[拼音]:jubenbingmizuo
[外文]:polybenzimidazoles
主链含有重复的苯并咪唑环的聚合物。英文缩写为PBI。1961年C.S.马维尔和 H.沃格尔首先报道了全芳族聚苯并咪唑的研究。美国杜邦公司首先开发、制成纤维。其发展速度在各种杂环高分子中,仅次于聚酰亚胺。
性质聚烷基苯并咪唑的密度约1.2克/厘米3,玻璃化温度234~275℃;全芳族聚苯并咪唑密度1.3~1.4克/厘米3,玻璃化温度比聚烷基苯并咪唑高100~250℃。PBI的特点是瞬时耐高温性优良,在538℃尚不分解。它的预聚体能溶于二甲基甲酰胺、六亚甲基磷酰胺、甲酸等极性溶剂中,但一旦在400℃处理到固化完全后,分子量增大,溶解度降低,就成为不溶、不熔的树脂。
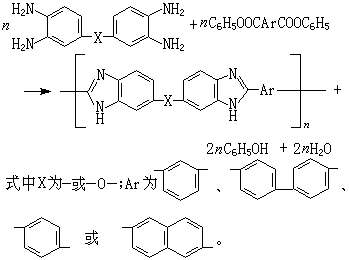
聚合PBI可由芳族四胺和脂族或芳族二羧酸酯或其衍生物缩合聚合制得:
应用
PBI是第一个被考虑用作耐高温结构胶粘剂的,因为它对不锈钢和钛合金的粘合强度在 537℃为98千克力/厘米2。PBI能纺织成优质的纤维,其玻璃纤维增强塑料可耐300℃高温,不自燃。PBI还可制成泡沫塑料、薄膜等,也可用作烧蚀材料。