普朗特-格劳厄脱法则

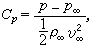
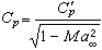
关于亚声速流动中流体的压缩性对物面压强分布影响的法则。低速流动可不考虑压缩性,亚声速流动则不然。在物体很薄、对匀直流扰动很小的前提下,亚声速流动中二维物体表面上一点的压力系数Cp可从低速流动中对应点的压力系数C孡求出。它们之间的关系为:

公式 符号

这个关系式通常称为普朗特-格劳厄脱法则,式中公式 符号为物体远前方的气流马赫数,压力系数的定义为:

公式 符号

式中pρv分别为压力、密度和速度,下标∞指远前方。根据这个法则,同一个物体在低速和亚声速时的举力系数CL(见举力)之间也有同样的关系:

公式 符号

式中C怈为低速时的举力系数。广义的普朗特-格劳厄脱法则还有两种形式,用来比较低速和亚声速流动中两个形状相似,但厚度不同的薄物体的压力系数:

(1)若低速流动中的薄物体厚度较大,是亚声速流动中物体厚度的公式 符号倍,则两物体上对应点的压力系数相等。

(2)若低速流动中的物体厚度较小,同亚声速流动中的厚度比为公式 符号,则两物体对应点上压力系数的关系为Cp=C孡/(1-公式 符号娡),这种形式的法则称为格泰特法则。它是H.B.格泰特提出的。格泰特还把他的法则推广到三维流动情形。在超声速流动中,只要把公式 符号改写为公式 符号,上述法则依然适用。超声速流动中的这个法则称为阿克莱特法则。

参考书目
  1. 李普曼、罗什柯合著,时爱民等译:《气体动力学基础》,机械工业出版社,北京,1981。(H.W. Liepmann and A.Roshko,Elements of Gasdynamics,John Wiley & Sons,New York,1957.)