气相色谱法

用气体作为移动相的色谱法。根据所用固定相的不同可分为两类:固定相是固体的,称为气固色谱法;固定相是液体的则称为气液色谱法。

简史

20世纪 30年代,P.舒夫坦和 A.尤肯发展了气固色谱法。P.C.特纳、S.克拉桑、E.克里默接踵于后。气液色谱法则是A.T.詹姆斯和A.J.P.马丁提出的。气固色谱法由于采用了各种特殊性能的吸附剂,现在日益广泛地用于各种气体的分析,但仍受组分的吸附等温线非线性和吸附剂制备重复性差的局限。气液色谱法由于可采用不同性质的固定液,得到更为广泛的应用。由于新的固定液及其制备方法有了新发展,而使固定液流失问题得到较好的克服,现在气相色谱法有时主要指气液色谱法。

图 图

原理

气相色谱系统由盛在管柱内的吸附剂(表1) 或惰性固体上涂着液体的固定相和不断通过管柱的气体的流动相组成。将欲分离、分析的样品从管柱一端加入后,由于固定相对样品中各组分吸附或溶解能力不同,即各组分在固定相和流动相之间的分配系数有差别,当组分在两相中反复多次进行分配并随移动相向前移动时,各组分沿管柱运动的速度就不同,分配系数小的组分被固定相滞留的时间短,能较快地从色谱柱末端流出。以各组分从柱末端流出的浓度 c对进样后的时间t作图,得到的图称为色谱图。当色谱过程为冲洗法方式时,色谱图如图1所示。从色谱图可知,组分在进样后至其最大浓度流出色谱柱时所需的保留时间tR, 与组分通过色谱柱空间的时间tM,及组分在柱中被滞留的调整保留时间t惱的关系是:

公式 符号

式中t惱与tM的比值表示组分在固定相比在移动相中滞留时间长多少倍,称为容量因子k

公式 符号

从色谱图还可以看到,从柱后流出的色谱峰不是矩形,而是一条近似高斯分布的曲线,这是由于组分在色谱柱中移动时,存在着涡流扩散、纵向扩散和传质阻力等因素,因而造成区域扩张。在色谱柱内固定相有两种存放方式,一种是柱内盛放颗粒状吸附剂,或盛放涂敷有固定液的惰性固体颗粒〔载体或称担体(表2)〕;另一种是把固定液涂敷或化学交联于毛细管柱的内壁。用前一种方法制备的色谱柱称为填充色谱柱,后一种方法制备的色谱柱称为毛细管色谱柱(或称开管柱)。

图

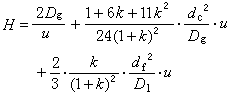
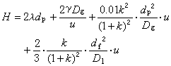
通常借用蒸馏法的塔片概念来表示色谱柱的效能,例如使用“相当于一个理论塔片的高度“H或“塔片数”n来表示柱效。对于填充柱:

公式 符号

对于开管柱:

公式 符号

式中λ是与填充均匀性有关的因素,称为填充不规则因子; γ是柱内填充物使得气体扩散路径弯曲的因素,称为弯曲因子;dp是填充物平均颗粒直径(即粒度);u是载气在柱温、柱压下的线速;Dg是组分在气相中的分子扩散系数;Dl是组分在液相的扩散系数;df是固定液的液膜厚度;dc是开管柱的内径。所以色谱柱的塔片数n=L/H,式中L为色谱柱长;n的数值可用给定的物质作实验,由实验所得到的色谱图(图1)计算得到:

公式 符号

式中ω┩为色谱峰的半高宽,由于气相色谱的组分在固定液中的分配等温线多为线性,如果进样量很小,得到的色谱峰流出曲线最初是用高斯正态分布来描述的,其数学表示式为:

公式 符号

现在实验和理论上都证明了物质的色谱峰形状是不对称的和曳尾的,若用指数衰减修正的高斯分布作为描述色谱峰形状的分布函数,则更为确切:

公式 符号

式中A表示峰面积;tG表示高斯峰的中心位置;σ表示高斯峰的标准方差;τ表示指数衰减函数的时间常数;t′为积分变量。

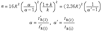
上面曾经指出,两组分的分配系数必须有差异,其色谱峰才能被分开。有了差异,分离时所需的柱效n也就不相同,所以要判别两色谱峰分离的情况(图2),

图

还需要采用色谱柱总分离效能指标R

公式 符号

nR的关系为:

公式 符号

式中α′是组分相对保留值;α是组分校正相对保留值。从上式可知,选择适宜固定液和具有给定塔片数的色谱柱后,应该通过改变色谱柱温来调节α′值,从而满足将两组分分离至给定R值的分离程度。

仪器装置和操作

气相色谱仪流程图见图3。

图 气流系统

指载气及其他气体(燃烧气、助燃气)流动的管路和控制、测量元件。所用的气体从高压气瓶或气体发生器逸出后,通过减压和气体净化干燥管,用稳压阀、稳流阀控制到所需的流量。

分离系统

由进样室与色谱柱组成。进样室有气体进样阀、液体进样室、热裂解进样室等多种型式。色谱柱通常为内径2~3毫米、长1~3米、内盛固定相的填充柱,或内径0.25毫米、长20米以上、内涂固定液的开管柱。样品从进样室被载气携带通过色谱柱,样品中的组分在色谱柱内被分离而先后流出,进入检测器。

检测系统

包括检测器、微电流放大器、记录器。检测器(表3)将色谱柱流出的组分,依浓度的变化转化为电信号,经微电流放大器后,把放大后的电信号分别送到记录器和数据处理装置,由记录器绘出色谱流出曲线。

图 数据处理系统

简单的数据处理部件是积分仪。新型的气相色谱仪都有微处理机作数据处理。

温度控制系统及其他辅助部件

温度控制器用于控制进样室、色谱柱、检测器的温度。如果色谱柱放置在有鼓风的色谱炉内,则要求色谱炉能在恒定温度或程序升温下操作。重要的辅助部件有顶空取样器、流程切换装置等。

流动相

即载气, 可用氦气、二氧化碳、氢气、氮气等。载气的选择与纯化的要求取决于所用的色谱柱、检测器和分析项目的要求,如对有些固定相不能与微量氧气接触,又如对热传导池检测器宜用氢气作载气;对电子捕获检测器须除去载气中负电性较强的杂质,以利于提高检测器的灵敏度。用分子量小的气体作载气时可用较高的线速,这时柱效下降不大,却可以缩短分析时间,因为分子量小的气体粘度小,柱压增加不大,并且在高线速时可减小气相传质阻力。用氢气作载气时,在填充柱和开管柱中的流速可分别选用35和2毫升/分左右。

固定相

一般来说,宜按“相似性”原则选择固定液;分析非极性样品时用非极性固定液;分析强极性样品时用极性强的固定液(表4)。把固定液涂敷于开管柱的内壁,或涂渍在载体上制成填充柱的固定相,均勿太厚。开管柱的df宜为0.2~0.4微米,填充柱的固定液含量宜为3%~10%。载体颗粒约为柱径的0.1,即80~100目较好。这样,组分在液相中传质快,载体粒度较小而又未增大填充不均匀性,有利于在较低的温度下分析高沸点组分及缩短分析时间。

图 操作温度

进样室的温度应根据进样方法和样品而定。气化方式进样时,气化温度既要使组分能充分气化,又不会分解(裂解进样除外)。检测室的温度以稍高于柱温为好,可避免组分冷凝或产生其他问题。色谱柱温的确定要作综合考虑,即要照顾到固定相的使用温度范围、分析时间长短、便于定性和定量测定等因素。最好能在恒温下操作,沸程很宽的样品才采用程序升温操作。满意的操作温度须由实验求得。

样品预处理

欲分析的化合物常用化学反应的方法转变成另一种化合物,这称为衍生物的制备。然后再对衍生物进行色谱分析。预处理的好处是:

(1)许多化合物挥发性过低或过高,极性很小或热稳定性差,不能或不适于直接取样注入色谱分析仪进行分析,其衍生物则可以很方便地进入色谱仪;

(2)一些难于分离的组分,转化成衍生物就便于分离和进行定性分析;

(3)用选择性检测器检测可获得高灵敏度的衍生物;

(4)样品中有些杂质因不能成为衍生物而被除去。

气相色谱法最常用的化学衍生物法有硅烷化反应法、酰化反应法和酯化反应法(有重氮甲烷法、三氟化硼催化法和季硼盐分解法等)。在制备化学衍生物时要特别仔细,否则会带来严重的错误。

定性和定量分析

从色谱图可以看到,色谱峰是组分在色谱柱运行的结果,它是判断组分是什么物质及其含量的依据,色谱法就是依据色谱峰的移动速度和大小来取得组分的定性和定量分析结果的。

定性分析

在给定的条件下,表示组分在色谱柱内移动速度的调整保留时间是判断组分是什么物质的指标,即某组分在给定条件下的t惱值必定是某一数值(图 1)。为了尽量免除载气流速、柱长、固定液用量等操作条件的改变对使用t惱值作定性分析指标时产生的不方便,可进一步用组分相对保留值α或组分的保留指数来进行定性分析。计算组分 i在给定的柱温和固定相时的保留指数Ii的公式为:

公式 符号

式中nn+1是紧靠在组分i前后流出的正构烷烃的碳原子数,公式 符号 是这两个正构烷烃的调整保留时间。

将样品进行色谱分析后,按同样的实验条件用纯物质作实验,或者查阅文献,把两者所得的定性指标(α值、t惱值或I值)相比较,如果样品和纯物质都有定性指标数值一致的色谱峰,则此样品中有此物质。

由于只能说相同物质具有相同保留值的色谱峰,而不能说相同保留值的色谱峰都是一种物质,所以为了更好地对色谱峰进行定性分析,还常采用其他手段来直接定性,例如采用气相色谱和质谱或光谱联用,使用选择性的色谱检测器,用化学试剂检测和利用化学反应等。

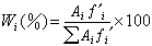
定量分析

色谱峰的大小由峰的高度或峰的面积确定。可用手工的方法测量峰高,和以峰高h与峰高一半处的峰宽ω┩的乘积表示峰面积。A=hω┩。新型的色谱仪都有积分仪或微处理机给出更精确的色谱峰高或面积。应该注意,组分进入检测器产生的相应的色谱信号大小(峰高或峰面积)随所用检测器类别和载气的不同而异,有时甚至受到物质浓度和仪器结构的影响。所以须将所得的色谱信号予以校正,才能与组分的量一致,即需要用下式校正组分的重量:

WfA式中f′为该组分的定量校正因子。依上式从色谱峰面积(或峰高)可得到相应组分的重量,进一步用下述方法之一计算出组分i在样品中的含量Wi

(1)归一化法,将组分的色谱峰面积乘以各自的定量校正因子,然后按下式计算:

公式 符号

此法的优点是方法简便,进样量与载气流速的影响不大;缺点是样品中的组分必须在色谱图中都能给出各自的峰面积,还必须知道各组分的校正因子。

(2)内标法,向样品中加入被称为内标物的某物质后,进行色谱分析,然后用它对组分进行定量分析。例如称取样品Wm克,将内标物Wφ克加入其中,进行色谱分析后,得到欲测定的组分与内标物的色谱峰面积分别为AiAφ,则可导出:

公式 符号

此方法没有归一化法的缺点,不足之处是要求准确称取样品和内标物的重量,选择合适的内标物。

(3)外标法,在进样量、色谱仪器和操作等分析条件严格固定不变的情况下,先用组分含量不同的纯样等量进样,进行色谱分析,求得含量与色谱峰面积的关系,用下式进行计算:

公式 符号

式中k媴是组分 i单位峰面积百分含量校正值。此法适用于工厂控制分析,特别是气体分析;缺点是难以做到进样量固定和操作条件稳定。

优缺点

优点为:

(1)分离效率高,分析速度快,例如可将汽油样品在两小时内分离出200多个色谱峰,一般的样品分析可在20分种内完成。

(2)样品用量少和检测灵敏度高,例如气体样品用量为 1毫升,液体样品用量为0.1微升,固体样品用量为几微克。用适当的检测器能检测出含量在百万分之十几至十亿分之几的杂质。

(3)选择性好,可分离、分析恒沸混合物,沸点相近的物质,某些同位素,顺式与反式异构体,邻、间、对位异构体,旋光异构体等。

(4)应用范围广,虽然主要用于分析各种气体和易挥发的有机物质,但在一定的条件下,也可以分析高沸点物质和固体样品。应用的主要领域有石油工业、环境保护、临床化学、药物学、食品工业等。

气相色谱法的缺点为在对组分直接进行定性分析时,必须用已知物或已知数据与相应的色谱峰进行对比,或与其他方法(如质谱、光谱)联用,才能获得直接肯定的结果。在定量分析时,常需要用已知物纯样品对检测后输出的信号进行校正。

展望

今后气相色谱法还将有很大的发展,耐高温的极性高效开管柱和选择性好、灵敏度高的检测器的研制,色谱定性和定量分析规律的研究,微处理机进一步的应用,生物学、医学、环境保护等方面新的分析方法都是很活跃的研究课题。智能气相色谱法的研究也是今后发展的方向。