偶极子流

等强度源流和汇流的一种组合,其中点源和点汇无限接近并保持强度和距离的乘积等于一常数值。设O点和O┡点上分别有强度均为Q的点汇和点源(图1),

图

它们对空间中任一点P所感生的速度势ф为:

公式 符号

式中rr┡分别为OO┡到P的距离。令O┡趋于O,并要求Q·OO┡→m,得偶极子速度势的表达式:

公式 符号

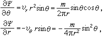
式中公式 符号为函数公式 符号L方向上的向导数;θLOP的夹角;m为偶极矩矢量,其大小为m,方向由汇到源,可见偶极子有方向性。从汇向源引出的直线是偶极子的轴线。取球坐标系,使方程中的θ和球坐标系中的坐标θ重合。根据轴对称性,存在着流函数Ψ,使

公式 符号

式中vrvθrθ方向的速度分量,积分之,得:

公式 符号

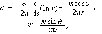
这里约定θ=0时Ψ=0。在柱坐标系中,偶极子的ф和Ψ的表达式为:

公式 符号

对平面偶极子进行完全类似的定义和讨论,可得ф和Ψ的表达式:

公式 符号

它的复变解析函数(即复位势)的表达式为:

公式 符号

式中公式 符号βOLx轴的夹角(图1)。偶极子流的流线族和等势线族如图2、图3所示,它们显然是正交的。在二维偶极子流中,流线是圆心在y轴上的圆,而等势线则为圆心在x轴上的圆(图2)。在三维偶极子流中,等势线和流线组成的正交曲线网和二维情形相似,但它们的形状已经不是圆了(图3)。

图 图2 图3 图

偶极子流是一种重要的基本流子,它和其他基本流子叠加在一起,可以得到一些很典型的流动。例如均匀流同一个方向与均匀流相反的平面偶极子叠加,得到均匀来流绕圆柱的流动;均匀流同一个方向与均匀流相反的三维偶极子叠加,则得均匀来流绕圆球的流动(图),其速度势ф的方程为:

公式 符号

式中V为均匀来流的速度;α为圆球半径;rθ为球极坐标。和三维点源一样,三维偶极子也可以连续地分布在曲线、曲面或体积内,使单位长度、单位面积或单位体积上的强度保持有限,从而为解决绕流问题提供另一类奇点组合。例如,沿圆周均匀分布偶极子强度,使偶极子轴线与圆周所在的平面垂直,再在偶极子的负轴方向叠加一均匀流动,就可得到绕圆环形物体的流动。