[拼音]:dicichang gaosi lilun
[外文]:Gauss theory of geomagnetic field
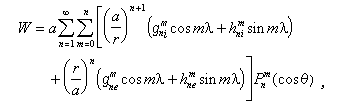
表述地磁场的一种数学理论。1839年,C.F.高斯把球谐函数分析方法应用于地磁场,得出了地磁场的数学表达形式,奠定了地磁学的数理基础。
式中r是径向距离;α是地球半径;λ是经度,θ是余纬;g嬙和h嬙是内源场的高斯系数;g嚰和h嚰是外源场的高斯系数;P嬘(cosθ)是施密特形式的缔合勒让德函数,它与一般的缔合勒让德函数Pn,m(cosθ)的关系为:
,
,
其中
,
而Pn(cosθ)是勒让德函数。
由磁势与磁场的关系可以得到地磁场的北向强度 X、东向强度Y 和垂直强度Z 的表达式:

当取r=α时,即为地面上磁场强度的表达式。
由球谐函数的正交性有:
这样,由垂直强度的表达式和正交性,可以得到
由地磁场的北向强度和东向强度可得到类似的公式。因此,如已知Z和X、Y的地面分布的实测值,就可按上述公式求出各阶高斯系数,并把内外源场分开。在确定某一阶高斯系数时,同其他阶高斯系数是否已经求出无关,即各阶高斯系数之间是互相独立的。若取高斯级数至 n阶,则共有2n(n+2)个高斯系数,需要2n(n+2)个独立方程来求解。实际上由得到的地面观测资料建立的方程远大于这一数目,这就可以运用最小二乘准则求解,使系数的精度得以保证。
确定高斯系数的实际计算是根据磁场强度X、Y和 Z的表达式,利用观测资料求解g嬘和h嬘的线性代数方程组。但必须有足够的测点,且测点的位置在全球有均匀合理的分布,才能近似满足球谐函数的正交性,以保证各阶高斯系数的独立性。实际结果表明,级数的收敛是迅速的,n=1的项约占90%,这就保证高斯理论能够应用于地磁场的实际分析工作。
高斯分析的结果表明,地面地磁场的绝大部分来源于地球内部,外源磁场只占千分之几。高斯分析的理论意义就在于,除了给出地磁场的严格数学表述外,还从理论上证明了地磁场主要来源于地球内部这一多年来的假设。
自高斯理论提出后,许多学者利用各种类型的地磁资料和处理方法作球谐分析,计算了相应的高斯系数。但过去这方面的工作缺乏国际间的合作,各方面的分析结果有明显的差异。为了客观地反映全球地磁场的基本特点,1964年世界地磁测量会议强调指出,国际上应采用统一的国际地磁参考场(IGRF)。国际地磁学和高空大气学协会(IAGA)除成立世界地磁测量 (WMS)的国际合作机构以协调各国地磁测量任务外,还于1968年召开专门会议,通过了1965.0年的国际地磁参考场。这个国际地磁参考场给出了直到n=8的共80个高斯系数(G囓)。 同时给出了各高斯系数的年变率。它的有效使用期为1965.0~1975.0年,各年代的高斯系数的计算公式为:
,
t0为1965.0年,G嬘为高斯系数的年变率。在1975年举行的国际大地测量学和地球物理学联合会(IUGG)上,IAGA通过了国际地磁参考场新的模式,它也取n=8共80个高斯系数和相应的年变率,其有效使用期为1975.0~1980.0年。1981年的IAGA会议上提出了1980.0年的地磁场模型。但国际地磁参考场目前尚未起到统一的作用,一些国家还各自给出并使用自己的全球地磁场模型。现在有关的国际机构正从理论和数据处理方法上努力探索新的途径,以致力于完善并真正统一这些模型。
高斯级数n=1项相当于地心偶极子磁场,剩余的部分称为非偶极子磁场。在非偶极子磁场中,n=2和n=3的项也占主要部分。从各年代的高斯系数中还可了解到地磁场长期变化的情况。
- 参考书目
- S.Chapman and J.Bartels,Geomagnetism, OxfordUniv.Press,London,1940.