亚声速流动

流体在流场中所有各点处的流速,都低于当地声速(见声速)的流动。亚声速气流流过静止物体时,在雷诺数较高的情况下,粘性的影响常只局限于物面附近的边界层和物体下游的尾流区内,因此,在分析许多流动问题时,粘性可以忽略,即把全部流动视为无粘性流动。一般所说的亚声速流动常常是指这种无粘流体的亚声速流动。

对这种无粘亚声速流动作理论研究的原因有两方面:首先,实际气体运动的基本方程太复杂,很难求解,而对一些具体问题,例如计算机翼的举力,粘性的影响很小,可以忽略,使基本方程简化,便于求解。其次,对于某些流动问题(例如机翼的阻力),即使粘性不能忽略,也可以在无粘流的理论基础上再考虑粘性影响,进行求解。

流动特点

亚声速流动和超声速流动的主要区别有两方面:

(1)流速v与流管横截面积A的关系不同。在定常流动中,沿流管存在下列关系:

公式 符号 ,        (1)

公式 符号,        (2)

式中v为流速;Μa为当地马赫数;ρ为气体密度。在亚声速流动中(Μa<1),密度相对变化│dρ/ρ│小于速度的相对变化。在低马赫数时,例如在Μa≤0.3的范围内,可以完全忽略密度的变化;把气体视为不可压缩流体(即ρ为常数),这种低马赫数下的亚声速流动称为低速流动或不可压缩流动。对于不可压缩流动,ρ为常量,研究起来容易得多。ρ为变量的流动称为可压缩流动,其中Μa恒小于1的流动即为亚声速流动,Μa恒大于1的流动称为超声速流动。由上式可以看出,不管是亚声速流动还是超声速流动,如速度增加,密度就减小。但就流管横截面积A而言,在亚声速时,若A减小,则流速增大;在超声速时,若A增大,则流速也增大(见气体动力学)。

(2)当物体在静止气体中运动时,如果运动速度低于声速,则它对气体的扰动可传播到全流场;当运动速度超过声速时,扰动的范围是有限的。若把物体看成是一个点扰源,扰动局限于扰源的后马赫锥内(见超声速流动),而传不到物体的远前方。

基本方程式

流体流动时服从自然界的一些普遍规律,如质量守恒,动量守恒,能量守恒等。表达这些规律的方程式,称为基本方程式。无粘匀直流流过静止物体时,若流动是亚声速的,从理论上可以证明,流动一定是无旋的,有速度势ф(xyz)存在,在直角坐标系中它与速度的关系为:

公式 符号 ,   (3)

式中vxvyvz分别为沿 xyz方向的分速。由于存在速度势ф,可以将运动学和动力学分开,只须求出一个未知函数ф,问题大为简化。下面给出用速度势ф表示的低亚声速流动和亚声速流动的基本方程式:

(1)低亚声速流动(不可压缩流动) 此时Μa≤0.3,可以忽略密度变化,将流动视为不可压缩流动。基本方程为下列拉普拉斯方程:

公式 符号。      (4)

方程(4)是线性的,可以先找出一些基本解,然后应用解的叠加原理求出满足具体边界条件的解。对于定常流动(见非定常流动),例如无粘匀直流绕过静止物体的流动,在速度势ф求出后,由式(3)即可求出流场中的速度分布vxvyvz。再利用不可压缩流动的伯努利方程(见伯努利定理),就可求出流场中的压强分布p(xyz)和物面上的压强分布,于是可以很容易地求出物体所受的作用力(例如机翼的举力)。

分析无粘不可压缩流动问题的关键在于根据具体的边界条件,求拉普拉斯方程(4)的解。 对于复杂的物形(边界条件也复杂),例如整架飞机,要用计算机求解。如果物形比较简单,例如大展弦比直机翼(这是低速飞机常用的一种机翼),可用一些近似理论(如举力线理论、举力面理论)近似求解。对平面不可压缩位势流问题,除速度势ф(xy)外,还存在流函数Ψ(xy),两者的关系为:

公式 符号,      (5)

式(5)在数学上称为柯西-黎曼条件,在此条件下存在复位势:

w(x+iy)=ф(xy)+iΨ(xy),     (6)

式中i=公式 符号。这样,解具体流动的问题,就化为按具体边界条件求复位势ω 的问题。利用复变函数理论中的保角变换法,可以较容易地求解条件较复杂的流动问题。

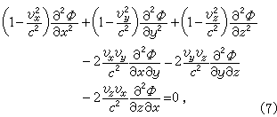
(2)亚声速流动 无粘匀直流流过静止物体时是等熵流动,而且存在速度势ф(xyz),它服从下述基本方程:

公式 符号

式中c为当地声速。方程(7)为非线性方程,很难求解,对于低亚声速流动(即不可压缩流动),c→∞,上式就变成拉普拉斯方程(4)。从物理意义上说,亚声速流动与不可压缩流动在流动特点上没有本质上的不同,就方程而言,式(4)和式(7)都属于椭圆型偏微分方程,所以亚声速流动与不可压缩流动只有量的差别。由于不可压缩流动的理论和实验研究都已取得一定的结果,可根据不可压缩流动这些结果,作一些量的修正,得出相应的亚声速流动的结果。在小扰动条件下的修正方法有普朗特-格劳厄脱法则,卡门-钱学森公式等。

方程(7)中所有各项的系数都只是速度的函数(声速c也可以通过能量方程化为速度的函数),因而对于平面流动在以速度分量vxvy为直角坐标的速度面上,该方程变成线性的,可以应用叠加原理求问题的解。这种方法称为速度图法。在速度图法中,基本方程是线性化的、简单的。但对具体问题,边界条件却复杂化了,求精确解仍存在很大困难。