单分子反应理论

单分子反应主要指气相中单一反应物分子的离解和异构化反应。早期的实验测得这类反应在气体压力较高时属一级反应,而当压力降到很低时转变为二级反应。为了解释上述实验结果和探讨单分子反应所需能量的由来,发展了单分子反应理论

林德曼-欣谢尔伍德理论

1922年F.A.林德曼首先提出了以碰撞激发为基础的单分子反应的简单模型:

公式 符号

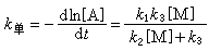
式中A*为由A分子与其他分子M碰撞而获得的一小部分振动激活分子,它要经过一定的时间滞后再发生分解,在此期间它也可以通过碰撞失去多余的能量而回复到 A。由稳态近似处理A*的浓度可得下式:

公式 符号

式中k1k2k3反应速率常数。按单分子反应速率常数k单的定义可得:

公式 符号

压力较高时,k2[M]》k3公式 符号接近公式 符号,即与[M]无关而呈一级关系;压力降低至一定程度后,k2[M]《k3,则公式 符号接近 k1[M],呈二级关系。由此可定性地解释上述的实验事实。

但是林德曼对碰撞激发速率常数k1的计算只考虑分子的平动能大于反应阈能E0,而忽略了分子内能(振动和转动能)的影响。后来C.N.欣谢尔伍德提出了单分子反应的微观理论,认为分子激发所需的能量除了碰撞之外,部分地来自分子的自由度。因此,分子中对激发有贡献的自由度数目s愈多,则其能量大于E0的几率也愈大。根据经典的能量按自由度分配的统计原理,可推导出:

公式 符号

式中Z1为A与M的碰撞频率;k为玻耳兹曼常数。

上述理论虽然能解释一些实验事实,但是却没有考虑到A*分解反应的k3也与A*的内能E*有关,以及在E*E0时的反应几率将与(E*-E0)值成正比。

RRKM理论

为了克服上述理论的缺陷,1928年前后,F.O.赖斯、H.C.拉姆斯佩格和L.S.卡塞尔分别提出了修正的单分子反应理论(RRK 理论)。他们接受了林德曼模型,假设分子是由 s偶合的经典谐振子所组成,而且能量在分子各自由度中重新分配的反应速率要比单分子反应速率高得多,反应阈能E0必须集中于分子的某一特定部位(如正则振动模)上才会引起反应,而在特定部位出现能量为E0 的几率与k3成正比,并由此可计算k3。后来,卡塞尔曾成功地将量子理论用于处理单分子反应。但RRK理论的缺点是对低能量时态密度的计算值过低,而且对s值的选取带有一定的任意性。

1951年R.A.马库斯和赖斯在 RRK理论的基础上引入了过渡态模型,进一步发展成为RRKM理论,该理论提出单分子反应的机理为:

公式 符号

式中ka(E*)为微观单分子反应速率常数;A*为过渡态。

在RRKM理论中有关各种能量(不考虑零点能和转动能)的关系如图所示,

图

其中E*是A*所具有的内能,E+E*-E0,即A*比A+过剩的能量,相当于A+中可用在活性模中交换的能量。Et是A+沿反应坐标的平动能,E慫=E+-E憑,E憑是A+的振动能。按RRKM理论推导出下列公式:

公式 符号

式中L为反应途径简并度;Q奙和Q1分别为A+和A的绝热转动配分函数h普朗克常数;N*(E*)为A*在能量E*处的量子态密度;公式 符号为 A+中振动能量小于或等于E+的振转量子态总数。

上式为RRKM理论中计算ka(E*)的重要公式,它主要取决于对N*(E*)和公式 符号的计算,为此需要知道A*和A+的结构和性质,E*E+和分子内能在各振转能级间的分配,以及一个振动自由度在A+中转变为沿反应坐标的平动能。

RRKM理论是比较成熟的单分子反应理论,已成功地应用于很多气体分子的热分解、异构化和激光引起的多光子解离等反应。但是该理论着重于统计理论的应用,而实际上单分子反应不仅受随机过程的支配,而且还应遵循动力学规律。近来已有不少关于非RRKM行为的单分子反应报道。

斯莱特理论

与RRKM理论相反,N.B.斯莱特用经典力学方法,由动力学角度将单分子反应与分子振动的理论联系起来,其中不涉及统计理论。斯莱特理论仍采用林德曼碰撞激发的简单模型,并假设进入反应的分子是一个具有不同振幅和相位的系综。但分子内能是不能在各正则模之间迅速转移的,只有当分子中某一特定的内坐标q 超过某临界值qc,例如某个键长超过其临界张量时,才能发生单分子反应。这里的反应速率ka不像RRKM理论中简单地被看作是总能量的函数,而是取决于能量在各正则模中的分配方式。但是,该理论的计算相当复杂,而且不少实验已经证明分子内能重新分配是很快的,因而假设分子在碰撞前各正则模中的能量固定不变是欠妥的。虽然斯莱特理论后来曾作了某些修正,但它的应用范围仍不如RRKM理论广泛。

参考书目
  1. P. J.Robinson and K. A. Holbrook, Unimolecular Reactions, John Wiley & Sons, New York,1972.