其反应属于氧化还原分解反应。由环己酮与过氧化氢反应,则得到环己酮过氧化物,按照反应条件的不同,可得到以下的产物:

公式 符号

另外,与酮过氧化物相关的是缩酮过氧化物,其通式如下,

公式 符号

其中R′为叔丁基:R1和R2为不同的烷基。例如2,2-二(叔丁基过氧)丁烷DBPB,适用于不饱和聚酯的高温交联固化。其分解反应可能是:

公式 符号

(7)无机类过氧化物 这类过氧化物溶于水,可用作水溶液聚合或乳液聚合的引发剂。主要有过硫酸盐(钾、钠或铵盐) 和过氧化氢。因为过氧化氢分解活化能很高(53千卡/摩尔),不能单独使用,所以要与还原剂组成氧化还原引发剂。过硫酸盐则可单独使用:

公式 符号

引发剂的分解速率

引发剂的分解反应为一级反应,其分解速率Rd与引发剂浓度[I]的一次方成正比:

公式 符号

式中kd是分解反应速率常数,它的单位是秒-1,引发剂浓度的单位是摩尔/升,将上式积分得:

公式 符号

式中 [I]0为引发剂的初始浓度。由实验测定不同时间t的引发剂浓度,将ln([I]/[I]0)对t作图,得一直线,由斜率可求出kd值。

引发剂半衰期

引发剂的分解速率也可以用引发剂的半衰期 t┩来衡量。所谓半衰期是指在某一温度下引发剂分解至起始浓度的一半时所需的时间,半衰期的单位是小时。在一级反应中,t┩与kd的关系为:

公式 符号

半衰期对选择引发剂很有用,一般要选用与聚合反应时间同一数量级的t┩值,大致采用5~10小时,由此可查出某一引发剂的使用温度范围。表1列举了一些引发剂的t┩值。

图 复合引发体系

有时可用两种不同 t┩值的引发剂作为烯类聚合的复合引发体系。例如,为了提高氯乙烯悬浮聚合速率,可用偶氮二异丁腈ABIN与偶氮二异庚腈ABVN复合引发体系,它比单独用ABIN时聚合快。为了提高聚苯乙烯的耐热性能,也可以用过氧化二苯甲酰BPO与过氧化苯甲酸叔丁酯BPB复合引发体系,因后者会在较高温度分解,所以可在较高温度下聚合。

引发剂效率

引发剂效率用f表示,它指由引发剂分解产生的初级自由基引发单体聚合的百分率:

公式 符号

式中Ri为自由基聚合引发速率,系数2是因为每一引发剂分解生成两个自由基。一般f小于1,说明并不是全部初级自由基打开单体双键而引发,有一部分初级自由基由于其他反应而被消耗掉。消耗引发剂的反应主要是引发剂的诱导分解和初级自由基的副反应。

引发剂的诱导分解

这是由自由基(可以是初级自由基或是增长链自由基等)向引发剂的转移反应,使原来的自由基终止成稳定分子,同时产生一新的自由基。虽然引发剂的诱导分解并没有改变自由基的浓度,但消耗了引发剂,从而降低引发剂效率,例如过氧化二苯甲酰的诱导分解反应:

公式 符号

另外,溶剂分子(如醇、醚、酚等)也可以引起过氧化二苯甲酰的诱导分解,使f值减小。

初级自由基的副反应

它也是消耗引发剂的反应。由于引发剂分子被溶剂分子所包围,引发剂分解成初级自由基后,必须扩散出溶剂的包围,才能引发单体聚合。如果初级自由基在没有扩散出来以前,就发生了偶合(结合)终止,或形成较为稳定的自由基,也会使f减小,这种溶剂效应称为笼蔽效应。

参考书目
  1. N.Cooper and G. Pope, Introduction to Addition Polymerization, C. E. Schildknecht and I. Skeist,ed., Polymerization Processes, John Wiley & Sons,New York, 1977.
  2. 冯新德著:《高分子合成化学》,上册,科学出版社,北京,1981。