[拼音]:duoyuanzi fenzi guangpu
[外文]:spectra of polyatomic molecules
由两个以上原子组成的多原子分子是一个复杂的体系。多原子分子内包含的原子数目和种类较多,并有各种各样的排布,因此在研究与分子结构相关联的问题时,难以做精确的理论处理,而往往采用粗略的近似方法。如果分子具有某些对称性,则群论工具是特别有用的。分子光谱是研究分子结构的重要手段,分子内部不同的运动形态反映在不同的光谱波段上。分子内的电子总是处于一定的运动状态,同时在分子中还存在着各原子核的相对振动以及整个分子的转动。与这些运动形态相应的电子能级、振动和转动能级,形成了特征的分子能级图和特征的分子光谱。分子的价电子在电子能级间的跃迁产生电子光谱。电子能级间的能量差一般为1~20eV,因此电子光谱通常位于可见、紫外光谱区。电子跃迁时总是伴随有振动、转动态的改变,振动能级的能量差一般为0.05~1eV,转动能级的能量差一般小于0.05eV。这样,多原子分子光谱就不再是线状光谱,而是由谱带系组成的带状光谱。不同谱带系相当于不同的电子能级间的跃迁,每一谱带系包含若干谱带,不同的谱带相当于不同的振动能级间的跃迁,同一谱带内又包含若干光谱线,每一线相当于转动能级间的跃迁。因此,光谱显得十分复杂。在只有振动能级(一般还伴随有转动能级)间跃迁时,振动(振动-转动)光谱通常位于近红外区;只有转动能级跃迁时,转动光谱通常位于远红外和微波区。
通过研究电子光谱,可以了解电子能级和电子态的状况。从振动光谱可以获得分子的形状、成分、力常数等资料。从微波谱可以测定分子的转动惯量,从而计算出分子中的核间距离和键间夹角。分子光谱不仅应用于分子结构的研究,还是物质分析的重要技术,特别是分子振动红外光谱和喇曼光谱已经广泛用于有机物的定性、定量分析中。
多原子分子的转动和转动光谱忽略核振动和电子运动对转动的影响,可得到分子纯转动的情况。若绕通过分子质心且方位角为(θ,嗞)的轴线的转动惯量为I, 则
,
式中mi是第i个原子的质量,ri是它至轴线的距离。以
对(θ,嗞)作图, 得到一个椭球体,它有三个互相垂直的主轴A、B、C,相对于这三个主轴的转动惯量称为至转动惯量 IA、IB、Ic。按照主转动惯量的不同情况可分类如下:三者各不相等的,称为不对称陀螺分子,如H2O分子;只有两个相等的(IB=Ic≠IA),称为对称陀螺分子,如NH3分子;三者都相等的,叫作球形陀螺分子,如CCl4分子。线型分子可以看成是对称陀螺分子的特例,这时绕对称陀螺旋转轴方向的转动惯量非常小 (IA≈0),惯量椭球接近圆柱形,如CO2、OCS分子。
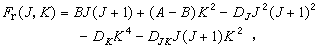
从量子力学理论可知,对称陀螺分子总角动量P2的本征值为J(J+1)媡2,J=0,1,2,…,取对称陀螺分子的n重(n>2)对称轴为A轴,有IA≠IB=Ic,PA≠PB=Pc。PA的本征值为 K媡,K=0,±1,±2,…,±J 。对称陀螺分子转动能级的谱项表示式为
Fr(J,K)=BJ(J+1)+(A-B)K2,
式中A=h/8π2IA,B=h/8π2IB。对称陀螺分子转动能级的跃迁选择定则是
△J=±1,
△K=0。
分子从转动能级J跃迁到J+1时,吸收谱线频率为
v=2B(J+1)。
在考虑核间距离的离心力修正后,转动能级为
式中
、
和
都是很小的修正值。
对于线型分子,由于它的PA近似为零,PB=Pc,所以转动能量可以表示成与双原子分子相同的形式,即
(见双原子分子纯转动光谱)。
大多数分子是不对称陀螺分子,可以把它们看做从长形过渡到扁形对称陀螺分子的中间情况。它们的转动能级无法用简单的公式表示,其光谱十分繁复,只有一些较简单的轻原子组成的分子被研究过。在微波区(1mm~30cm)能直接观测分子转动能级间的跃迁,很轻分子的转动光谱落在远红外区(50μm~1mm)。
分子的转动光谱是由极性分子的偶极跃迁产生的,球形陀螺分子偶极矩为零,因此没有转动谱。
多原子分子的振动和振动光谱分子处于确定的电子态并忽略分子的转动,就是纯振动的情况。由N个原子组成的分子具有3N个自由度,其中有三个属于分子整体平动(质心沿x、y、z三个方向移动),三个属于分子的转动(对线型分子,只有两个转动自由度),其余的属于振动自由度,数目是3N-[6]。
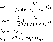
分子的3N-[6]个基本的振动称为简正振动(即简谐振动),简正振动频率称为简正频率vk,每种简正振动与一个简正坐标相联系。与 vk相应的简正坐标记为Qk,k=1,2,…,3N-[6]。分子中各原子在各自的平衡位置附近所做的微小振动可以用简正振动的叠加表示,分子的振动就是3N-[6]种简正振动的合成。例如 CO2分子是线型分子,有3N-5=4种简正振动方式,如图 1所示,取分子轴为z轴,自左至右各原子编号为i=1,2,3。第i个原子的坐标为xi,yi,zi,它偏离初始平衡位置的位移坐标为Δxi,Δyi,Δzi。设 O原子质量为m,C原子质量为M;C-O键伸缩力常数为 k′,弯曲力常数为k″。图中箭头表示在某一瞬间各原子位移方向,箭头长度表示位移量的相对大小。
图1a表示沿分子轴方向的线内对称振动。三个原子以同一频率v1振动。
,
相关联的简正坐标Q1可以写成
Q1=k′cos(2πv1t+ε1),
式中ε1是初位相,这样,各原子沿z轴的位移坐标是
,
它们以同一频率和同一位相在平衡位置附近作简正振动,只是振幅不同。
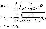
图1b表示沿分子轴方向的线内反对称振动,振动频率为v2。
,
相关联的简正坐标Q2是
Q2=k′cos(2πv2t+ε2),
各原子沿z轴的位移坐标是
图1c是线外振动,可以把它分解成沿x、y两个方向的运动,它们的性质相似,振动频率为v3。
。
相关联的简正坐标是Q3和Q4
Q3=k″cos(2πv3t+ε3),
各原子沿x轴的位移坐标是
各原子沿y轴的位移坐标是
这两个振动方向互相垂直,振动频率相同,称为简并的简正方式。它们是使 O-C-O键角改变的弯曲振动。由于简并的存在,这些分子的振动频率数少于振动方式数。
H2O分子是非线型分子,它有3N-6=3种简正振动,如图2所示。分子的简正振动频率是与分子中化学键的存在相应的,并且是化学键的特征频率。实际分子的振动频率大约在1.2×1014~3×1012Hz左右,位于4000~100cm-1的红外光谱区。
分子的振动能量是各简正振动能量之和,可以表示成
,
式中vk是第 k种简正振动的振动量子数,vk可取0,1,2,…,等值,用 3N-[6]个 vk组成的一组振动量子数(v1,v2,…, vk,…,v
) 来描述分子的一个振动态及相应的振动能级。图3是H2O的部分振动能级。振动量子数全为零的能级(0,0,0)称为基能级。有一个量子数为 1,其余都为零的能级,如(1,0,0)、(0,1,0)等称为基频能级。有一个量子数大于(或等于)2,其余都为零的能级,如(2,0,0)、(0,3,0)等称为泛频能级。两个以上的量子数不为零的能级,如(1,1,0)、(1,0,2)等称为组合频能级。
室温下,大多数分子都处于基能级,吸收入射光从基能级到基频能级的跃迁,产生红外吸收光谱中的基频带,有时还可能出现从基能级到泛频能级的倍频带、三倍频带以及从基能级到组合频能级的组合频带。基频带的强度通常远大于后二者的强度。
并非所有的简正振动都对入射的红外光产生共振吸收,只有那些使分子电偶极矩变化的简正振动方式才能在红外光谱中观察到。而在喇曼光谱中能观察到的简正振动必须是引起极化率变化的。在红外光谱中观察到CO2的两个强吸收带,波数为667cm-1和2349cm-1,分别对应线外振动基频v3和线内反对称振动基频v2。在线内对称振动方式中,振动是中心对称的,分子的偶极矩没有变化,但是极化率在平衡位置附近有单调变化,因此v1只出现在喇曼光谱中,波数数值为1340cm-1。
在计算分子简正振动方式和简正振动频率时,利用分子的对称性可以大大简化处理,分子的对称性是指分子中原子核排列的对称性,核的种类和位置决定了这种对称性,因为分子的对称性质决定了光谱的特征,所以单从分子模型的几何形状和对称性就能预言基频的数目以及它们在红外光谱和喇曼光谱中出现的情况。可以设想分子具有某些对称操作,经操作后,分子内原子核排列的图形与初始图形等效或恒等。分子对称操作的集合具有数学上所定义的群的性质,因此称这种集合为分子的对称操作群。
用群论的方法来研究分子的振动是基于对称分子的简正振动方式及其相关联的简正坐标具有某些特有的对称性,对称操作群中的每一个操作作用于分子时,分子图形中至少有一个点保持不动,这种群称为点群,例如CO2属于D∞h点群,H2O属于C2v点群等。在处理对称性高、原子数目很多的分子振动光谱时,常采用群论方法。同时用群论方法还可以简便地获得一些有关分子的信息。
实在分子的振动总是伴随着转动,使振动光谱具有转动结构,称为振(动)-转(动)光谱。不同结构的分子具有不同的特征振动频率,这样振动光谱便是分子(或基团)的一种特征谱,成为研究分子结构、鉴定化合物和分析混合物组成成分的一种重要方法。
多原子分子的电子态和电子带系光谱与多原子分子电子结构和电子带系光谱相关联的问题尤为复杂。在研究多原子分子电子态时,一般也是采用玻恩-奥本海默近似(见双原子分子电子态),即把分子中电子运动和分子的振动、转动分开。由分子中的电子按最低能量状态填充时的组态可以得知分子的基态。电子激发后可以形成一系列激发态。根据电子总自旋量子数的取值可以形成多重性不同的激发态。通常用符号 塣表示分子基态,多重性与基态相同的激发态按能量增大的次序,用Ä、愌、愖、…表示;不同多重性的激发态按能量增大的次序,用、愋、愖、…表示。每个电子态内还包含许多振动态和转动态,分子可以激发到任何可能的振动转动能级。分子的总能量是电子能量、振动能量和转动能量之和。用谱项表示时写成
在进一步的近似中还需要考虑电子角动量和转动角动量的相互作用以及振动转动的相互作用。
多原子分子的电子发生跃迁时,电子能量和振动、转动能量可以同时发生变化,形成的电子谱带系的频率为
ve称为电子谱带系的基线。它的数量级远比 vv、vr大,因此电子谱带系的位置基本上是由ve的数值决定的。谱带系内包含若干谱带,它们是由跃迁前、后的振动态量子数标志的,记做v′、v″谱带。排布在谱带系基线两侧的所有谱带的综合,构成了谱带系的粗结构。谱带内密集的谱线,是由分子转动能量的变化造成的,构成了谱带系的精细结构。
电子光谱带位于真空紫外、紫外及可见区的范围内。近代真空紫外光谱技术和研究自由基技术的发展,使得多原子分子电子带系的研究有了迅速发展的可能。通过电子带系的研究,可以获得各种电子态以及振-转能级的信息,从而了解这些分子的电子分布、分子在电子激发态中的几何结构、电离势、离解能等。对于化学上不稳定的分子(如自由基)以及多原子分子的离子,也可以从电子带系光谱中获得有关电子基态的知识。
- 参考书目
- G. Herzberg,Molecular Spectra and Molecular Structure,Vo1.2.3,D.Van Nostrand, New York, 1945, 1966.
- E.B.Wilson,Jr.,et αl., Molecular Vibrations,McGraw-Hill, New York, 1955.