[Æ´Òô]£ºdingxiang juhe
[ÍâÎÄ]£ºstereospecific polymerization
ÄÜÖÆ±¸Á¢¹¹¹æÕûÐÔ¾ÛºÏÎïµÄ¾ÛºÏ·´Ó¦¡£Á¢¹¹¹æÕûÐÔ¾ÛºÏÎïÒ²³ÆÁ¢¹¹¹æÕûÐԸ߷Ö×Ó¡¢¶¨Ïò¾ÛºÏÎï¡£×ÔÈ»½ç´æÔÚ×ÅÐí¶àÁ¢¹¹¹æÕûÐÔ¾ÛºÏÎÈçÌìÈ»Ï𽺡¢ÏËÎ¬ËØ¡¢µ°°×Öʺ͵í·ÛµÈ¡£
¾ÛºÏÎïµÄÁ¢¹¹¹æÕûÐÔ¾ÛºÏÎïºÍÓлú»¯ºÏÎïÒ»Ñù£¬ÓÉÓÚ·Ö×ÓÖÐÔ×Ó»òÔ×ÓÍÅÔÚ¿Õ¼äÅŲ¼·½Ê½£¨¹¹ÐÍ£©²»Í¬£¬´æÔÚ¼¸ºÎÒì¹¹ÌåºÍ¹âѧÒì¹¹Ìå¡£¼¸ºÎÒì¹¹ÌåÊÇÓÉ̼£Ì¼Ë«¼ü»ò»·ÉÏÈ¡´ú»ù²ÉÈ¡²»Í¬¹¹ÐͶø²úÉú£¬ÓÐ˳ʽºÍ·´Ê½Á½ÖÖÁ¢ÌåÒì¹¹Ìå(Á¢¹¹Ìå)£¬Èç˳ʽ£1£¬4£¾Û¶¡¶þÏ©ºÍ·´Ê½£1£¬4£¾Û¶¡¶þÏ©¡£¹âѧÒì¹¹ÌåÊÇÓÉ·Ö×ӵIJ»¶Ô³ÆÐÔÔì³ÉµÄ£¬²»¶Ô³ÆÐÔÀ´Ô´ÓÚ·Ö×ÓÖдæÔڵIJ»¶Ô³ÆÌ¼Ô×Ó£¬»ò·Ö×ÓÕûÌåµÄ²»¶Ô³ÆÐÔ¡£Ðí¶à¾ÛºÏÎï¶¼º¬Óв»¶Ô³ÆÌ¼Ô×Ó£¬ÆäÖÐÓеľßÓÐÐý¹âÐÔ£¬¼´ÄÜʹƫÕñ¹âµÄÆ«ÕñÃæÐýת£¬ÕâÖÖÎïÖʳÆÎª¹âѧ»îÐÔ¾ÛºÏÎ´ó¶àÊý¾ÛºÏÎïË京Óв»¶Ô³ÆÌ¼Ô×Ó£¬µ«ÓÉÓÚº¬ÓÐÄÚ¶Ô³ÆÒòËØ£¬·¢ÉúÁËÄÚÏûÐý×÷Óã¬ËùÒÔ²»ÏÔ¹âѧ»îÐÔ¡£º¬Óв»¶Ô³ÆÌ¼Ô×ӵľۺÏÎï¾Í»áÓÐÁ¢ÌåÒì¹¹Ìå¡£ÀýÈçÔÚR¡ä-CH2-C*HX-RÁ´ÖУ¬C*Ô×ÓÊÇÒ»¸ö²»¶Ô³ÆÖÐÐÄ£¬¿É²ÉÈ¡Á½ÖÖ¹¹ÐÍ£¬¼´ R(ÓÒÐý)»òS(×óÐý)¹¹ÐÍ¡£¸ù¾Ý RºÍS¹¹ÐÍÔÚÁ´Öеķֲ¼£¬¿ÉÒԵõ½²»Í¬¹æÕû¶ÈµÄ¾ÛºÏÎïÁ´¡£¹¹Ð͹æÕû³Ì¶È¸ßÕß³ÆÓйæÁ¢¹¹£¬¹¹ÐÍ·Ö²¼ÊÇÈÎÒâµÄ³ÆÎÞ¹æÁ¢¹¹¡£ÔÚÒÒÏ©»ù¾ÛºÏÎïÖУ¬ÓÐÁ½ÖÖÁ¢¹¹¹æÕûÐÎʽ¡£ÓÉÏàͬ¹¹Ð͵¥Ôª×é³ÉµÄ¾ÛºÏÎÈç-R-R-R-R-R-»ò-S-S-S-S-S-£©³ÆÈ«Í¬Á¢¹¹¾ÛºÏÎï»òµÈ¹æ¾ÛºÏÎ¹¹Ðͽ»ÌæµÄ¾ÛºÏÎï³Æ¼äͬÁ¢¹¹¾ÛºÏÎ¼û¸ß·Ö×ÓÁ´µÄÁ¢Ì廯ѧ½á¹¹£©¡£
Á¢¹¹¹æÕûÐÔ¾ÛºÏÎïµÄÐÔÄÜÓëÎÞ¹æ¾ÛºÏÎïÓкܴó²î±ð¡£ÎÞ¹æ¾ÛºÏÎïÊǷǾ§Ì¬µÄ¡¢Ç¿¶ÈµÍµÄÈí²ÄÁÏ¡£Á¢¹¹¹æÕûÐÔ¾ÛºÏÎïÔòÊǽᾧ¾ÛºÏÎ¾ßÓиßÈ۵㡢¸ßÃܶȡ¢ÄÍ»¯Ñ§Ò©Æ·¡¢¸ß»úеǿ¶ÈºÍµÍÈܽâÐÔ¡£
Á¢¹¹¹æÕûÐԵIJⶨºÍ·Ö×ÓÁ¿Ò»Ñù£¬¸ß·Ö×ÓµÄÁ¢¹¹¹æÕûÐÔÖ»ÊÇÒ»¸öƽ¾ùÊýÖµ¡£²â¶¨Á¢¹¹¹æÕûÀàÐͺͳ̶ȵÄÓÐÁ¦¹¤¾ßÊǸ߷ֱæºË´Å¹²ÕñÆ×ºÍºìÍâ¹âÆ×¡£´ËÍ⣬Ҳ¿ÉÒÔÓû¯Ñ§ºÍÎïÀí·½·¨£¨Èç²â¶¨½á¾§¶È¡¢Ïà¶ÔÃܶȡ¢ÈÛÈÚζȺÍÈܽâ¶ÈµÈ£©À´¼ä½Ó²â¶¨¡£¶Ô½á¾§¾ÛºÏÎ³£ÓÃÈܼÁÝÍÈ¡·½·¨½«Á¢¹¹¹æÕûÐÔ¾ÛºÏÎ²»Èܽⲿ·Ö£©ºÍÎÞ¹æ¾ÛºÏÎï(Èܽⲿ·Ö)·Ö¿ª£¬Óɲ»Èܲ¿·Ö¼ÆËãÏà¶ÔµÄÁ¢¹¹¹æÕû¶ÈÖ¸Êý¡£ÀýÈç¾Û±ûÏ©µÄȫͬÁ¢¹¹¹æÕû¶È£¨¼´µÈ¹æ¶È£©¿ÉÓò»ÈÜÓÚ·ÐÌÚµÄÕý¸ýÍéµÄ¾Û±ûÏ©µÄ°Ù·ÖÊý±íʾ¡£ÔÚ¿ÆÑ§Ñо¿ºÍÉú²úÖУ¬³£ÓþۺÏÎïµÄÁ¢¹¹¹æÕû¶È±íʾ´ß»¯¼ÁÔھۺϷ´Ó¦Öе͍ÏòÄÜÁ¦¡£
Á¢¹¹¹æÕûÐÔ¾ÛºÏÎïµÄÖÆ±¸¿ÉÔÚÊʵ±µÄÌõ¼þÏÂÓÃ×ÔÓÉ»ù¡¢Àë×ÓÐͺÍÅäλÀë×ӾۺϷ´Ó¦ÖƵ㬶øÅäλÀë×ӾۺϷ´Ó¦ÊÇ×îºÃµÄÖÆ±¸·½·¨¡£ÕâÊÇÓÉÓÚÔÚ×ÔÓÉ»ù¾ÛºÏÖУ¬»îÐÔÁ´Ã»ÓÐרһµÄ¶¨ÏòÄÜÁ¦£¬ÄÑÒÔ»ñµÃ¶¨Ïò¾ÛºÏÎֻÓÐÌá¸ßµ¥ÌåµÄ¼«ÐԺͿռäλ×裬»ò½µµÍ¾ÛºÏζȣ¬²ÅÄÜÖÆµÃÒ»¶¨Á¢¹¹¹æÕû¶ÈµÄ¾ÛºÏÎï¡£Ðí¶àÀë×ÓÐ;ۺϵÄÔö³¤Á´¶Ë»ùÊÇ×ÔÓÉÀë×Ó£¬ËüºÍ×ÔÓÉ»ùÒ»Ñù£¬²»¾ßÓÐÁ¢¹¹¹æÕûÌØÐ§ÐÔ£¬ËùÒÔÔÚÒ»°ãÀë×ÓÐ;ۺÏÖУ¬ÒÒÏ©»ùµ¥ÌåÄÑÒÔ»ñµÃ¸ß·Ö×ÓÁ¿µÄÁ¢¹¹¹æÕûÐÔ¾ÛºÏÎï¡£µ±»îÐÔÁ´Ä©¶ËÒÔÀë×Ó¶Ô´æÔÚʱ£¬·´Àë×ÓºÍÔö³¤Á´¶ËÀë×Ó¿¿µÃÓú½ü£¬ÐγÉÁ¢¹¹¹æÕû¾ÛºÏÎïµÄ¿ÉÄÜÐÔ¾ÍÓú´ó£¬Îª´ËҪѡÓü«ÐÔ½ÏСµÄÈܼÁºÍ½µµÍ¾ÛºÏζȣ¬ÀýÈçÔÚµÍÎÂÏÂÓÃÍé»ùï®Òý·¢¼×»ù±ûÏ©Ëá¼×õ¥¾ÛºÏ£¬ÔÚËÄÇâ߻૵ȼ«ÐÔÈܼÁÖеüäͬÁ¢¹¹¾ÛºÏÎ¶øÔÚ¼×±½µÈ·Ç¼«ÐÔÈܼÁÖÐÔòµÃȫͬÁ¢¹¹¾ÛºÏÎï¡£ÔÚÆë¸ñÀÕ-ÄÉËþ´ß»¯¼ÁµÄÅäλ¸ºÀë×Ó¾ÛºÏÖУ¬ÓÉÓÚµ¥ÌåÏÈÔÚ´ß»¯¼ÁµÄ¿ÕλÉÏÅäλ£¬È»ºóÒÔÒ»¶¨ËÙÂʺ͹¹ÐͽøÈëÔö³¤Á´ÖУ¬ËùÒÔËü¾ßÓÐÐγÉÁ¢¹¹¹æÕûÐÔ¾ÛºÏÎïµÄÌØÕ÷¡£
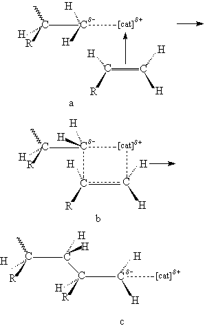
α-Ï©Ìþ²ÉÓÃÆë¸ñÀÕ-ÄÉËþ´ß»¯¼ÁÐγÉȫͬÁ¢¹¹¾ÛºÏÎïµÄ»úÀíΪ£¬µ¥ÌåÏÈÔÚ´ß»¯¼ÁÉÏÅä루¼û½á¹¹Ê½a£©£¬Ðγɹý¶É̬(b)£¬È»ºóµ¥Ìå²åÈëµ½»îÐÔÁ´ºÍ´ß»¯¼ÁÖ®¼ä£¬Ê¹»îÐÔÁ´Ôö³¤(c)£º
ʽÖÐ[cat]±íʾ´ß»¯¼Á¡£
¸ßÁ¢¹¹¹æÕûÐÔ¾ÛºÏÎïµÄÖÆ±¸¼«ÐÔµ¥ÌåÅäλÄÜÁ¦½ÏÇ¿¶øÇÒÅäλ³Ì¶È½Ï¸ß£¬²ÉÓÃÍé»ù﮵ȾùÏàÌåϵ¼´¿ÉÐγɸßÁ¢¹¹¹æÕûÐÔ¾ÛºÏÎï¡£·Ç¼«ÐÔµ¥Ì壨Èç±ûÏ©¼°ÆäËûα-Ï©Ìþ£©µÄÅäλ³Ì¶È½ÏµÍ£¬³ý·Ç²ÉÓÃÓÐÇ¿Á¢¹¹¹æÕûÄÜÁ¦µÄ´ß»¯¼Á£¬²»Ò×Éú³É¸ßÁ¢¹¹¹æÕûÐÔ¾ÛºÏÎï¡£α£Ï©Ìþͨ³£Ñ¡Ó÷ǾùÏàÆë¸ñÀÕ-ÄÉËþ´ß»¯¼Á£¬½èÖúËüµÄ»¯Ñ§½á¹¹ºÍ½á¾§½á¹¹µÄÓ°Ïì²ÅÄÜÖÆµÃȫͬÁ¢¹¹¾ÛºÏÎï¡£ÈôÓþùÏࣨ¿ÉÈÜÐÔ£©´ß»¯¼Áʱ£¬³ýÉÙÊýÇé¿öÏ¿ÉÖÆµÃ¼äͬÁ¢¹¹¾ÛºÏÎïÍ⣬¼¸ºõÖ»ÄÜÉú³ÉÎÞ¹æ¾ÛºÏÎï¡£ÓþùÏàºÍ·Ç¾ùÏàÅäλ´ß»¯¼Á£¬1£¬3-¶¡¶þÏ©ºÍ±½ÒÒÏ©µÈ¹²éîÏ©Ìþ¶¼ÄÜ»ñµÃÁ¢¹¹¹æÕûÐÔ¾ÛºÏÎï¡£¶ÔÓÚ˫ϩÌþ¾ÛºÏµÄ¶¨Ïò»úÀí£¬¹«ÈϵļÙÉèΪ:µ¥Ìå²åÈëÔö³¤Á´Ö®Ç°ºÍ´ß»¯¼ÁÅäλʱµÄ¹¹ÏóÊǾö¶¨¾ÛºÏÎïÁ¢¹¹¹æÕûÐÔµÄÖ÷ÒªÒòËØ¡£Èç¹ûµ¥ÌåÒÔÁ½¸öË«¼üË«Åäλ£¨Ë³Ê½Åä룩£¬¾Í²úÉú˳ʽ£1£¬4¾ÛºÏÎ¶øÒÔÒ»¸öË«¼üµ¥Åä루·´Ê½Åä룩£¬Ôò²úÉú·´Ê½£1£¬4¾ÛºÏÎï¡£
- ²Î¿¼ÊéÄ¿
- G.Odian£¬ Principles of Polymerization£¬ McGraw-Hill£¬New York£¬ 1970.