[拼音]:dongneng
[外文]:kinetic energy
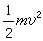
物体做机械运动所具有的能量。物体具有动能时,它就可以消耗这种能量来改变其他物体的机械运动状态,使其他物体变形、发热、发光、发声和产生电磁效应等变化;换言之,动能可以全部转化为其他形式的能(见能量)。质量为m和速度为v的质点的动能为
,质点系中所有质点的动能的和,即
,称为该质点系的动能,式中mi和vi分别为质点系中第i个质点的质量和速度。
动能是一个恒正的标量,它的量纲为L2MT-2,它在SI制中的单位为kg·m2·s-2,即N·m,即J。
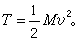
平动动能当刚体以速度v 平动时,它的动能等于刚体的质量M和速度 v的二次方的乘积的一半, 即刚体的平动动能
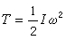
在刚体以角速度 ω绕某固定轴作定轴转动的情形,刚体的转动动能等于刚体对此固定轴的转动惯量I和角速度 ω二次方的乘积的一半,即刚体的转动动能
。
在质点系的一般运动中,质点系的动能可分为两部分之和:一部分为质点系随质心平动的动能, 它等于整个质点的质量全部集中于质心C 并以质心的速度vσ 运动的动能; 一部分为所有质点相对于随质心作平动的参照系的相对运动的动能,即总动能 T=
式中v媴为质点系中第i个质点相对于质心的速度,M为质点系的总质量。
当质点系为刚体时,此定理可表示为
,
式中Iσ为刚体对过质心 C且平行于该瞬时的瞬时转轴的转动惯量,ω为刚体在该瞬时的角速度。