烃分子中一个或几个氢被羟基取代而生成的一类有机化合物。芳香烃的环上的氢被羟基取代而生成的化合物不属醇类而属酚类。

存在

自然界有许多种醇,在发酵液中有乙醇及其同系列的其他醇。植物香精油中有多种萜醇和芳香醇,它们以游离状态或以酯、缩醛的形式存在。还有许多醇以酯的形式存在于动植物油、脂、蜡中。多数天然的醇可人工合成。

分类

根据所含羟基的多少,可分为一元、二元、三元或多元醇。一个碳原子上一般不能含有两个羟基,同碳二醇是不稳定的,容易失水形成羰基化合物。醇也可依照连接羟基的碳原子上氢的数目分为一级醇─CH2OH、公式 符号

命名

一般采用三种方法。

(1)普通命名法,即将醇看作是由烃基和羟基两部分组成,羟基部分以醇字表示,烃基部分去掉基字,与醇字合在一起,则为醇的名称。例如,正丁醇(一级醇)CH3CH2CH2CH2OH、异丁醇(一级醇)(CH3)2CHCH2OH、二级丁醇(二级醇)CH3CH2CH(OH)CH3、三级丁醇 (三级醇)(CH3)3COH 、新戊醇 (一级醇)(CH3)3C─CH2OH。

(2)以醇的来源或特征命名,例如,木醇(即甲醇CH3OH)由干馏木材得到,香茅醇由还原香茅醛得到,橙花醇存在于橙花油中,甘醇(即乙二醇)HOCH2CH2OH因具有醇和甘油的特征而得名。

(3)系统命名法或称国际命名法,它规定:选择含羟基的最长碳链,按其所含碳原子数称为某醇,并从靠近羟基的一端开始,依次给主链的碳原子编号。写出全名时,将羟基所在碳原子的编号写在某醇的前边,用短横隔开。侧链的位置编号和名称写在醇的前面,并分别用短横隔开。例如:

公式 符号

含有羟基的多官能团化合物命名时,羟基看作取代基,而不以醇命名。例如:

公式 符号

物理性质

一般醇为无色液体或固体,含碳原子数低于12的一元正碳醇在室温是液体,碳原子数是12或更多的在室温是固体。多元醇(如甘油)是糖浆状物质。所有一元醇均溶于有机溶剂,三个碳以下的醇可溶于水。随着分子量的增加,醇在水中的溶解度减少。相反,随着羟基的增加,在水中的溶解度增加而在醇或醚中的溶解度减少,而熔点和沸点升高,密度和粘度增大,低级醇的熔点和沸点比同碳原子数的烃的熔点和沸点高得多。这是由于醇分子中有氢键存在,发生缔合作用。一些醇的物理常数见表。

图

化学性质

醇是一类活泼的化合物,分子中的碳-氧键(C-O)和氢-氧键(O-H)皆为极性键(见化学键),其偶极矩都指向氧原子,如下式表示:

公式 符号

故醇以羟基为中心可进行羟基的氢-氧键断裂和碳-氧键断裂两大类反应。其中有代表性的列举如下:

(1)与碱金属作用生成醇盐和氢气:2CH3CH2OH+2Na─→2CH3CH2ONa+H2

(2)与羧酸反应生成酯:CH3COOH+CH3CH2OH公式 符号CH3COOC2H5+H2O

(3)与氢卤酸(HCi、HBr、HI)反应生成卤代烃:ROH+HX─→RX+H2O

(4)醇失水生成烯烃或醚:

公式 符号

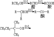
另外,与羟基相连的碳原子容易被氧化,生成醛、酮或酸,例如:

公式 符号

制法

发酵法

通过微生物进行的一种生物化学法。中国用甘薯、马铃薯及其他含淀粉的物质作原料,在黑曲霉作用下进行糖化,然后加入酵母发酵,把糖变成酒和二氧化碳。用不同的微生物结果也不同,如改用丙酮丁醇核菌作用发酵,产物则含有60%正丁醇,30%丙酮和10%乙醇。

化学合成法

在工业上有价值的有:

(1)还原法 如甲醇由合成气(一氧化碳和氢)制得:

公式 符号

(2)水合法 在酸性催化剂存在下,低分子的不饱和烃与水反应可得到相应的醇。这个方法通常用来生产乙醇和异丙醇(见丙醇):

公式 符号

在电力便宜的地方,可由乙炔得乙醛,再还原成乙醇。

(3)氧化合成法 在高压高温下用钴作催化剂将不饱和烃与合成气进行反应:

公式 符号

缩合反应

有些高级醇是由醛(见醛和酮)用碱性催化剂进行醇醛缩合而得,如:

公式 符号

脂肪和油的还原

用作洗涤剂的许多高级醇是由动物脂肪和植物油经催化氢化反应和金属还原作用而得。

乙二醇或1,2-丙二醇是最主要的多元醇之一,它们可分别从乙烯或丙烯氧化,经环氧化物处理后生成:

公式 符号

应用

低分子的醇常用作溶剂、抗冻剂萃取剂等;高级醇如正十六醇可以用作消泡剂,还可作水库的蒸发阻滞剂。醇不仅本身可以直接使用,而且是合成工业中的中间体。醇可氧化成醛、酮、酸。醇经过分子间的失水生成醚。醇与羧酸作用可以生成酯。其羟基被卤素取代后制得卤代烷,进一步反应可生成胺和腈。醇可制得不同类型的有机化合物,是一类极重要的化工原料。

参考文章