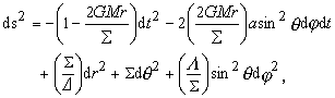
克尔度规 [拼音]:ke'er dugui [外文]:Kerr metric 1963年克尔得到爱因斯坦引力场方程的一个轴对称解。它相应于不带电的轴对称旋转物体在其外部所产生的稳定引力场,它的数学形式为: 式中采用 c =1; Σ=r2+a2cos2θ;Δ=r2+a2-2GMr;A=(r2+a2)2-Δa2sin2θ;M为物体质量;a为单位质量的角动量。克尔度规张量gμν为: 。 当a=0时,克尔度规即退化为史瓦西度规。 阅读全文