恒星球的平衡和稳定

恒星是一个在自引力作用下的物质球。恒星内部结构理论的基本问题之一,是讨论这种自引力体系的平衡和稳定。影响恒星的平衡和稳定的主要因素有:自引力、内部物质的压力、产能过程、能量转移等。

对于一个无自转、无磁场的恒星球,研究它的内部结构、平衡和稳定性问题的基本方程组如下:

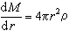
(1)质量分布方程

式中Μ是在半径为r的球内的物质质量,ρ为物质密度,Μ和ρ 都是r 的函数。

(2)流体静力学平衡方程

式中P为压力,G为万有引力常数。

(3)光度方程

式中 L为在单位时间内通过半径为r的球面流出的能量,ε 为产能率,它们也是r 的函数。

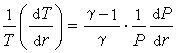
(4)温度梯度方程 在辐射传能情况下,方程是

式中a=7.56×10-15尔格/厘米3·度4,是辐射常数,c为光速,T为温度,κ为罗斯兰德平均不透明度。在对流传能情况下,方程是:

式中r为物质的绝热指数。

(5)物态方程 求解这组方程的边界条件是:在恒星中心处(即r=0),M=0,L=0;在恒星表面处(即r=R),T=T0ρ=ρ0RT0ρ0分别是恒星的半径、表面温度和物质密度。根据这组方程,平衡的恒星球的内部结构完全由它的化学成分和总质量确定。这个结论称为罗素-福格特定理。

对于处于辐射传能情况的星体,如果产能率和不透明度分别有下列形式:

式中αnms为某些参数,ε0、κ0为某些常数(其值可能依赖于恒星物质的分子量μ),则星体的平衡解构成下列的光度-质量-半径关系式:

式中C为常数,μ为恒星物质分子量,βPg/(Pg+Pr),Pg为气体压强,Pr为辐射压强。这个结果与观测符合。利用恒星球的平衡解,可以解释恒星在赫罗图上的分布,给出不同质量恒星在赫罗图上的演化途径。

在有自转的情况下,恒星球的平衡解依赖于转动特征。在刚性转动情况下,有下列结论:

(1)在两极处要比赤道处亮;

(2)产能率ε 与角速度ω的关系为

其中ε0表示无自转情况下的产能率。这两个结论称为蔡佩尔定理。在角速度较大时,恒星球出现较差自转,这时恒星内部将出现子午环流,即在每一子午面上将存在着从对流核心出发再回到核心的缓慢流动。对于太阳,这种环流速度约为3×10-10厘米/秒。

对于致密星,应当使用广义相对论的流体静力学平衡方程,在球对称情况下,它是:

式中。利用致密物态方程,它的平衡解有两大类:一类是简并矮星,一类是中子星

恒星球可能有三类不稳定性:

(1)动力学不稳定性 当出现小扰动时,扰动随时间增长。对于多层球,当多方指数γ >4/3时,是动力学稳定的;当γ <4/3时,是动力学不稳定的。一个动力学不稳定的恒星将迅速瓦解,时标为:

对于质量和半径与太阳相同的星体,若γ<4/3,则tD约小于1小时。

(2)脉动不稳定性 恒星球对于脉动(即径向的膨胀与收缩)扰动的响应有两种:一种是脉动振幅不变或衰减,则恒星是脉动稳定的;另一种是脉动振幅不断增大,则恒星是脉动不稳定的。对于每一类恒星,产能率随温度变化的指数n存在一个临界指数nc。当n<nc时,恒星是脉动稳定的;当n>nc时,出现脉动不稳定性。造父变星可能就是一种脉动不稳定的星体。

(3)长期不稳定性 当处在平衡状态时,星体单位时间向外辐射的能量等于其内部产生的能量。如果在辐射平衡中出现小的偏离,则恒星将有微小的收缩或膨胀,其密度和温度将相应地增加或降低,从而使产能率发生变化。如果这种响应能补偿辐射中的扰动,恒星就是长期稳定的,反之,就是长期不稳定的。如果在产能率和不透明度中的系数满足下列不等式:

3α +n<3+s-3m,就是长期不稳定的。对于通常的恒星 m≈1,s≈0.5,α≈1,n≈4(质子-质子反应)或n≈20(氮循环),故它们是长期稳定的。

参考书目
  1. 佩克尔和夏茨曼著,李珩译:《普通天体物理学》,科学出版社,北京,1964。(J.C.Pecker et E.Schatzman,Astrophysique Générale, Masson and Cie,Paris,1959.)
  2. L. H. Aller and D. B. Mclaughlin eds,Stellar Structure, Univ.of Chicago Press,Chicago,1965.