有机硅高分子

公式 符号  主链含有硅原子的高分子化合物。目前最主要的有机硅高分子是聚硅氧烷(结构式如左上),它的主链是硅氧交替结构,在硅原子上带有有机基团 R。这类高分子在工业上以中等规模生产,其主要品种为硅油、硅橡胶和硅树脂。其他如硅碳、硅氮等结构类型的高分子,还处在研究阶段。

简史

自1824年硅元素发现以来,有机硅化合物就一直引起化学家的研究兴趣。F.S.基平研究有机硅化物40余年,得到许多树脂状或焦油状化合物,这些化合物实际上都是有机硅高分子。由于当时基平的注意力集中在取得能蒸馏的液体和能结晶的固体那样的小分子化合物,这些树脂状的或焦油状的高分子化合物未受到重视。直到1938年,K.A.安德里昂诺夫发现有机硅高分子具有优良的介电性能和耐热性能,可在150°C长期使用,才引起人们的注意。后来又发现了用直接法合成有机硅单体。在第二次世界大战期间有机硅高分子才开始生产。

单体制备

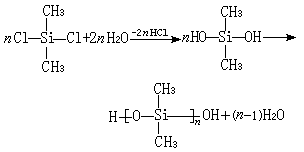
把氯代烷和硅粉在铜的催化作用下进行高温反应,就得到各种单体的混合物。这个方法称为直接法。以氯甲烷为例,反应式如下:

公式 符号

所得产物为甲基三氯硅烷(三官能单体,用T表示),二甲基二氯硅烷(双官能,D),三甲基氯硅烷(单官能,M)。

另一方法是以有机锂(钠)化物或有机镁化物(格利雅试剂)与四氯化硅反应,例如:

公式 符号

后面这个合成法,只在直接法不能应用时,例如R是长链或有取代基时才采用。

缩聚反应

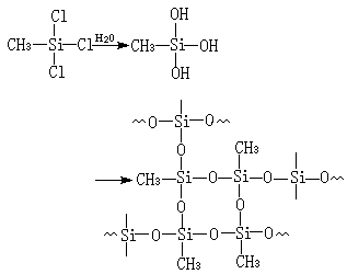
氯硅烷遇水,先水解为硅醇,随即缩合聚合成聚硅氧烷,例如:

公式 符号

三官能的甲基三氯硅烷,经水解缩聚成为体型交联结构的高分子:

公式 符号

单官能的三甲基氯硅烷水解缩合,只能得到小分子,如六甲基二硅氧烷:

公式 符号

还可以把两种单体以适当比例混合后,进行共水解缩聚,就可得到不同链长或不同交联度的高分子,例如:

公式 符号 产品和应用

(1)硅油 用M与D(有时也可加少量的T)以适当比例进行共水解缩聚,可以得到不同链长(或支化度)的液体有机硅高分子,例如:

公式 符号

由于链长的不同或支化度的不同,可有不同的粘度和热稳定性,可用于润滑油润滑脂、扩散泵油、加热介质等。可长期耐150~160°C,短期耐180~200°C高温。硅油还可用作脱模剂。

(2)硅橡胶 M-Dn-M中的n很大时,即形成弹性体硅橡胶。可用过氧化苯甲酰引发以进行“硫化”,就成为硅橡皮。这类硅橡皮比一般橡皮耐热性好,也不容易老化,在国防工业、尖端技术方面有重要的用途。由于它不凝血,不致癌,不受体液侵蚀,还可用作血管、心瓣膜等仿生材料。硅橡胶的缺点是强度不高,特别是抗撕裂强度不高,永久压缩变形较大,尤其是耐油性不好。如果在侧链中代入氟原子或氰基而得到氟硅橡胶或氰硅橡胶,可以提高耐油性。

(3)硅树脂 用T、M和D的适当配比,可制得在溶剂中能溶解的硅树脂。有些树脂,在除去溶剂后自行交联固化;有些则须提高温度才能交联。硅树脂可用作防水涂层(用于建筑、塑像、文物等)、防酸碱涂层和绝缘漆,用作漆包线漆时,能耐 200°C高温,绝缘性能极好。用硅树脂溶液浸渍玻璃布,可制成耐高温增强塑料。硅树脂中加入发泡剂,可制成耐高温、抗水的硬泡沫塑料

在聚硅氧烷高分子中,取代基主要是甲基,为了利于交联,也可用少量乙烯基代替部分甲基。此外如果用-CH2-CF2-CF3或-CH2-CH2-CN代替部分甲基,可以提高耐油性。用苯基代替甲基,可以提高耐热性。

有机硅高分子除聚硅氧烷类型外,还有硅苯硅氧型、硅碳硅氧型、硅氮硅氧型等,但这些高分子至今尚未投入工业生产。