[拼音]:jiechu wenti
[外文]:contact problem
弹性力学中研究的两接触物体受压力后产生局部应力和变形的问题的统称。轴承、凸轮机构、齿轮、硬度计、轧钢机的轧辊、桥梁支座和刚性压头等在使用中都有接触问题。接触问题曾是应用数学力学家面临的一大难题。在过去一百多年的研究中,产生了一系列有效的数学方法。
材料在接触区的变形受到各个方面的限制,因而处于三向应力状态。接触应力具有明显的局部性质,而且总是随着离开接触区距离的增大而迅速衰减。一般在接触表面中心的压应力最大。
德国的H.R.赫兹于1881年用数学弹性力学方法导出了接触问题的一个公式。他随后所作的实验表明,理论计算值与实测值相差不到1%。 在推导公式中他作了如 下假设:
(1)接触区应力不超过弹性极限(见材料的力学性能);
(2)接触面尺寸和物体接触点的曲率半径相比甚小,可将接触点附近物体近似地看作是二次抛物面;
(3)沿接触面分布的压力垂直于接触面。
如果不考虑出现在接触体之间的摩擦力,接触问题就可大为简化。在计算机械零件所遇到的接触问题中,有很多场合可略去摩擦力。在互相接触的零件之间加一层油膜,摩擦力就可明显下降;如果一个零件对另一零件运动的速度不太大,则可忽略流体的动力效应。
解决接触问题所依据的基本关系如下:
(1)变形方面,原为点接触的物体,受力后接触表面为椭圆形(一般情况)或圆形(特殊情况,例如两个球接触);原为线接触的物体,受力后接触表面为矩形。此外,两接触物体的变形符合变形连续条件。
(2)物理方面,材料处于弹性阶段,且接触表面上的压应力和接触物体的应变呈线性关系。
(3)静力平衡方面,根据接触表面压应力分布规律求得的合力应等于外载荷。
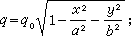
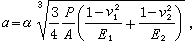
根据上述基本关系可推导出各种接触问题的公式,最一般的情况为两个物体作点接触。设 R1、R姈为物体1在接触点的两个主曲率半径;R2、R娦为物体 2在接触点的两个主曲率半径;嗞为 R1、R2两曲率半径所在平面间的夹角;P为外载荷。在这种情况下,接触面为椭圆,其半长轴为:
半短轴为:
在椭圆中心处的压应力q0为最大值,即
接触面上的压力分布为:
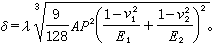
两物体中心移动距离δ为:
以上各式中 E1和 ν1分别为物体 1的弹性模量和泊松比;E2和ν2分别为物体2的弹性模量和泊松比;参量A为:
x、y分别为沿接触椭圆的长轴和短轴的坐标;α、β、λ为系数,在引进
和
后,它们的值可以根据算出的θ值由下表查出:
接触应力同载荷呈非线性关系是接触应力的重要特征之一,计算表明,最大接触压应力同载荷的立方根(或平方根)成正比,这是因为随着载荷的增加,接触面积也增大,其结果使接触面上的最大压应力的增长比载荷的增长慢。接触应力的另一特征是应力与材料的弹性模量和泊松比有关,这是因为接触面积的大小与接触物体的弹性变形有关。
影响接触应力的因素很多,其中主要的有:
(1)残余应力(由于接触点附近应力很大,有时会进入塑性状态而引起残余应力);
(2)热应力(两接触面相对滑动时摩擦会引起热应力);
(3)润滑,它影响热应力及切向载荷,还可能产生动压油膜而影响接触应力的大小及分布;
(4)接触面的几何形状偏差等。
在静载荷或缓慢移动载荷作用下,材料的接触强度(即抵抗接触载荷的能力)取决于表层材料的塑性变形。载荷缓慢移动要比完全静止更为有利,这是因为载荷完全静止不动时,会在较软的物体上压出凹坑,而缓慢移动只使较软的物体表面产生均匀的塑性变形,因而一般不改变物体的宏观几何形状。
目前,在解决弹性体接触问题方面已采用有限元法,通过它可计算各种形状、材料和载荷下的接触问题,并且所得的结果精度较高。系统研究接触问题,还须用复变函数和积分变换等数学工具。