何首乌

概况

异名:地精(《何首乌录》),红内消(《外科精要》),首乌(《经验方》),何相公(湖南),铁秤砣(贵州)。

基源:为蓼科蓼属植物何首乌的块根。

原植物:何首乌Polygonum multiflorum Thunb.

历史:宋《开宝本草》始收载。但唐代李翱曾著《何首乌传》,记载了发现何首乌的传奇故事。相传古代何姓叟,因服本品而白首转乌。宋《图经本草》对何首乌形态作了详细的描写,云:“何首乌本出顺州南河县,今处处有之,岭外江南诸州皆有,以西洛,嵩山及河南拓城县为胜。春生苗,蔓延竹木墙壁间,茎紫色,叶叶相对如薯芋而不光泽。夏秋开黄白花,如葛勒花;结子有棱,似荞麦而细小,如粟大;秋冬采根,大者如拳……。春采根,秋采花,九蒸九曝,乃可服。此药本名夜交藤,因何首乌服而得名也。”李时珍在《纲目》中何首乌发明下云:“此药流传虽久,服者尚寡,嘉靖初,邵应节真人,以七宝美髯丹方上进世宗肅皇帝服饵有效……于是何首乌之方,天下大行也。”从这里说明何首乌作为一种滋补药物已有千年以上的历史。古代本草著作所云与现今药用的何首乌相符,别称赤首乌。何首乌的生品和炮制品疗效不同,生品名红内消,主治通便,消痈肿,解疮毒。制首乌则为补肝肾,益精血。

形态:多年生缠绕草本。根细长,末端成肥大的块根,外表红褐色至暗褐色。茎基部略呈木质,中空。叶互生,具长柄,叶片狭卵形或心形,长4~8cm,宽2.5~5cm,先端渐尖,基部心形或箭形,全缘或带波状,上面深绿色,下面浅绿色,两面均光滑无毛;托叶膜质,鞘状,褐色,抱茎,长5~7mm。花小,直径约2mm;多数;密集成大形圆锥花序;小花梗具节,基部具膜质苞片;花被绿白色,花瓣状,5裂,裂片倒卵形;大小不等,外面的3片背部有翅;雄蕊8;比花被短,雌蕊1,子房三角形,花柱短,柱头3裂,头状。瘦果椭圆形,有3棱,长2~3.5mm。黑色光亮,外包有宿存花被,花被有明显的翅,成熟时褐色。花期9~10月,果期10~11月。(图见《江苏植物志》.下册.106页.图890)

生境与分布:生于海拔1200m以下的山坡,灌木丛或路旁。分布于中国东北,中南,华东,西南各省。日本也有分布。

生药

栽培:宜温和湿润的气候,忌干旱和水涝。以土层深厚、排水良好而肥沃疏松的砂质壤土为佳。用种子繁殖。在3月上旬~4月上旬播种,按行距10~16cm划浅沟条播,播后覆土或盖草木灰、堆肥,每亩用种量1.5~2kg。出苗后结合松土除草、匀苗、追肥,至次年早春出圃移栽。亦可在4~5月间剪取健壮藤茎,截成18~20cm长的插条,每条应有两节以上,斜插于苗床,地面应留一节。插后浇水,以利成话。次年春季移栽。定植的行距30~40cm,株距20~27cm,栽后覆土压紧,施稀薄人畜粪水。定植后每年早春和冬季,用堆肥,厩肥或人畜粪水追施,并结合培土。藤茎长至50cm时,须设支柱,以供缠绕。病害有叶斑病,可喷1∶1∶120的波尔多液;根腐病,用50%多菌灵可湿性粉剂500倍液浇灌。虫害蚜虫,用40%乐果乳油1000倍液喷杀。

采集:栽后3~4年春,秋季采挖,洗净,切去两端,大者对半剖开,或切厚片,晒干,烘干或煮后晒干。药材主产于河南嵩县、卢氏,湖北建始、恩施,广西南丹、靖西,广东德庆,贵州铜仁、黔南,四川乐山、宜宾,江苏江宁、江浦。此外湖南、山西、浙江、安徽、江西、山东、云南等地也产。

鉴别

性状:块根团块状或不规则纺锤形,长6~15cm,直径4~12cm;表面红棕色或红褐色,凹凸不平,有不规则皱纹及纵沟,并有横长皮孔或连成条纹;两端各有明显的断痕,露出纤维状维管束。体重,质坚实,不易折断,切断面淡黄棕色或浅红棕色,显粉性,皮部有4~11个类圆形的异型维管束环列,形成“云锦花纹”,中央木部较大,有的呈木心。气微,味微苦而甘涩。以体重,质坚实,粉性足者为佳。

显微 块根横切面:木栓层为数列细胞,充满红棕色物。韧皮部较宽广,散有异型维管束(复合维管束),为外韧型,导管稀少。中柱形成层成环,木质部导管较少,周围有管胞和少数木纤维,根中心导管较多,射线宽。薄壁细胞含草酸钙簇晶,并含淀粉粒。(图见《中药志》.第1册.第2版.489页.图385) 粉末:棕色,气微,味苦涩。 ①草酸钙簇晶大小悬殊,直径20~80μm,稀有更大的,有的簇晶呈矩圆形,也有簇晶与较大的类方形结晶合生。 ②棕色细胞,分布于薄壁组织中,有时数个细胞连接成管道状,呈类圆形或椭圆形,壁稍增厚,胞腔内充满黄棕色或红棕色物,并含淀粉粒。 ③淀粉粒极多,单粒大多类球形,直径4~39μm,脐点星状或三叉状,大粒层纹隐约可见;复粒由2~9分粒组成,直径至51μm。 ④木纤维细长,直径17~34μm,壁厚2~5μm,木化,有斜纹孔或相交成人字形。 ⑤具缘纹孔导管直径17~178μm,具缘纹孔细密,有的数个纹孔口连接成线状,导管分子短,端壁倾斜或短尖。 ⑥木栓细胞表面观类多角形,壁薄,有的细波状弯曲,胞腔内充满红棕色或黄棕色物。 ⑦棕色块随处可见。(图见《中药材粉末显微鉴定》.45页.图45)

理化:①取样品粉末5g,用95%乙醇回流提取,回收乙醇,配成1.51的溶液,点于硅胶G板上,以大黄素,大黄素甲醚为对照,以氯仿-甲醇(80∶20)的展开剂,展距10cm,置紫外光灯下检视。(图见《中药材薄层色谱鉴别》.16页.图12-1) ②取样品粉末0.5g,加氯仿20ml,浸渍30分钟,滤过,滤液浓缩至2ml,点于硅胶G板上,以大黄素,大黄素甲醚为对照,以环己烷-丙酮-甲酸乙酯-乙醇-水(1∶3.5∶1.61∶1.5)上层液为展开剂,展距10cm,置可见光下检视。(图见同上,16页.图12-2) ③取样品粉末0.5g,加95%乙醇5ml,水浴加热10分钟,滤过,滤液点于硅胶G板上,以大黄素为对照,以苯-乙醇(8∶2)为展开剂,展开后,置紫外光灯下检视。(图见同上.第17页.图12-3) ④取样品粉末1g,置具塞三角瓶中,加甲醇25ml,室温浸泡过夜,滤过,得浸出液。取浸出液5ml,挥去甲醇至1ml作为供试液(Ⅰ);另取浸出液5ml,挥去甲醇,残渣用水2ml溶解,加盐酸0.2ml,沸水浴上水解30分钟,放冷,用乙醚提取,挥干乙醚,加甲醇1ml溶解作为供试液(Ⅱ);另取浸出液5ml,挥去甲醇,残渣用水2ml溶解,加40%三氯化铁溶液0.5ml,沸水浴加热20分钟,加浓盐酸0.2ml,水解30分钟,冷却,用乙醚提取,挥干乙醚,加甲醇1ml作为供试液(Ⅲ)。取上述3种供试液点于同-硅胶G板上,以芦荟大黄素,大黄酸,大黄素,大黄素甲醚和大黄酚为对照,以己烷-乙醚-二氯甲烷-甲酸乙酯-甲酸(8∶1.5∶0.8∶1∶0.1)为展开剂,展开后,置可见光下检视。(图见同上.第18页.图12-5)

加工炮制:①首乌片取原药材,除去杂质,洗净,浸润透,切厚片,干燥。 ②制首乌取首乌片置于一非铁质的适宜容器内,用黑豆汁拌匀,密闭,隔水蒸或炖至汁液吸尽并且呈棕褐色时取出,干燥。每100kg何首乌片,用黑豆10kg。 黑豆汁制法:取黑豆10kg,加水适量,约煮4小时,熬汁约15kg,豆渣再加水煮约3小时,熬汁约10kg,合并得黑豆汁约25kg。 有报道用蒸气压力锅在120℃,6小时,不焖制的条件下,炮制首乌最佳。

贮藏:置通风,干燥处,防蛀。

化学性质

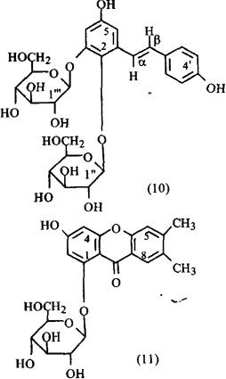
从块根中分得大黄素(Emodin)(1)、大黄素甲醚(Physcion)(2)、大黄素-1.6二甲醚(Emodin1,6-dimethylether)(3)、大黄素-8-甲醚(Questin)(4)、ω-羟基大黄素(Citreorosein)(5)、ω-羟基大黄素-8-甲醚(Questinol)(6)、2-乙酰基大黄素(2-Acetylemodin)(7)、大黄素-8-o-β-D-葡萄糖甙(Emodin-8-O-β-D-glucoside)(8)、大黄素甲醚-8-O-β-D-葡萄糖甙(Physcion-8-O-β-D-glucoside)(9)、2-甲氧基-6-乙酰基-7-甲基胡桃醌(2-Melhoxy-6-acetyl-7-methyljuglone)、苜蓿素(Tricin)、穆坪马兜铃酰胺(N-trans-feruloyl-tyramine)、N-反式阿魏酰基-3-甲基多巴胺(N-transferuloyl-3-methyldopamine)、2,3,5,4’-四羟基二苯乙稀-2-O-β-D-葡萄糖甙(2,3,5,4’-Tetrahydroxy stilbene-2-O-β-D-glucoside)(10)[2、3]、胡萝卜甙(Daucosterol)、没食子酸(Gallic acid)[1]、何首乌乙素(1,3-二羟基-6,7-二甲基酮-1-O-β-D-葡萄糖甙,1,3-Dihydroxy-6,7-dimethyl-xanthone-1-O-β-D-glucoside)(11)、何首乌丙素(2,3,5,4’-四羟基-二苯乙烯-2,3,-二-O-β-D葡萄糖甙,2,3,5,4’,-Tetrahydroxystilbene-2,3-O-β-Dglucoside)[2];儿茶素((+)-Catechin)、表儿茶素,((+)-Epicatechin)、3-O-没食子酰-l-儿茶素(3-o-Galloyl-(-)-catechin)3-O-没食子酰-l-儿茶素(3-O-Galloyl-(-)-epicatechin)、2,3,5,4’-四羟基二苯乙烯-2-O-β-D-葡萄糖甙-2”-O-没食子酰酯(3”-O-Mono galloyl ester of2,3,5,4’-tetrahydroxy stilbene-2-O-β-D-glucopyranoside)、2,3,5,4’-四羟基二苯乙烯-2-O-β-D-葡萄糖甙-3”-O-没食子酰酯(2,3,5,4’-Tetrahydroxy-stilbene-2-O-β-D-glucopyranoside-3”-O-monogalloyl ester)、没食子酰原花青素(Galloyl-procyanidins)[4];2,3,4,6,-四羟基苯乙酮-3-O-β-D-葡萄糖甙(2,3,4,6Tetrahydroxy-acetophenone-3-O-β-D-glucoside,Polygoaceto phenoside)、槲皮素-3-O-半乳糖甙(Quercetin-3-O-galactoside)、槲皮素-3-o-阿拉伯糖甙(Quercetin-3-O-arabinoside)[5];卵磷脂、糖类、脂肪、氨基酸,维生素,无机盐和K,Ca,Mn,Ni,Cr等微量元素[6]

参考文献

[1] 中草药 1993;24(3):115。
[2] 药学学报 1994;29(2):107。
[3] 药学杂志(日) 1975:95(2):211。
[4] Phytochemistry 1982;21(2):429。
[5] Planta Med 1987;53(3):273。
[6] 上海第一医学院学报 1981;8(2):123。
[7] 中药通报 1988;13(3):145。
[8] 中国药科大学学报 1991;22(1):13。

药理

①对中枢神经的作用 何首乌煎剂60g/kgig,可显著对抗东莨菪碱所致小鼠的记忆障碍[1]。 ②对心血管的作用 制首乌煎剂5g/kg ig,连续3d,或1次给药,对垂体后叶素引起的兔心电图T波升高均有拮抗作用,也对抗垂体后叶素引起的心率变慢[2]。 ③降血脂及抗动脉粥样硬化 制首乌醇提物0.084及0.84g/(kg·d)ig给药,对鹌鹑快速动脉粥样硬化模型,有显著抑制血浆总胆固醇,甘油三酯,游离胆固醇和胆固醇酯,提高血浆中高密度脂蛋白胆固醇和总胆固醇比值的作用,预防动脉粥样硬化,随剂量增大,作用增加[3]。2%及0.4%何首乌粉的饲料,给老年鹌鹑长期喂服,能升高血浆高密度脂蛋白胆固醇及降低过氧化脂质,延长寿命[4]。首乌粉4g/只混于饲料中喂饲大鼠8wk,可降低高脂血症大鼠血清总胆固醇及甘油三酯,也降低主动脉胆固醇及肝脏甘油三酯含量[5]。何首乌注射液0.33mg/ml体外试验能显著增加肝细胞内胆固醇的转化与排泄[6]。 ④补血作用 用高压法炮制的首乌的水温浸液,30g/kg ig,连续14d,对出血性血虚小鼠,可使血红蛋白含量升高,红细胞数增加,而生首乌无明显作用;生首乌,药典法制首乌,高压法制首乌的水浸酒沉液,30g/kg ig,连续21d,均可使血虚小鼠血红蛋白含量及红细胞数增加[7]。何首乌水煎醇提液(1g/ml)0.2ml/只,sc,1d2次,连续3d,给于受体小鼠(扩散盒法),有促进造血功能作用,对粒系祖细胞的生长有促进作用[8]。 ⑤对免疫功能的影响 经黑豆汁拌蒸32h炮制的制首乌6g/kg给小鼠ig,能对抗强的松龙的免疫抑制作用,使胸腺,腹腔淋巴结,肾上腺的重量及白细胞总数增加,腹腔巨噬细胞吞噬能力提高,并能增加红细胞C3b受体的活性[9]。何首乌的水提醇沉淀部分25mg/kg连续ip7d,能增加小鼠脾脏重量,对胸腺影响不大。6.25~100mg/kg连续ip3d,可显著提高正常小鼠由ConA诱导的胸腺及脾脏淋巴细胞增殖反应,对由ConA诱导的脾脏T淋巴细胞增殖反应也有增加效应。但对由LPS诱导的脾脏B淋巴细胞的增殖反应影响不大。12.5~100mg/kg连续3d sc,可显著增加正常小鼠脾脏抗体形成的细胞数[10]。 ⑥延缓衰老与抗氧化作用 隔日给予0.5ml何首乌水煎剂(1g/1ml)连续7mo,可显著对抗11mo龄小鼠SOD的降低(11月龄小鼠SOD是2月龄的55%),使之保持2月龄的水平,并能抑制血中铜蓝蛋白的增长(11月龄小鼠铜蓝蛋白是2月龄的185%),何首乌0.5g/只,隔日ig,持续7d,能明显对抗年老小鼠的肾上腺萎缩[11]。何首乌水提液5mg生药/30ml提取液喂养90d能促进NIH小鼠血液红细胞超氧化物歧化酶的活性,抑制肝脏脂质过氧化作用[12]。制首乌水提取液喂饲的黑腹果蝇,有明显延长其寿命的作用,推测此作用与抑制过氧化脂质有关[13]。何首乌针剂1μg/ml和0.1μg/ml对人胚肺二倍体细胞有延长其生长周期,使二倍体细胞外形,细胞表面结构和细胞器维持较好形态的作用[14]。何首乌248mg/ml体外检测对小鼠脑MAO-B活性有很强的抑制作用[15]。赤首乌煎剂,0.1mg/ml体外检测能显著抑制大鼠脑内MAO-B的活性[16]。何首乌煎剂1g/只,对柴胡、氢化可的松所致的小鼠血中SOD含量下降,何首乌也有显著的对抗作用[17]。何首乌所含均二苯代乙烯(Stilbene)成分2,3,4’,5,-tetrahydroxy stilbene-2-O-D-glucoside50,100mg/kg po.对氧化玉米油所致大鼠的脂肪肝和肝功能损害,肝脏过氧化脂质含量上升,血清谷丙转氨酶的及谷草转氨酶的升高等均有显著的对抗作用,还能使血清游离脂肪酸及肝脏过氧化脂质显著下降,体外能抑制由ADP及NADPH所致大鼠肝微粒体脂质的过氧化,故何首乌是通过抑制过氧化脂质的产生及对肝细胞的破坏而起到保肝作用[18]。 ⑦抗菌作用 何首乌水煎膏100%浓度,试管法对人型结核杆菌有抑制作用[19]。何首乌水煎剂100%浓度对福氏痢疾杆菌有抑制作用[20]。 ⑧其它何首乌注射液0.01,0.03,0.16mg/ml,体外培养试验,对大鼠乳鼠肝细胞DNA复制有明显加强作用[21]。制首乌醇提液350mg/kgig,连续7d,可使去肾上腺并饥饿小鼠的肝糖原含量增加,生首乌无此作用[22]。大黄酚和首乌浸膏可促进动物肠管运动[23]

毒性:生首乌冷浸液ip对小鼠的LD50为5.5g/kg,生首乌醇渗漉液为2.7g/kg;制首乌醇渗漉液ip对小鼠的LD50为169.4g/kg;生首乌醇渗漉液ig对小鼠的LD50为50g/kg,而制首乌醇渗漉液ig1000g/kg,小鼠无死亡,表明制首乌与生首乌毒性相差甚大[22]

参考文献

[1] 中药药理与临床 1990;6(5):16。
[2] 中医杂志 1981;22(2):109。
[3] 中西医结合杂志 1984;4(12):748。
[4] 中西医结合杂志 1988;8(4):223。
[5] 中药药理与临床 1987;4(4):41。
[6] 中医药学报 1987;3(3):39。
[7] 同济医科大学学报 1987;16(3):177。
[8] 中西医结合杂志 1984;4(9):533。
[9] 中药通报 1987;12(3):149。
[10] 中药药理与临床 1989;5(1):24。
[11] 药学通报 1984;19(11):28。
[12] Planta Med 1987;53(3):309。
[13] 老年学杂志 1988;8(1):33。
[14] 老年学杂志 1988;8(6):357。
[15] 中医药信息 1985;(1):12。
[16] 现代应用药学 1987;4(2):8。
[17] 成都中医学院学报 1983;(4):49。
[18] Planta Med 1983;49(1):51。
[19] 辽宁医学杂志 1960;(7):29。
[20]药学通报 1960;8(2):59。
[21] 中国中药杂志 1990;15(11):691。
[22] 中成药研究 1982;(1):21。
[23] 中药药理与应用,人民卫生出版社,1983:535。

药性

性味:苦、甘、涩,微温。 ①《何首乌传》:“甘,温。” ②《开宝本草》:“苦、涩,微温。” ③《本草汇言》:“生用气寒,性敛,有毒;制熟气温。”

归经:入肝、肾经。 ①《纲目》:“足厥阴、少阴。” ②《本草经解》:“入足少阳胆经、手少阳三焦经、手少阴心经、足少阴肾经。” ③《本草再新》:“入脾、肺、肾三经。”

功效:补肝,益肾,养血,祛风。

主治:肝肾阴亏,发须早白,血虚头晕,腰膝软弱,筋骨酸痛,遗精,崩带,久疟,久痢,慢性肝炎,痈肿,瘰疬,肠风,痔疾。 ①《何首乌传》:“主五痔,腰腹中宿疾冷气,长筋益精,能食,益气力,长肤,延年。” ②《日华子本草》:“治一切冷气及肠风。” ③《开宝本草》:“主瘰疬,消痈肿,疗头面风疮,五痔,止心痛,益血气,黑髭鬓,悦颜色,亦治妇人产后及带下诸疾。” ④王好古:“泻肝风。” ⑤《滇南本草》:“涩精,坚肾气,止赤白便浊,缩小便,入血分,消痰毒。治赤白癜风,疥疮顽癣,皮肤瘙痒。截疟,治痰疟。” ⑥《药品化义》:“益肝,敛血,滋阴。治腰膝软弱,筋骨酸痛,截虚疟,止肾泻,除崩漏,解带下。” ⑦《本草述》:“治中风,头痛,行痹,鹤膝风,痫症,黄疸。” ⑧《本草再新》:“补肺虚,止吐血。” ⑨广州部队《常用中草药手册》:“治神经衰弱,慢性肝炎。” ⑩《江西草药》:“通便,解疮毒;制熟补肝肾,益精血。”

用法用量:内服:煎汤,9~15g;熬膏,浸酒或入丸、散。外用:煎水洗,研末撒或调涂。

使用注意:大便溏泻及有湿痰者不宜。 ①《何首乌传》:“忌猪、羊肉血。” ②《开宝本草》:“忌铁”。 ③《医学入门》:“茯苓使。忌萝卜。得牛膝则下行。” ④《纲目》:“忌葱、蒜。”

临床应用

配伍应用:①配人参,治疟久不愈,气血两虚者。 ②配熟地黄,治须发早白。 ③配黑芝麻,治血虚肠燥.大便秘结等症。 ④配枸杞子,治肝肾不足,腰膝酸痛,发白不华等症。 ⑤配怀牛膝,治肝血不足之头晕,目眩,肢体麻木。 ⑥配桑椹,治阴虚血少之头晕,目眩,心悸不寐。 ⑦配白蒺藜,治肾虚肝郁之头晕,头痛,失眠等症。 ⑧配银杏叶、钩藤,治动脉硬化,高血压,冠心病等。 ⑨配当归、肉苁蓉、胡麻仁,治虚人、老人等大便秘结。 ⑩配枸杞子、菟丝子、牛膝,治肝肾虚亏,须发早白,梦遗滑精,筋骨不健等症。 ⑾配覆盆子、女贞子、杜仲,治老年体虚,耳鸣头晕,四肢酸麻。 ⑿配白蒺藜、女贞子、旱莲草,治肝肾不足,精血亏损,水不涵木,肝阳上扰诸症。 ⒀配枸杞子、当归、菟丝子,治血虚体弱,腰膝酸软,头晕眼花,须发早白,未老先衰,或遗精,带下等症。 ⒁配桑寄生、灵芝、丹参,治高胆固醇血症,高血压,冠心病。 ⒂配连翘、夏枯草、玄参,治瘰疬疮肿。 ⒃配党参、当归、陈皮,治久疟。 ⒄配苦参、白鲜皮、荆芥、防风,治风疹瘙痒。 ⒅配生地、白芍、女贞子、怀牛膝,治肾阴不足,肝阳上亢,眩晕,耳鸣,多梦失眠等症。 ⒆配金银花、荆芥、苍术、白鲜皮,治湿热疮毒,瘰疬痈疽等症。 ⒇配当归、肉苁蓉、黑芝麻、火麻仁,治津血不足而致的肠道津液缺乏,肠管传导涩滞,大便秘结不通者。 (21)配沙参、麦冬、玉竹、五味子,治心肌梗塞,属阴虚型。 (22)配磁石、丹参、五味子、酸枣仁、川芎(小量),治抑制型神经衰弱。 (23)配熟地、当归、白芍、阿胶、白术,治肝肾不足,血虚气衰及各种贫血症。 (24)配黄精、柏子仁、菖蒲、郁金、延胡索,治心绞痛。

方选和验方: ①何首乌丸(《魏氏家藏方》)治感暑中风,半体无汗;妇人血虚,风邪停滞,手足痿缓,肢体麻痹,皮肤瘙痒;五痔下血:何首乌500g(赤、白色者各半,米泔浸3宿,取出,用竹刀刮去皮,薄切,焙干),赤芍药120g。上为细末,炼蜜为丸,如梧桐子大。每服30~50丸,食后用温酒或饭饮送下,日进2服。 ②何首乌丸(《赤水玄珠》)治久疟阴虚,热多寒少,以此补而截之:何首乌,为末,鳖血为丸,黄豆大,辰砂为衣,临发,五更白汤送下2丸。 ③何首乌丸(《圣惠方》)治颈项生瘰疬,咽喉不利:何首乌60g,昆布60g(洗去咸味),雀儿粪30g(微炒),麝香0.3g(细研),皂荚10挺(去黑皮,涂酥,炙令黄,去子)。上药,捣罗为末,入前研药一处,同研令匀,用精白羊肉500g,细切,更研相和,捣500~600杵,丸如梧桐子大。每于食后,以荆芥汤下15丸。 ④何首乌丸(《中药临床应用》)治血虚体弱,有腰膝酸软,头晕眼花,须发早白,未老先衰,或遗精,带下等症状者;尤其适用于虚不受补者:何首乌15g,菟丝子、当归、牛膝、补骨脂各9g。研末,炼蜜为丸。每服9g,淡盐汤送下。 ⑤延寿丹(《世补斋医书》)治肝肾不足,头晕眼花,耳鸣健忘,腰膝无力,四肢酸麻,夜尿频数,须发早白;现用于高血压病,动脉粥样硬化,冠状动脉硬化性心脏病属肝肾不足者:何首乌2.25kg,豨莶草、菟丝子、桑椹膏、黑芝麻膏、金樱子膏、墨旱莲膏各500g,杜仲、牛膝、女贞子、霜桑叶各250g,忍冬藤、生地各120g。先将9味药研细末,合4膏和匀,酌加炼白蜜捣丸。每服9g,每日2次。 ⑥七宝美髯丹(《积善堂经验方》)乌须发,壮筋骨,固精气:赤、白何首乌各500g(米泔水浸3~4日,瓷片刮去皮,用淘净黑豆60g,以砂锅木甑铺豆及首乌,重重铺盖,蒸至豆熟取出,去豆,暴干。换豆再蒸,如此9次,暴干为末).赤、白茯苓各500g(去皮,研末,以水淘去筋膜及浮者,取沉者捻块,以人乳2000ml浸匀,晒干,研末),牛膝240g(去苗,酒浸1日,同何首乌第7次蒸之,至第9次止,晒干),当归240g(酒浸,晒),枸杞子240g(酒浸,晒),菟丝子240g(酒浸生芽,研烂,晒),补骨脂120g(以黑脂麻炒香,并忌铁器,石臼捣为末)。炼蜜和丸弹子大150丸,每日3丸,清晨温酒下,午时姜汤下,卧时盐汤下。其余并丸梧子大,每日空心酒服100丸,久服极验。 ⑦何首乌散(《太平圣惠方》)治妇人血风,皮肤瘙痒,心神烦闷;并治血游风:何首乌,防风(去芦头)、白蒺藜(微炒,去刺)、枳壳(麸炒微黄,去瓤)、天麻、胡麻、白僵蚕(微炒)、茺蔚子、蔓荆子各15g。捣细罗为散。每服3g,煎茵陈汤调下,不计时侯。 ⑧何首乌散(《太平惠民和剂局方》)治脾肺风毒攻冲,遍身疥癣瘙痒,或生瘾疹,搔之成疮,肩背拘倦,肌肉顽痹,手足皴裂;并治紫癜,白癜:荆芥穗、蔓荆子(去白皮)、蚵蚾草(去土)、威灵仙(净洗)、何首乌、防风(去芦、叉)、甘草(炙)各2.5kg。上药捣罗为末。每服3g,食后用温酒或沸汤调下。 ⑨何首乌散(《证治准绳·疡医》)治筋伤骨折初起:何首乌、当归、赤芍药、白芷、乌药、枳壳、防风、甘草、川芎、陈皮、香附、紫苏、羌活、独活、肉桂。上药加薄荷、生地黄同煮,入酒和服,加减:疼痛甚者,加乳香、没药。 ⑩何首乌散(《普济方》)治遍身疮肿痒痛:防风、苦参、何首乌、薄荷各等份。上为粗末。每用15g,水,酒各半,煎10沸,热洗。于避风处睡一觉,其痛甚者3日愈。 ⑾不寐膏方(《陈莲舫医案精华》)治不寐:制首乌、淡苁蓉、元生地、抱茯神、大丹参、龙眼肉、白木耳各15g,焙甘杞、潼蒺藜、酸枣仁、川杜仲、白蒺藜、新会络、潞党参、姜半夏、寸麦冬各9g,佛手花、西洋参、红旗参各6g,范志曲12g,沉香屑3g,湘莲子30g,陈阿胶、龟板胶各60g。收膏,每服1食匙,每日2次。 ⑿首乌汤(《杂病源流犀烛》)治肝经血虚火旺,筋燥强急,颈项强痛:首乌15g、牛膝9g、萆薢、泽泻、甘草各3g。水煎服。 ⒀首乌白芍汤(《镐京直指医方》)治泄泻日久,肝脾阴伤者:制首乌、北沙参、白茯苓、扁石斛各9g,银柴胡4.5g,黑驴胶(蛤粉炒)、生白芍各6g,生苡仁18g,生谷芽15g。水煎服。 ⒁何首乌汤(《疡医大全》)治湿热风毒,遍身脓窠,黄水淋漓,肌肉破烂:何首乌、防风、金银花、荆芥、苍术、白鲜皮、甘草、苦参、连翘、木通。以灯心为引,水煎服。或为细末,水叠为丸,每服9g,用淡酒送下。 ⒂何人饮(《景岳全书》)治疟疾久发不止,气血两虚,症见面色萎黄,舌淡,脉缓大而虚:何首乌15g,人参3g,当归、陈皮各6g,生姜3片。水煎,或酒水共煎,每日1剂,疟发前2小时服。 ⒃追疟饮(《景岳全书》)治疟疾,血气未衰,屡散之后,疟仍不止者:何首乌30g(制),当归、甘草、半夏、青皮、陈皮、柴胡各9g。上药用井水、河水各200ml,煎至200ml,滓亦如之,同露一宿。次早空腹时温服200ml,饭后再服200ml。 ⒄首乌当归鳖甲饮(《慈航集》)治三阴疟,午时以后发,病属邪入阴分者:赤色鲜首乌(打碎)60g,怀牛膝30g(酒泡),当归15g,生鳖甲30g,广橘皮9g。河、井水煎,疟发前温服。加好酒适量更妙。 ⒅首乌青蒿鳖甲饮(《慈航集》)治温疟,阴虚发热,脉弱者:赤色鲜首乌24g(打碎),青嵩9g,鳖甲、当归各15g,柴胡4.5g,青皮6g,草蔻仁3g。水煎服。 ⒆何首乌酒(《经验方》)治骨软风,腰膝痛,行履不得,遍身瘙痒:何首乌(大而有花纹)、牛膝各500g。以好酒1000ml,浸7宿,焙干,于木白中捣末,蜜和为丸。每日空腹时,用酒送下30~50丸。 ⒇《本草汇言》:“治瘰疬延蔓,寒热羸瘦,乃肝(经)郁火,久不治成劳:何首乌如拳大者500g,去皮如法制,配夏枯草120g,土贝母、当归、香附各90g,川芎30g。共为末,炼蜜丸。每早晚各服9g。” (21)《博济方》:“治疥癣满身:何首乌、艾各等份,锉为末。上相度疮多少用药,并水煎令浓,盆内盛洗,甚解痛生肌。” (22)丹参首乌片(《冉氏经验方》)治神经衰弱性失眠症:何首乌2.5kg,五味子1kg,丹参1.5kg,黄连、苦参各60g。以上4味,除何首乌保留用量1.25kg外,其余切片,片厚0.5cm,加水煎煮,水量以超过药面3~5cm为度,共煮3次。第1次煮1小时,第2次煮2小时,第3次煮1小时,均以沸腾时间始计算,过滤,合并3次滤液备用;除处方量1/2何首乌(1.25kg)研为细粉,过100目筛;将煎出液蒸发浓缩,至取出1滴,滴滤纸上呈1小圆珠。不渗纸为度;将浓缩液与何首乌粉末于搅拌机内混合均匀,分成小块,于70℃以下温度干燥;将干浸膏粉为细粉,过100目筛,用乙醇70%作粘合剂,制为颗粒,于60℃以下温度干燥;加入适量硬脂酸镁压片,用直径10mm深凹形片模压制,片重0.3g;按常法包糖衣,用氧化铁为色素上巧克力色,用白蜡打光,每瓶100片蜡封,每服3~5片,1日2~3次,温开水送下。 (23)心痛汤(《全国中草药汇编》)治心绞痛:何首乌、黄精各12g,柏子仁9g,菖蒲、郁金各6g,延胡索3g。水煎服,每日1剂。 (24)《安徽中草药》:“治老年血管硬化,高血压:何首乌15g,桑寄生12g,女贞子、旱莲草各9g。煎服。” (25)《安徽中草药》:“治脂溢性脱发:制首乌、当归、女贞子、旱莲草、菟丝子各等量。共研细末,炼蜜为丸,每次6~9g,每日3次,开水冲服。” (26)三乌散(辽宁医药 1978;(1))治面神经麻痹:首乌30g,川乌(醋炒)、草乌(酒炒)各50g。共研细末,混合后加酒、醋各150g搅拌成糊状加热而成。先用手蘸酒在瘫痪面肌上按摩1分钟,把粥状糊剂(为70℃)均涂瘫痪面肌上约1mm厚,待冷后把糊剂刮下再涂上另一层,反复涂抹持续3~4小时之久,直到面部感到疼痛难忍为止,把糊剂全部刮下。涂药同时以疏风活血汤:当归25g,川芎、桃仁、红花、木瓜、白芷、僵虫、全虫各15g,白附子20g,黄芪、藿香各50g。水煎服,每日1剂2次服,约服5剂。 (27)明通医药 1980;(4):“治干性脂溢性皮炎(白屑风):生地30g,首乌、丹参、桑叶、生胡麻各15g,阿胶(溶化)、桃仁、红花各10g,丹皮12g,甘草6g。水煎服,日服2次。” (28)湖北中医杂志 1981;(1):“治十二指肠溃疡:何首乌(生熟均可)60g,小茴香(炒)30g,猪肚1只。何首乌、小茴香(用纱布装好扎口)、猪肚,加水适量。上3样同煮。以猪肚煮烂为度,除去纱布药袋,将猪肚连汤分9份,1日服3次,1次服1份,3天服完。12个猪肚为1个疗程。” (29)首乌苡仁酒(浙江中医杂志 1982;(5))治肾虚风寒腰痛:制首乌180g,生薏仁120g。共浸泡于白酒中,蜡封瓶口,置阴凉处15天,去渣备用。服用时,每日早晚各1次,1次20ml。 (30)首乌酒(山东中医杂志 1983;(4))治白发(局限性白发,弥漫性白发):制首乌、熟地各30g,当归15g,浸泡于1000ml粮食白酒中,10~15天开始饮用,每日服1~2盅(约15~30ml),宜连续服用。 (31)湖南医药杂志 1983;(4):“治斑秃:首乌、熟地、枸杞、女贞子各15g,升麻5g,远志6g,菟丝子、枣仁各9g,旱莲草12g,茯苓、当归、阿胶各10g。水煎,1日1剂,连服10~20剂。服药期间,每天用老姜1片,轻涂擦脱发处,每次1~2分钟,每天2次,直至头发长满为止。” (32)首乌散(福建中医药 1987;(1))治常见皮肤病(妊娠瘙痒症,老年瘙痒症,结节性痒疹,接触性皮炎,慢性湿疹和荨麻疹等):何首乌、胡麻仁(黑芝麻)各15~30g,威灵仙、石菖蒲、荆芥、苦参各10g。水煎服,每日1剂,小儿酌减。如血虚燥加当归、生地、熟地;瘙痒剧烈加蝉退、蛇床子、刺蒺藜、防风;皮损渗液多者加黄柏、银花、萆薢;局部有红、肿、疼痛者加紫草、赤芍、地丁草;病程较长,病情顽固者试加桃仁、红花、丹参、蕲蛇、雷公藤等。不加用西药及其他外用药,治疗期间,禁食酒、醋及辛辣刺激之品;不用肥皂、香皂洗澡。 (33)首乌延寿汤(浙江中医杂志 1987;(4))治脑动脉硬化:制首乌、桑椹各15g,明天麻、煅石决、怀牛膝、丹参、炙龟板、白茯苓各10g,法半夏、粉甘草各5g。并发冠心病加瓜蒌皮,藏红花、泽泻、并发高血压病加玉米须、夏枯草、草决明,并发高血脂症加山楂、葛根。 (34)乌蓉补精汤(辽宁中医杂志 1988;(6))治男性不育症:何首乌30g,肉从蓉25g,菟丝子、山药各15g,蛇床子、熟地各10g。水煎服,每日1剂。早晚分服,连续2个月为1疗程。服药期间房事应间隔1周以上1次,并忌酒,茶。 (35)首乌芝麻散(云南中医杂志 1990;(1))治老年虚症(精神不振,腰膝酸软,饮食不佳,慢性咳嗽,头晕眼花,心悸气短,大便秘结。小便频数):制首乌、果杞、黑芝麻、胡桃仁各等份。炒熟研为细末成散剂(亦可装入胶囊内服)。每次3g,每日2~3次,开水冲服。 (36)乌发豆(明通医药 1991;(2))用于肝肾精血亏虚,须发早白,脱发等症:制首乌、黑芝麻、生地黄、生侧柏、女贞子、旱莲草各30g,川椒9g,陈皮15g,大青盐12g,黑豆500g。将上药味(黑豆除外)煎2次,去渣,药液合并再煎为稀汁;黑豆洗净加入,煮至药汁吸收完全,取出黑豆晾干,装瓶,每次嚼60粒,1日3次。 (37)女贞桑椹煎(明通医药 1991;(2))治肝肾阴亏的眩晕,须发早白等:女贞子、炙首乌各12g,桑椹15g,旱莲草10g。水煎服,日3次。 (38)首乌合剂(明通医药 1991;(3))用于降低血清胆固醇:生首乌、熟地、麦冬、夜交藤、北沙参、元参、合欢皮各15g,杭菊花、鸡冠花、杭白芍各10g。水煎服,每日1剂。 (39)降脂汤(明通医药 1991;(3))用于降低血清胆固醇:何首乌15g,枸杞子10g,草决明30g。水煎分2次服,疗程为2个月。

单方应用:①《圣惠方》:“治大肠风毒,泻血不止:何首乌60g,捣细罗为散,每于食前,以温粥饮调下3g。” ②《濒湖集简方》:“治自汗不止:何首乌末,水调。封脐中。” ③《卫生杂兴》:“治破伤血出:何首乌末敷之即止。” ④广东医学 1964;(4):“治疟疾:何首乌18~24g,甘草1.5~3g(小儿酌减)。每日1剂,浓煎2小时,分3次食前服,连服2天。” ⑤新医药学杂志 1973;(5):“治疖肿:新鲜何首乌1kg,切片,放锅内(勿用铁锅)加水浓煎成250ml。外搽患处,每日1~3次。” ⑥《食物中药与便方》:“治高血压,血管硬化:何首乌(蒸制)每日15g,水煎去渣,分2次服。” ⑦浙江中医杂志 1991;(6):“治高脂血症:制首乌30g。加水300ml,煎20分钟,取汁150~200ml,分2次温服。每日1剂。20天为1疗程。”

食疗:①何首乌煲鸡(《饮食疗法》治妇女子宫脱垂,白带,痔疮,脱肛等:何首乌30g,研末,雌小鸡1只(约500g)。以白纱布2~3层包何首乌末,纳鸡腹中,加水适量入砂锅内煨烂。取出何首乌末袋,加盐、姜、酒调味,饮汤吃鸡,1日内分2次服完。 ②何首乌煲鸡蛋(《饮食疗法》)治血虚体弱,头晕眼花,须发早白,脱发过多,未老先衰,遗精,白带过多,血虚便秘等:何首乌60g,鸡蛋2只。何首乌切片与鸡蛋加水同煮。鸡蛋熟后去壳取蛋再煮片刻,吃蛋饮汤。 ③首乌肝片(《家庭时令中药进补及药膳》)用于补肝肾,益精血,乌发明目:何首乌10g,切片,用水浓煎取汁10ml。猪肝250g,切条状片放入锅内炒一下,加入首.乌汁、水芡、佐料,以旺火翻炒一会即可食。 ④乌须酒(《寿世保元》)用于乌须黑发,延年益寿:赤白何首乌各500g,生地、生姜汁各120g,红枣肉、胡桃肉、莲肉各90g,当归、枸杞子各60g,麦冬30g。用米酒7.5kg,浸半月,去渣,加白蜜90g。任意饮30ml。 ⑤何首乌粥(《大众医学》)用于肝肾不足,头晕耳鸣,头发早白,贫血,神经衰弱及老年性高血压,便秘等:制何首乌60g,粳米100g,大枣3枚,冰糖少许。何首乌入砂锅煎取浓汁去渣,再与粳米、大枣,冰糖同煮成粥,熟后即可食。每日1次作早、晚餐食用。食用期间,忌吃葱、姜、萝卜、猪肉、羊肉。大便溏薄者忌用。

医药家论述

①李时珍《纲目》:“何首乌,白者入气分,赤者入血分,肾主闭藏,肝主疏泄,此物气温味苦涩,苦补肾,温补肝,能收敛精气,所以能养血益肝,固精益肾,健筋骨,乌髭发,为滋补良药,不寒不燥,功在地黄、天门冬诸药之上。气血太和,则风虚,痈肿,瘰疬诸疾可知(除)矣。” ②张德裕《本草正义》:“首乌,专入肝肾,补养真阴,且味固甚厚,稍兼苦涩,性则温和,皆与下焦封藏之理符合,故能填益精气,具有阴阳平秘作用,非如地黄之偏于阴凝可比。……好古谓泻肝风,乃是阴不涵阳,水不养木,乃致肝木生风,此能补阴,则治风先治血,血行风自灭,亦其所宜。但此是滋补以息风,必不可误以为泻肝。” ③倪朱谟《本草汇言》:“何首乌,前人称为补精益血,种嗣延年,又不可尽信其说。但观《开宝》方所云,治瘰疬,消痈肿,灭五痔,去头面热疮,苏腿足软风,其作用非补益可知矣。惟其性善收涩,其精滑者可用,痢泄者可止,久疟虚气散漫者可截,此亦莫非意拟之辞耳。倘属元阳不固而精遗,中气衰陷而泄痢,脾元困疲而疟发不已,此三证,自当以甘温培养之剂治之,又不必假此苦涩腥劣,寒毒损胃之物所取效也。” ④张璐《本经逢原》:“何首乌,生则性兼发散,主寒热痎疟,及痈疽背疮皆用之。今人治津血枯燥及大肠风秘,用鲜者数钱,煎服即通,以其滋水之性最速,不及封藏,即随之而下泄也。与苁蓉之润燥通大便无异,而无助火之虞,肠风脏毒,用干者为末,米饮日服二三钱有效,盖其内温肝肾,外祛少阴风热之验也。丹方治久疟,用生干何首乌一两,柴胡三钱,黑豆随年数加减煎成露一宿,清晨热服,若夜疟尤效,乃散中寓收,补中寓散之法。” ⑤黄宫绣《本草求真》:“何首乌,诸书皆言滋水补肾,黑发轻身,备极赞赏,与地黄功力相似。独冯兆张辨论甚晰,其言首乌苦涩微温,阴不甚滞,阳不甚燥,得天地中和之气,熟地,首乌,虽俱补阴,然地黄蒸虽至黑,则专入肾而滋天一之真水矣。其兼补肝肾者,因滋肾而旁及也。首乌入通于肝,为阴中之阳药,故专入肝经以为益血祛风之用,其兼补肾者,亦因补肝而兼及也。一为峻补先天真阴之药,故其功可立救孤阳亢烈之危;一系调补后天营血之需,以为常服,长养精神,却病调元之饵。先天,后天之阴不同,奏功之缓急轻重,亦有大异也。况补血之中,尚有化阳之力,岂若地黄功专滋水,气薄味厚,而为浊中浊者,坚强骨髓之用乎?斯言论极透辟,直冠先贤未有,不可忽视。” ⑥王秉衡《重庆堂随笔》:“何首乌,内调气血,外散疮痈,功近当归,亦是血中气药。第当归香窜,主血分风寒之病,首乌不香,主血分风热之疾为异耳。故同为妇科要药,兼治虚疟,并滑大肠,无甚滋补之力,昔人谓可代熟地,实未然也。” ⑦陈修园《本草经读》:“何首乌,余于久疟久痢多取用之。盖疟少阳之邪也,久而不愈,少阳之气惯为疟邪所侮,俯首不敢与争,任其出入往来,绝无忌惮。纵旧邪已退,而新邪复乘虚入之,则为疟;纵新邪未入,而荣卫不调之气自袭于少阳之界亦为疟。首乌妙在直入少阳之经,其气甚雄,雄则足以折疟邪之势;其味甚涩,涩则足以堵疟邪之路。邪若未净者,佐以柴、苓、橘、半;若已净者,佐以参、术、耆、归,一二剂效矣。设初疟而即用之,则闭门逐寇,其害有不可胜言者矣。久痢亦用之者,以土气久陷,当于少阳求其生发之气也,亦以首乌之味最苦而涩,苦以坚其肾,涩以固其脱;宜温者与姜、附同用,宜凉者与芩、连同用,亦捷法也。此外,如疽疮,五痔之病,则取其通经络;瘰疬之病,则取其入少阳之经;精滑,泄泻,崩漏之病,则取其涩以固脱。若谓首乌滋阴补肾,能乌须发,益气血,悦颜色,长筋骨,益精髓,延年,皆耳食之误也。凡物之能滋润者,必其脂液之多也;物之能补养者,必气味之和也。试问涩滞如首乌,何以能滋?苦劣如首乌,何以能补?今之医辈,竟奉为补药上品者,盖惑于李时珍《纲目》不寒不燥,功居于地黄之上之说也。”

参考文章