重刚体定点转动

刚体定点转动动力学的组成部分,研究刚体在重力作用下绕一定点的转动。

研究简史

在 L.欧拉和J.-L.拉格朗日对刚体动力学作了具有经典意义的研究以后,重刚体定点转动问题一直受到理论力学学者的注意。L.潘索的几何解法(见刚体定点转动解法)、C.G.J.雅可比的椭圆函数解法等成果,激起人们希望从理论上求出这个问题的普遍积分法。1888年С.В.柯娃列夫斯卡娅利用复变函数的解析工具,找到新的可积情形。欧拉、拉格朗日和柯娃列夫斯卡娅得出的三种情形,就是这个问题全部的可积情形;要从理论上将任何其他情形化成求积形式是不可能的,从而使刚体在重力作用下绕固定点转动的问题成为理论力学中的著名经典问题之一。

基本方程组

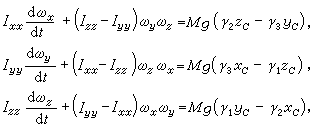
图 1表示刚体绕定点O的转动。令Oξηζ为固定在地球上的坐标系,其中垂直向上,忽略地球运动对刚体的影响。Oxyz为固联在刚体上O点的惯性主轴坐标系。令刚体重心COxyz系中的坐标为(xCyCzC),则刚体在重力作用下绕固定点转动的欧拉方程组为:

公式 符号

式中Μ为刚体质量;IxxIyyIzz为刚体的三个主转动惯量;g为重力加速度;γ1γ2γ3方向单位矢量在Oxyz系中的分量;ωxωyωz为刚体瞬时角速度在Oxyz系中的分量。欧拉方程组中有六个变量,所以必须另有三个方程,即泊松方程组:

公式 符号

欧拉方程组和泊松方程组一起构成六个变量六个方程的非线性动力学封闭方程组。求解刚体在重力作用下绕固定点的转动问题,在理论上就是要寻求这个方程组的积分。

图

第四个积分问题

完全解决刚体在重力作用下绕固定点的转动问题需要找到基本方程组的六个独立的第一积分。通过将基本方程组改写成雅可比的对称形式,根据时间消去法和后乘子理论可以断定:只要能找到四个不包含时间 t的独立的第一积分,问题就可以化为求积的形式,这样在理论上被认为是完全解决了。根据刚体在重力作用下绕固定点转动的基本力学性质,可以求出三个独立的不含时间t的第一积分:

能量积分

公式 符号=常数;

ζ方向的动量矩守恒积分

公式 符号

几何积分  公式 符号。由此可以得到如下重要结论:在理论上将刚体在重力作用下绕固定点转动的问题化为求积的形式还需要再寻求一个不含时间t的独立的第一积分。这就是著名的第四个积分的问题。

可积情形

刚体在重力作用下绕固定点的转动问题在如下三种情形下有第四个第一积分存在。

欧拉情形

刚体的重心恰好就在固定点,亦即xC=yC=zC=0。在这种情形中, 刚体所受到的重力矩恒为零,也就是刚体绕固定点作纯惯性运动。它的第四个第一积分可以由动量矩守恒得到:

公式 符号

刚体在欧拉情形下的运动可用椭圆函数来描述,而潘索的几何研究则给出此种情形下刚体运动直观而又清晰的图案。

拉格朗日情形

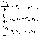
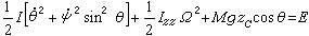
公式 符号不失一般性,可假定zC>0。 将这些条件代入欧拉方程组,得到公式 符号,从而得到第四个第一积分ωz=Ω(常数)。这种情形的运动描绘了一般重力陀螺的规律。记陀螺轴与铅垂轴的倾角(称为章动角)为θ,绕铅垂轴的旋进角为ψ,陀螺的自转角为,根据运动学关系并利用ωz=Ω这个积分,可直接得到:

能量积分  公式 符号(常数);

ζ方向的动量矩守恒积分

公式 符号

从上面两个式子中消去,并作u=cosθ变换,可得:

2=公式 符号(u)=(α-βu)(1-u2)-(a-bu)2

式中

公式 符号 公式 符号

均为常数。

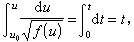
由上式可以看出,对于拉格朗日情形,动力学问题的求解化成如下积分的反转问题:

公式 符号

式中┃(u)是一个如上述的三次多项式。对此式略加变换,仍可归结为椭圆积分的反转问题。

分析重力陀螺运动的特征可以不必完整地完成上述反转过程。┃(u)的一般图像如图 2所示。由于对任意的实际运动应有┃(u)≥0,所以章动角θ一定在由u1u2所决定的θ1θ2范围内变化,即满足θ2θθ1。当u1u2合成一个重根时,刚好对应于陀螺作规则运动的特殊情形。用陀螺对称轴在单位球面上划出的轨迹来描述陀螺的运动,可得到常见的运动图案(图3、图4、图5)。

图3 图4 图5 图2 柯娃列夫斯卡娅情形

公式 符号,且重心在回转惯性椭球的赤道面上。不失一般性,可选择xy轴使公式 符号。在此情形下,有第四个不包含时间t的独立的第一积分:

公式 符号

式中n=ΜgxC/Izz。对于这种情形,将动力学方程化成求积过程需要引入一些复杂的变换。推演的结果证明,问题最后归结到公式 符号形式积分的反转,式中Rx公式 符号的有理函数;p(x)为的五次多项式。这种形式的积分叫作超椭圆积分,由它的反转所决定的函数叫作超椭圆函数。因此,柯娃列夫斯卡娅情形的解必须用超椭圆函数才能加以表达。

以上三种情形,是刚体在重力作用下绕固定点转动的可积情形。它们之中都存在第四个第一积分,而且所有的第一积分都是代数积分(单值的)。除上述三种情形外,任何其他情形都不可能有第四个单值的第一积分存在,因而也不可能在理论上将上述动力学问题化成求积的形式。这是理论力学经典问题中著名的反面结果,它揭示了应用分析工具在理论上解决刚体动力学一般问题的困难。必须说明的是:以上所说的第一积分都是指对刚体运动的初始条件不加限制而能普遍成立的通积分而言。如果对刚体的初始条件加以限制,则结论就完全不同了。