[拼音]:yijie pianweifen fangcheng
[外文]:first order partial differential equation
最简单的一类偏微分方程。一个未知函数u(x)=u(x1,x2,…, xn)所适合的一组一阶偏微分方程即
, (1)
式中
(Rn之开集),u是实值函数,
。适合(1)的函数u称为其解。
单个拟线性方程
(2)
是式(1)的重要特例。解u=u(x)定义了D×R中一个曲面,称为(1)的积分曲面,
是其上一点(x,u)处的法线方向数,(α1,α2,…,αn,b))则定义一个方向场,称为特征方向场。式(2)表明积分曲面在其各点上均与该方向场相切。特征方向场的积分曲线,称为(2)的特征曲线。它们是常微分方程组(特征方程)
(3)
的积分曲线。由上所述,可见式(2)的积分曲面是由式(3)的积分曲线织成的。反之,若一曲面u=u(x)是由(3)之积分曲线织成的,则必为式(2)的积分曲面。因此式(3)的讨论对研究偏微分方程(2)有特别的重要意义。
式(2)的定解问题中,最重要的是柯西问题,即在U中给定一个n-1维子流形 у及其上的函数φ(x),要求式(2)的解u=u(x)满足以下的附加条件(初始条件):
。 (4)
从几何上看,集
是U×R中一个给定的n-1维子流形,而条件(4)即要求积分曲线(它是U×R中的一个n维子流形)通过Γ。
柯西问题的解的局部存在的条件从几何上看是很清楚的:若在(x0, u0)∈Γ附近
,则在该点附近特征向量场微分同胚于平行向量场,特征曲线族则微分同胚于平行直线族。如果Γ在(x0,u0)附近横截(即不平行)于该平行直线族,就可以以Γ为底,以该平行直线为“母线”作一“柱面”。它就是所求的积分曲面,亦即柯西问题的解。
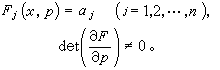
对一般的单个一阶非线性偏微分方程
, (5)
则应以
代替上述的U×R。对于积分曲面u=u(x),它在(x,u(x))处的法线方向由
所确定,因此(x,u,p)决定了一个过(x,u)的以
为法线的超平面,即过该点的积分曲面的切超平面。于是,在U×R中来看,{(x, u,p)}给出一个超平面场,每一个这样的超平面称为过(x, u)的接触元素。对于给定的(x, u),适合方程(5)的p不是惟一的,从而有一个接触元素族。它们的包络是一个以(x, u)为顶点的锥,称为蒙日锥。方程(5)的积分曲面在各点均切于过该点的蒙日锥。
对于拟线性方程(2),蒙日锥蜕化为过(x,u)的以
为方向的轴。
积分曲面既切于蒙日锥,则必沿某一母线切于它。这条母线的方向给出了积分曲面上的一个方向场。对于方程(2)来看,它就是特征方向场。所以在一般的非线性方程(5),也称它为特征方向场,其积分曲线也称为方程(5)的特征曲线。积分曲面仍由特征曲线织成。
但是,与方程(2)也有所不同,即现在必须在U×R×Rn中来考虑特征方向场,从而可以得到如下的常微分方程组
, (6)
(7)
(8)
解出这个方程组将得到一个特征带,它在U×R中的投影则称为方程(5)的特征曲线。特征带是一个在 U×R×Rn中的概念。
解柯西问题的特征线法在解柯西问题(4)时,将у写成参数形式
(9)
(10)
然而,以它为初始条件还不能解出特征带的方程组,还需要有pj所适合的初始条件。
对于拟线性方程(2),以(9)、(10)为初始条件解特征方程组(3),可得
(11)
(12)
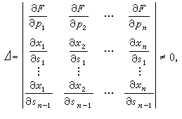
令
若在t=0时,即在у上,Δ|t=0≠0,则可以在|t|充分小时即在у附近由(11)解出
为 (x1,x2,…, xn)的函数,代入(12)即得柯西问题的解。
在以上讨论中,条件
(13)
极为重要。它在几何上表示特征线横截于Γ。没有这种横截性,一般说来特征曲线不能织成积分曲面,然而若仍可能有解,那么解称为奇异解。条件(13)称为特征条件。
对于非线性偏微分方程(5),需要解出特征带的方程组(6)、(7)、(8)。这时需要 pj所适合的初始条件。很容易看到,在t=0时,pj应适合以下条件
, (14)
。 (15)
(14)、(15)共有n个方程,它们称为带条件。为了能从其中解出pj,又需要在t=0时
(16)
在方程(2)的特例下,它就是式(13)。所以式(16)也称为特征条件。
若带条件和特征条件得以满足,就将得出在 t=0时xj、u和pj所适合的初始条件。于是可以得到
, (17)
, (18)
, (19)
利用特征条件,可以从式(17)中解出
为(x1,x2,…,xn)的函数,代入式(18)即得u=u(x)为柯西问题的解。代入式(19)得pj=pj(x),可以证明恰好有
。
求解柯西问题(5)、(4)的另一方法,是求(5)的含有n个参数α=( α1, α2,…, αn)的解u=u(x,α)。它称为(5)的完全积分。
将(4)所定义的子流形Γ局部地表为
。
再取α=α(s)使u=u(x,α(s))经过(x(s),u(s))而且在该点切于Γ,即有
这一族解的包络仍是(5)的积分曲面,而且通过Γ,亦即所求柯西问题的解。于是,将问题归结为求(5)的含n-1个参数s=(s1,s2,…,sn-1)的解u(x,α(s)),它称为(5)的通积分。
若将完全积分对n个α求包络,即由
中消去α,还可得到方程(5)的另一种解,称为奇异积分。
于是问题归结为如何求完全积分。为此考虑一个与之相关的问题:求函数u=u(x)使之满足一组偏微分方程
(20)
因为方程个数超过未知数个数,故(20)称为超定方程组。超定方程组有解,需有一定条件称为可积性条件。对于(20),可积性条件为
(21)
(Fj, Fj)称为泊松括号。若一个方程组适合(21),则称之为对合方程组。
方程(5)可以化为不显含u的情形。因为若将u=u(x)写为隐函数v(x,u)=с,而以v为新的未知函数,则(5)成为
。若视u为自变量则未知函数v不显现。因此可以限于求解以下形式的方程
(22)
对(22)补充以n-1个新的方程
(23)
式中αj为参数。可以适当取F2,F3,…,Fn使(22)、(23)成为对合方程组。再从(22)、(23)中解出:
(其中含常数α2,α3,…,αn),即可得(5)的含有n个常数的解(即完全积分)
以上方法称为拉格朗日-查皮特方法。
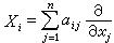
普法夫方程组、费罗贝尼乌斯条件在 U嶅Rn中若给定了一个充分光滑的向量场,则过U之每一点必有其惟一的积分曲线。若给定r(1<r<n)个光滑向量场,则不一定经过每一点都有 r维子流形使得在其各点上均与这些向量场相切(也不一定能找到 n-1维子流形使得在其各点上均与这些向量场相切)。若有这样的 r维子流形存在,就说这些向量场可积,该流形称为其积分流形。
求积分流形发生障碍的几何原因,可由下例看出。设在R3中给出一个平面场(相当于两个向量场),作柱面如图
,则该平面场在柱面上决定一个向量场。若原平面场可积而有积分曲面存在,则积分曲面与柱面相截将给出柱面上的向量场的封闭积分曲线。但是柱面上的向量场不一定有封闭的积分曲面存在。
上述问题稍加改述:求一个超曲面u=u(x)(而不只是r维子流形)与r个向量场相切,即
, (24)
这是一个超定方程组。前述拉格朗日-查皮特方法中已遇到这种问题。
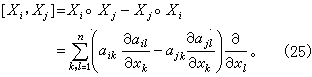
式(24)规定出 r个一阶偏微分算子(亦即向量场)
。它们的交换子仍是一阶偏微分算子:
弗罗贝尼乌斯定理指出:超定方程组(24)可积的充分必要条件是存在函数
使得
满足式(25)的向量场x1,x2,…,xr称为对合的。
一阶偏微分方程的几何理论有悠久的历史渊源,以后经过É.(-J.)嘉当等人的发展,在几何学、力学和物理学中都有重大的意义。