[拼音]:zhangluo
[外文]:fluctuation
大数量粒子的一种统计平均性行为。涨落分两种:一种是由于物质不连续性引起的、作为统计平均值的宏观量在平均值附近围绕平均值的涨落;另一种是由于作热运动的大量媒质分子对宏观小物体的无规则碰撞,导致小物体随机运动引起的涨落。这种涨落以布朗运动为代表,所以又叫布朗运动。
围绕平均值的涨落
宏观热力学理论忽视物质的原子结构,把物质作为连续体处理,因而不能解释涨落现象,对此需用统计方法来研究。统计物理学方法的要点是在一定宏观条件下,采用一个适当的系综分布函数求某物理量的平均值。理论上的平均值只代表对大量微观运动状态的平均结果,对某物理量的某一次观测值并不一定等于它的平均值。因此,在物理量的观测值上会出现涨落。若系统所包含的粒子数很多,则宏观量观测值的涨落相对于平均值很小,往往可以完全忽略;若系统很小,涨落就会比较显著,当观测手段很精确,仪器很灵敏,涨落就可被观测到;当系统处于临界状态时,某些物理量会发生很显著的涨落。
研究物理量围绕平均值的涨落时,主要运用爱因斯坦分布公式,它描述物理量对其平均值偏离的几率分布。
当系统和它的媒质处于平衡状态,在它们组成的大孤立系统中,系统的参量落在间隔
…,m)的几率是
式中S(A1,A2,…,Am)是当系统m个参量分别为A1、A2、…、Am时大孤立系统的熵,k是玻耳兹曼常数。
只有能量涨落的情形根据爱因斯坦公式,系统的能量在E到E+dE间隔内的几率是
式中S(E)是系统的能量为E时大孤立系统的熵,常数可由归一化条件确定。由上式可以导出能量对其平均值的偏离ΔE=E-唕的几率分布公式
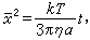
式中T、CV分别是系统的热力学温度和定容热容。能量的均方涨落为
对于平衡的理想气体系统,内能唕=CVT,则能量的相对涨落是
可见,能量的相对涨落同粒子数的二次方根成反比。
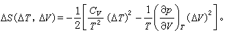
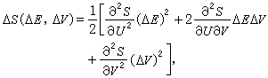
同时有两个热力学量涨落的情形以ΔE 和ΔV表示系统的能量和体积对其平均值的偏离,根据爱因斯坦公式,系统的能量、体积对其平均值的偏离的几率分布为
式中S(ΔE,ΔV)是在发生涨落时,大孤立系统的熵变。如果ΔE=ΔV=0,则S取极大值。
用变数变换可以把熵变作为内能(即唕)U、体积 V和压强p的热力学关系
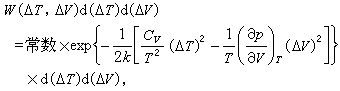
变成温度T和体积V对于其平均值偏离函数的二次方和的形式
温度和体积偏离的几率分布是
式中常数由归一化条件确定。由ΔS(ΔE, ΔV)式可看出,式中出现 ΔEΔV 这样的交叉项,其平均值不等于零,因而能量和体积的涨落不是彼此独立的。但温度和体积的涨落却是彼此独立,它们的交叉平均值等于零,因而温度和体积的均方涨落分别为
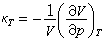
式中
是等温压缩系数。如果作另一种变换,则可得出熵同压强的涨落是彼此独立的结论。它们的均方涨落是
式中Cp是定压热容,
是绝热压缩系数。
若同时考虑能量和粒子数涨落的情形,则可看出这两个量的涨落不是彼此独立的,并可求得常用的粒子数均方涨落公式
利用热力学关系,上式又可写作
。
可见,系统的体积愈小,压缩系数愈大,粒子数或体积的涨落就愈大。对于一给定体积的理想气体系统,利用上式,容易求得粒子数的相对涨落为
由此式和能量相对涨落公式看出,系统的粒子数愈多,涨落愈小,反之,涨落就愈大。
量子气体宏观参量的涨落应用粒子数的涨落公式,可以算出理想的玻色子系统和费密子系统粒子按不同量子态分布的涨落。考虑处于第j 个量子态的n j个粒子的集合,由于这一组粒子与气体中其余粒子是完全统计独立的,于是,把粒子数相对涨落公式用于这组粒子,可得到
式中嬞j是处于第j个量子态的平均粒子数
式中“+”号对应于费密理想气体,“-”号对应于玻色理想气体。显然,对于玻耳兹曼气体,由于
,则有
上式正是在嬞j
1时,第j个量子态平均粒子数所趋向的结果。
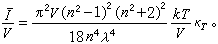
如果体积的偏离ΔV很小,则由体积均方涨落公式可以导出质量密度ρ 的相对均方涨落为
。由于媒质分子热运动引起的这种密度涨落导致入射到介质的小体元上的光受到散射,叫做瑞利散射。瑞利证明:当波长为 λ、通过单位面积的强度为1的光射到体积比λ3小、折射率为n的媒质上时,单位媒质在垂直于入射光方向单位立体角内散射的光强度为
式中 Δn 是分子密度的涨落引起的折射率的偏离。按照洛伦兹的折射公式
,可使上式变形为
它表明:压缩率愈大、波长愈短,散射就愈强。而蓝波波长比红、黄波的都短,所以天空呈现蓝色(见光的散射)。
布朗运动
布朗运动是一种涨落现象。悬浮在液体中的布朗粒子由于受到周围媒质分子不平衡碰撞而作连续的激烈的不规则运动。A.爱因斯坦揭示了布朗粒子的扩散系数D和它的迁移率μ之间的关系
D=μ k T,
式中T是热力学温度,k是玻耳兹曼常数。这个简单的关系是涨落耗散定理最原始的形式。1908年J.B.佩兰完成了定量观测布朗运动的实验工作。这样,布朗运动的性质及其解释就完全清楚了。
朗之万方法传统上研究这种涨落的主要途径。只讨论布朗粒子运动在水平方向的投影,若没有其他外力存在,它的运动遵从朗之万方程
式中
,η是流体的粘滞系数,ɑ是布朗粒子的半径,
F(t)是一种涨落很快,引起粒子在x方向作无规运动的分力。对大数布朗粒子进行平均,并利用统计物理学中的正则分布,即可求出方程的解。设t=0时,x=0,由于β的数值很大,则在很短的时间(如10-6秒后),布朗粒子的均方位移为
这个结果同实验符合得很好。
与 t而不是 t2成正比,反映了粒子的运动是典型的无规过程的例子。这说明布朗运动不是单纯的机械运动。
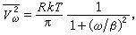
布朗运动所显现出来的涨落现象极其普遍,它不限于微粒子的运动。例如在电流计或其他仪器中,用细丝悬挂的反射镜由于受到周围气体分子的撞击,在不平衡的力矩作用下作不规则的扭摆运动,应用正则分布可导出
,
式中B是弹性系数,θ是转动的角度。反射镜的布朗运动这类涨落现象的存在,使测量仪器的灵敏度受到限制而不能超过某一限度。
电路中的涨落电路中存在着涨落现象,例如电流、电压的涨落,通过线路的放大,引起噪声。从噪声的来源说,有两种效应:一种是W.H.肖脱基在1918年发现的散粒效应,它是由于真空管阴极发射电子的无规则性引起的;另一种是J.B.江孙在1928年发现的,它是由于导体内电子的热运动引起的。运用傅里叶分析研究布朗运动这类涨落现象,可获得具体的结果。
导体中电子不断地作无规则的热运动,有外电场存在时,在平均电流的背景上,还有一部分涨落电流,它使电信号中产生噪声。容易得到频率为 ω、单位频率间隔内电压的均方涨落是
式中系数β为
,l是导体长度,R 是电路中的电阻,N是总电子数,e和m是电子的电荷和质量。
上式表明:
(1)热涨落引起的电压涨落对低频区的贡献同频率无关,而同电阻、温度成正比;
(2)热涨落引起的电压涨落对高频区的贡献同电阻的三次方成正比,同频率的二次方成反比。由于电阻本身也同温度有关,所以噪声对温度的依赖性非常强,要减少噪声,就得降低电路本身的温度。
对于含有电阻R及电感L的电路(称为R L电路),设涨落电动势为
(t),则也同样可以得到

。
和
分别是频率为ω、单位频率间隔内电动势和电流的均方涨落。可见
是一与频率无关的常数。
从对布朗运动的研究,可以引入时间相关函数,以研究系统的随时间变化的物理量在时间上的关联。布朗运动理论在其他领域如原子核反应、中子散射、化学反应等过程的研究中都有重要应用。