ÑóÓó

¸Å¿ö

ÒìÃû£ºÑôÓó(¡¶Ö²ÎïÃûʵͼ¿¼¡·)£¬Ñó·¬Êí(¡¶ÖйúÊß²ËÔÔÅàѧ¡·)£¬ÑóɽÓó(ÄÏ·½Ë׳Æ)£¬ÍÁ¶¹(±±·½Ë׳Æ)¡£

»ùÔ´£ºÎªÇÑ¿ÆÇÑÊôÖ²ÎïÂíÁåÊíµÄ¿é¾¥¡£ÇÑÊôÈ«ÊÀ½çÔ¼2000ÖÖ£»Öйú39ÖÖ¡¢14±äÖÖ£¬ÆäÖÐÒ©ÓõÄÓÐÔ¼20ÖÖ¡£

Ô­Ö²ÎÂíÁåÊíSolanum tuberosum L£®

ÀúÊ·£ºÊ¼Â¼ÓÚ¡¶Ö²ÎïÃûʵͼ¿¼¡·ÔØÔ»£º¡°Â̾¥ÇàÒ¶£¬Ò¶´óС¡¢ÊèÃÜ¡¢³¤Ô²ÐÎ×´²»Ò»£¬¸ù¶à°×Ð룬ϽáԲʵ£¬Ñ¹Æä¾¥Ôò¸ùʵ·±Èç·¬Êí£¬¡­¡­¿ª»¨×ÏͲÎå½Ç£¬¼äÒÔÇàÎÆ£¬ÖÐÇæºìµÄ£¬ÂÌÈïÒ»ÂÆ¡­¡­¡£É½Î÷ÖÖ֮ΪÌË׳ÆÉ½Ò©µ°£¬ÓÈ˶´ó£¬»¨°×É«¡±¡£ËùÊö¼°¸½Í¼£¬Êô±¾ÖÖ¡£

ÐÎ̬£ºÒ»ÄêÉú²Ý±¾£¬¸ß30¡«80cm¡£¾¥ÎÞë»ò±»ÊèÈáë¡£µØÏ¾߿龥£¬¾¶Ô¼3¡«10cm£¬ÀàÇòÐΡ¢±âÇòÐλò¾ØÔ²ÐΡ£µ¥ÊýÓð×´¸´Ò¶£¬Ð¡Ò¶6¡«8¶Ô£¬³£´óСÏà¼ä£¬ÂÑÐÎÖÁ¾ØÔ²ÐΣ¬³¤ÖÁ6cm£¬Ð¡²»¼°1cm£¬Ò¶¶Ë¼â£¬Ò¶»ùÂÔÆ«Ð±£¬È«Ôµ£¬Á½±íÃæ¾ßÊèÈá롣ɡ·¿»¨Ðò¶¥Éú£¬ºó²àÉú£¬»¨°×É«»òÀ¶×ÏÉ«£»ÝàÖÓÐΣ¬¾¶Ô¼1cm£¬Íâ±í¾ßÊèÈá룬ÏȶË5ÁÑ£¬ÁÑÆ¬ÅûÕëÐΣ»»¨¹Ú·ø×´£¬¾¶2¡«3cm£¬»¨¹ÚͲÒþÓÚÝàÄÚ£¬5dzÁÑ£¬ÁÑÆ¬Èý½ÇÐΣ»ÐÛÈï5ö£¬»¨Ò©³¤Îª»¨Ë¿µÄ5±¶£¬×Ó·¿ÂÑÔ²ÐΡ£½¬¹ûÔ²ÇòÐΣ¬Íº¾»£¬¾¶Ô¼1£®5¡«2cm¡£»¨ÆÚÏᄀ£(ͼ¼û¡¶Öйú¸ßµÈÖ²Îïͼ¼ø¡·£®µÚ3²á£®722Ò³£®Í¼5398)

Éú¾³Óë·Ö²¼£ºÔ­²úÈÈ´øÃÀÖÞɽµØ£¬ÏÖ¹ãÖ²ÓÚÈ«ÇòδøµØÇø£¬Öйú¸÷µØ¾ùÓÐÔÔÅà¡£

»¯Ñ§ÐÔÖÊ

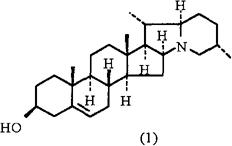
º¬çÞÌåÉúÎï¼îÇÑà¤(Solanidine)(1)¼°ÆäÆÏÌÑÌÇß°¦Ã£­Chaconine¡¢¦Ã£­ÇѼî(¦Ã£­Solanine)¡¢d£­ÇѼ¦Â£­ÇѼîºÍ¦Â£­C£­haconine[1]£¬ÒÔ¼°È¥¼×ÉöÉÏÏÙËØ(Noradrenaline)[2]¡£

²Î¿¼ÎÄÏ×

[1] Dictionary of Alkaloids Chapman and Hall Ltd£¬ 1989£º586£¬979¡£
[2] Phytochemistry 1977£»16£º9¡£

Ò©Àí

·¢Ñ¿µÄÑóÓóº¬Áú¿û¼î£¬ÈË·þ0£®2gÓÎÀëÁú¿û¼î¼´¿É²úÉúµäÐ͵ÄÔí¼î¶¾×÷ÓÃ[1]¡£´óÊóivÁú¿û¼î30mg£¯kg¿ÉʹѪÌÇÉý¸ß£¬¦Á£­»ò¦Â£­ÉöÉÏÏÙËØÄÜÊÜÌå×è¶Ï¼Á¾ù¿ÉÒÖÖÆ´Ë×÷ÓÃ[2]¡£

²Î¿¼ÎÄÏ×

[1] ÖÐÒ©´ó´Ç»Æ£®Ï²ᣮÉϺ£ÈËÃñ³ö°æÉ磬1977£º1718¡£
[2] ÈÕ±¾Ò©ÀíѧÔÓÖ¾ 1967£»63(1)£º393¡£

Ò©ÐÔ

ÐÔζ£º¸Ê£¬Æ½¡£ ¢Ù¡¶Ö²ÎïÃûʵͼ¿¼¡·£º¡°¸Ê¡¢µ­¡£¡± ¢Ú¡¶ºþÄÏÒ©ÎïÖ¾¡·£º¡°¸Ê£¬Æ½¡£¡±

¹¦Ð§£º²¹Æø£¬½¡Æ¢£¬ÏûÑס£

Ö÷ÖΣºÈùÏÙÑ×£¬ÌÌÉË¡£ ¡¶ºþÄÏÒ©ÎïÖ¾¡·£º¡°²¹ÖÐ񾮿£¬½¡Æ¢Î¸£¬ÏûÑס£¡±

Ó÷¨ÓÃÁ¿£ºÄÚ·þ£ºÖóʳ»ò¼åÌÀ¡£ÍâÓãºÄ¥Í¿»¼´¦¡£

ÁÙ´²Ó¦ÓÃ

µ¥·½Ó¦Ó㺢١¶ºþÄÏÒ©ÎïÖ¾¡·£º¡°ÖÎÈùÏÙÑ×£ºÂíÁåÊí1¸ö£¬ÒÔ´×Ä¥Ö­£¬²ë»¼´¦£¬¸É¼´²ë¡£¡± ¢Ú¡¶ºþÄÏÒ©ÎïÖ¾¡·£º¡°ÖÎÌÌÉË£ºÂíÁåÊí£¬Ä¥Ö­Í¿ÉË´¦¡£¡±

²Î¿¼ÎÄÕÂ