光聚合

光化学反应使单体聚合的方法。单体可以直接受光激发引起聚合,或者由光敏剂、光引发剂受光激发而引起聚合,后者又称光敏聚合。这种方法具有聚合温度低、反应选择性高和易控制等特点,可以发生一般分子不能进行的反应,扩大了获得高分子的手段。光聚合所用的光源主要是高压或中压汞灯(不连续光)和氙灯(连续光)。

光敏剂是能受光激发并将激发能传递给反应分子而自身又回到基态的物质。光引发剂是能受光激发产生反应,生成活性中心(自由基或离子)而引发单体聚合的物质。实际上,具体情况比较复杂,二者很难严格区分。

按反应方式,光聚合可分为纯粹光聚合和光引发聚合两大类。

纯粹光聚合

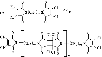
具有缩合聚合反应的特征,又称光缩聚。这类单体必须含有两个以上的光化学活性官能团。在聚合过程中,单体分子直接吸收相应波长的光,或者通过光敏剂的能量传递而激发,发生化学偶合反应,形成新的链节,例如N,N′-聚亚甲基-双-二氯代马来酰亚胺的光聚合:

公式 符号

或者通过光化学反应生成新的活性中心,然后活性中心相互偶合成链,例如对二苯甲酰苯自由基偶合聚合反应:

公式 符号

逐步地进行链增长。每一链节的形成至少吸收一个光量子,因此一般聚合量子收率≤1。

这种方法得到的聚合物的聚合度比较低。目前较多地应用这类反应进行高分子改性,或合成具有这类反应活性官能团的预聚体,用于光成像体系。

光引发聚合

包括自由基聚合和离子聚合,目前以前者为主,它与通常所说的自由基聚合相比,主要差别是引发方式的不同,即活性中心由光化学方法产生,聚合活化能较低(一般在5千卡/摩尔以下),聚合度随反应温度升高而增加等。它的链增长是连锁反应,这种方法的聚合量子产率可高达102~103

光直接引发聚合

一般认为,它是由于单体分子中双键的π电子激发后,产生双自由基,单体从分子两端进行链增长:

公式 符号

式中h普朗克常数; v为频率。简单烯类单体的特征吸收都在300纳米以下,摩尔消光系数ε值很小,光能利用率很低,聚合速率慢,效率低。所以目前主要采用添加光引发剂的光聚合方法。

光敏自由基聚合

实际应用的光引发剂主要有两大类:

(1)二苯甲酮类或蒽醌类和氢给体组成的体系,通过光化学提氢反应生成自由基,其中氢给体产生的自由基起着主要引发作用,例如二苯甲酮-叔胺体系:

公式 符号

式中M代表单体,P代表聚合物。

(2)安息香类及苯乙酮衍生物,按诺里什Ⅰ型裂解反应生成自由基,例如安息香醚类:

公式 符号

式中kd为引发剂分解反应的速率常数,其中脂肪族醚类具有比较好的效果(kd>1010-1)。安息香醚的α-H被烷氧基取代后,既能提高储存稳定性,又能提高效率。例如αα-二甲氧基-2-苯基苯乙酮是有效的光引发剂。

以上方法广泛应用于光固性涂料、油墨、制版和其他固化技术。