激波数值处理

用数值计算处理流场中激波的一种近似计算方法。在流动中,物理量连续的区域可用微分方程组来描述。当流场中出现激波时,由于物理量出现间断,微分方程不再适用。这时,如果用差商来代替微分方程中的导数,在激波面附近就会产生强烈“振荡”现象,甚至可能使计算无法进行下去。在超声速流场中,激波随时可以出现,而且会互相作用,从而使激波的数值计算十分困难。目前有两种处理方法:一种是激波装配法,又称分离奇性法;另一种是激波捕捉法,又称人工粘性法或穿行法。

激波装配法

这种方法把激波当作未知的运动边界,按照激波间断条件把激波分离出来。激波两边的物理量要满足一定的间断条件,即许贡纽条件(见激波关系式):

D(ρ1-ρ0)=ρ1u1-ρ0u0,    (1)(p1-p0)(ρ1-ρ0)=ρ0(ρ1u1-ρ0u0),   (2)公式 符号,   (3)

式中p为压力;ρ为密度;e比内能;u为质点速度;D为激波速度;下角标“0”和“1”分别表示激波前和激波后的量。

图

图1表示速度为U的均匀来流绕过倾角为θ的二维斜坡的超声速流动,流场中有一位置未知的斜激波,流体通过激波后,物理量出现间断,但沿着楔面运动。为确定激波的倾斜角β,可利用斜激波的许贡纽条件,得到求激波倾角β的方程:

tg3β+Atg2β+Btgβ+C=0,    (4)

式中ABCUθ的函数, 这个方程不易直接求解,必须用逐步试解法在计算机上求得各种 Uθ条件下的β值。

在某些情况下,激波是曲面,这时激波位置必须逐点确定。例如,尖头回转体绕流问题(图2),

图

尖端处产生斜激波OI0。在OA0F0区域流场已知的情况下,可以用特征线法来求解内部流场B1C1D1等点的参量,而激波上的点G0的速度和方向,由下列两个条件来确定:

(1)满足激波间断条件;

(2)满足F1G0特征线上相容关系。两个条件的关系式包含两个未知数,可以确定 G0的参量。同样可以确定H0I0等点的参量,最后把激波和流场计算出来。

在实际流动中,流场中的激波是十分复杂的,用激波装配法来处理也很困难。一般须用坐标变换,使(尚属未知的)激波位置与其中的一个坐标轴相重合。美国的G.莫雷蒂和他的同事们就曾用这种方法计算二维超声速流场中的内伏激波和交叉激波等。

激波装配法具有精度高,激波位置精确,物理图像清晰等优点,但计算十分繁复,因此,它只适用于那些激波运动情况比较简单,图案可以预估的流动。

激波捕捉法

这是一种在激波层内用直接或间接加入“人工粘性效应”的方法来自动处理激波的近似方法。如果在有激波的流场中人为地加入粘性效应,由于激波所造成的间断就会变成物理量连续的过渡区,而且只要粘性效应选择适当,就可以使过渡区具有与计算步长同一量级的宽度。在这个过渡区内,物理量虽然变化很快,却是光滑过渡的。图3就是说明由于人工粘性效应使原来不连续的激波(用虚线表示的部分)变成光滑过渡的激波。图中x为坐标,p0p1分别表示激波前后的压力值,由于人工粘性只是在激波附近起主导作用,因此,流场的其他区域仍能保持原来的流动特性。如果用含有人工粘性效应的差分格式来计算,不管激波的位置和强度如何,都可以自动显示出来。

图

1950年J.von诺伊曼和R. D.里希特迈尔首先成功地用激波捕捉法处理一维流动中激波。计算中采用

公式 符号     (5)

的人工粘性形成,v为比容,b为经验系数。从式(5)中可以看出,在稀疏区内q=0;在激波层内,q很大,起光滑作用;在其他压缩区内q厵0,但很小。过渡区的宽度可根据经验由系数b来调节,当b取1.5~2时,过渡区一般可控制在 3~5个计算步长。把q项引入运动方程组,可得:

公式 符号          (6)

公式 符号        (7)

公式 符号          (8)

式中t为时间;x拉格朗日坐标。用合适的差分格式计算这一方程组,可得到满意的结果。

引入人工粘性要满足以下条件:

(1)须使激波间断变成光滑的过渡区,运动方程有连续解;

(2)过渡区宽度应和计算步长同一量级,而且同激波强度、介质状态无关;

(3)人工粘性只能在激波层内起作用,在激波层外应不影响流场基本特性;

(4)过渡区两侧的物理量仍应满足激波间断条件。

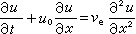
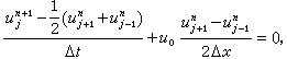
除直接引入人工粘性外,还可以通过差分格式间接引入粘性效应,这种粘性称为格式粘性。把差分方程的各项对某点作泰勒级数展开就可看出,除原微分方程各项外,还增加了一些含计算步长的项。这些低阶小量项,主要是一些二阶导数项,称为格式粘性项,它们起光滑作用。以线性双曲型方程

公式 符号

为例,其拉克斯格式为:

公式 符号

将这差分方程中的各项分别对tx作泰勒展开并保留二阶项,就得到:

公式 符号

式中公式 符号就是格式粘性项,而公式 符号

在二维流体力学问题中,粘性项必须包括压缩应力部分和剪应力部分。上述人工粘性项只相当于压缩应力部分。为了适应二维流体复杂性,可采用既有相当于压缩应力部分的标量形式的人工粘性项,又有相当于剪应力部分的张量形式人工粘性项。这种张量形式的人工粘性项,不仅可以缓和冲击压力的间断现象,而且对剪切产生的扭曲现象也可起缓冲作用。多维流体力学计算中如何选取人工粘性问题,仍然有待深入研究。

和激波装配法相比,激波捕捉法比较简单,但计算精度较差。因此,应该各取两种方法的长处,例如用装配法来处理流场外围的弓形激波,而用捕捉法处理流场内部的复杂激波。

参考书目
  1. R.D.里奇特迈尔著,何旭初等译:《初值问题差分方法》,科学出版社,北京,1966。(R.D.Richtmyer,Difference Methods for Initialvalue Problems,Interscience Pub., New York,1957.)