¿î¶¬»¨

¸Å¿ö

ÒìÃû£º¶¬»¨(¡¶Íò¼Ò³­·½¡·)£¬¿î»¨(¡¶´¯Ññ¾­ÑéÈ«Êé¡·)£¬¿´µÆ»¨(¡¶±¾²Ý³çÔ­¼¯Ëµ¡·)£¬°¬¶¬»¨(¡¶É½Î÷ÖÐÒ©Ö¾¡·)£¬¾Å¾Å»¨(¡¶ÖÐÒ©Ö¾¡·)¡£

»ùÔ´£ºÎª¾Õ¿Æ¿î¶¬ÊôÖ²Îï¿î¶¬µÄ»¨ÀÙ¡£¿î¶¬ÊôΪµ¥ÖÖÊôÖ²Î²¢ÈëÒ©¡£

Ô­Ö²Î¿î¶¬Tussilago farfara L£®

ÀúÊ·£º¿î¶¬»¨Îª³£ÓÃÖÐÒ©£¬¡¶±¾¾­¡·ÁÐÖÐÆ·£¬Àú´ú±¾²Ý¾ùÊÕÔØ£¬¡¶ÖйúÒ©µä1963Äê°æ¡·ÒÔÀ´¸÷°æ¶¼ÓÐÊÕÔØ£¬Ðí¶àÖØÒªÒ½Ò©Êé¼®Òà¶¼ÊÕÔØ£¬Ò©²ÄÔ­Ö²ÎïÎÞ»ìÂÒ¡£

ÐÎ̬£º¶àÄêÉú²Ý±¾¡£Ôç´º³öҶǰ£¬Óɸù×´¾¥³é³ö»¨ÝãÊýÖ¦£¬³¤5¡«10cm£¬±»Êè»òÃܵÄÃÞ룬¾ß»¥ÉúÁÛÆ¬×´Ò¶10ÓàÆ¬£¬³¤ÍÖÔ²ÐÎÖÁÅûÕëÐΣ¬ºì×ÏÉ«»òµ­×ϺÖÉ«¡£¸ù×´¾¥ºá×ߣ¬ºÖÉ«£¬ÓжàÊýÐë¸ù¡£»ùÉúÒ¶ÓÚ»¨ºóÉú³ö£¬Ò¶±ú³¤1¡«8cm£¬´øºì×ÏÉ«£¬±»°×É«ÃÞ룻ҶƬÖʽϺñ£¬¿íÐÄÐλòÂÑÐΣ¬³¤2£®5¡«12cm£¬¿í2¡«14cm£¬¶¥¶Ë¶Û£¬»ù²¿ÐÄÐλò½üÔ²ÐΣ¬±ßԵdz²¨×´£¬¶¥¶ËÓÐÔöºñ³Ê×ϺÖÉ«µÄÊè³Ý£¬±³Ãæ»Ò°×É«£¬Ãܱ»ÃÞë£¬ÕÆ×´ÍøÂö£¬Ö÷Âö5¡«9Ìõ¡£Í·×´»¨Ðò¶¥Éú£¬Ö±¾¶2¡«2£®5cm£¬×ܰúͲ״ÖÓÐΣ¬³¤Ô¼10mm£¬¿íÔ¼11mm£¬×ܰúƬ1¡«2²ã£¬±¡Ä¤ÖÊ£¬ÅûÕëÐΣ¬¶¥¶Ë¼â£¬³£´ø×ϺìÉ«£¬±³²¿ÓÐÖë˿״ÃÞ룬»¨ÍÐÆ½£¬ÎÞ룻Ե»¨Éà×´£¬´ÆÐÔ£¬»ÆÉ«£¬ÉàÆ¬ÏßÐΣ¬³¤5¡«6mm£¬»¨ÖùÉ쳤£¬ÖùÍ·2ÁÑ£¬ÖÐÑ뻨¹Ü×´£¬Á½ÐÔ£¬³¤Ô¼5mm£¬¶¥¶Ë5ÁÑ¡£Êݹû³¤ÍÖÔ²ÐΣ¬¾ß×ÝÀߣ»¹Ú볤Լ2mm£¬µ­»ÆÉ«¡£»¨¹ûÆÚ1¡«4Ô¡£(ͼ¼û¡¶Öйú¸ßµÈÖ²Îïͼ¼ø¡·£®µÚ4²á£®547Ò³ ͼ6507)

Éú¾³Óë·Ö²¼£ºÉúÓÚ·ÅÔ¡¢ºÓ±ß¡¢É³ÖʵػòÔÔÅà¡£·Ö²¼ÓÚÖйú»ª±±¡¢Î÷±±¡¢ºþ±±¡¢ºþÄÏ¡¢½­Î÷¡¢¹óÖݵÈÊ¡Çø¡£Ó¡¶È¡¢ÒÁÀÊ¡¢Ô­ËÕÁª¡¢Î÷Å·ºÍ·ÇÖÞ±±²¿Ò²Óзֲ¼¡£

ÉúÒ©

ÔÔÅࣺÒËÁ¹Ë¬ÊªÈóµÄÆøºò£¬¼É¸ßΣ¬Å¸ɺµ¡£ÍÁÈÀÒËÉîºñ·ÊÎÖ£¬±íÍÁÊèËÉ£¬ÐÄÍÁ½ôʵµÄɰÈÀÍÁ¡£Óøù×´¾¥·±Ö³£¬ÔÚ10¡«11Ô¼䶬ÔÔ£¬»ò±£²ØÖÁ´ÎÄê3Ô¼䴺ÔÔ¡£ÔÔǰ£¬½«½¡×³¸ù×´¾¥ÇгÉ10cm×óÓÒ³¤¶Î£¬°´ÖêÐоà20¡«25¡Á33cm£¬ÉîÔ¼10cm¿ª¹µ»ò¿ªÑ¨¡£ÌõÔÔ£¬½«¸ù¾¥Æ½·ÅÓÚ¹µÄÚ£»Ñ¨ÔÔ£¬Ã¿Ñ¨ÔÔ¸ù×´¾¥1¡«2¶Î¡£ÔÔºó¸²ÍÁѹ½ô£¬Ã¿Ä¶ÓÃÖÖÁ¿30¡«40kg¡£³öÃçºóËÉÍÁ³ý²Ý¡¢½½Ë®£¬È붬ǰ½áºÏÅàÍÁ£¬ÓþǷʻò¶Ñ·Ê×·Ê©£¬ÒÔ·À»¨ÀÙ³öÍÁ¶ø±ä³ÉÂÌÉ«£¬Ó°ÏìÖÊÁ¿¡£È붬ºó½áºÏÌï¼äÇå½à£¬Ø×È¥¿ÝÒ¶¡£Óê¼¾·ÀÖ¹»ýË®¡£²¡º¦Óкְ߲¡ºÍ¾úºË²¡£¬ÓÃ1¡Ã1¡Ã100µÄ²¨¶û¶àÒº»ò65%´úɭп¿ÉʪÐÔ·Û¼Á500±¶Òº·ÀÖΡ£³æº¦ÑÁ³æ¡¢½ð¹ê×Ó£¬ÓÃ40%ÀÖ¹ûÈéÓÍ800±¶Òº¡¢90%¾§ÌåµÐ°Ù³æ1000±¶ÒºÅçɱ¡£

²É¼¯£º10ÔÂÏÂÑ®ÖÁ12ÔÂÏÂÑ®ÔÚ»¨Î´³öÍÁʱ²ÉÍÚ£¬ÕªÈ¡»¨ÀÙ£¬È¥¾»»¨¹£¼°ÄàÍÁ£¬Òõ¸É¡£Ò©²ÄÖ÷²úÓÚÉÂÎ÷¡¢É½Î÷¡¢ºÓÄÏ¡¢¸ÊËà¡¢Çຣ¡¢ËÄ´¨¡¢ÄÚÃɹš£

¼ø±ð

ÐÔ×´£º»¨ÀÙµ¥Éú³É2¡«3¸ö»ù²¿Á¬Éú£¬µ¥¸ö»¨ÀÙ³¤Ô²°ôÐΣ¬É϶˽ϴ֣¬Ï¶˽¥Ï¸»ò´øÓж̱ú£¬³¤1£®0¡«2£®5cm£¬Ö±¾¶0£®5¡«1cm£»±íÃæ±»ÓжàÊýÓãÁÛ×´°úƬ£¬°úƬÍâ±íÃæ×ϺìÉ«»òµ­ºìÉ«£¬ÄÚ±íÃæ±»°×É«Ðõ×´È×ë£¬ÆøÏ㣬ζ΢¿à¶øÐÁ¡£ÒÔ¶ä´ó¡¢É«×Ϻ졢»¨¹£¶ÌÕßΪ¼Ñ¡£

ÏÔ΢ ·Ûĩרɫ¡£ ¢Ù·ÇÏÙ뼫³¤£¬1¡«4ϸ°û£¬Å¤ÇúÅÌÈÆ³ÉÍÅ£¬Ö±¾¶5¡«17¦Ìm£¬±Ú±¡¡£ ¢ÚÏÙë°ôé³ÐΣ¬Í·²¿ÉÔÅò´ó³ÊÍÖÔ²ÐΣ¬Ô¼4¡«6ϸ°û£¬±ú²¿¶àϸ°û£¬2ÁÐ(²àÃæ¹ÛÏÖ1ÁÐ)¡£ ¢Û¹ÚëΪ¶àÁÐÐÔ·Ö֦״룬¸÷·ÖÖ¦µ¥Ï¸°û£¬Ïȶ˽¥¼â¡£ ¢Ü»¨·ÛÁ£ÀàÔ²ÇòÐΣ¬¾ß3¿×¹µ£¬Íâ±Ú½Ïºñ£¬ÄÚÍâ²ãÃ÷ÏÔ£¬±íÃæÓмâ´Ì£¬Ã¿ÁÑÆ¬ÓÐ5´Ì¡£ ¢Ý»¨·ÛÄÒÄÚ±Úϸ°û±íÃæ¹ÛÀ೤·½ÐΣ¬¾ß×ÝÏòÌõ×´Ôöºñ±Ú¡£ ¢Þ°úƬ±íƤ±íÃæ¹Ûϸ°ûÀ೤·½ÐλòÀà¶à½ÇÐΣ¬´¹Öܱڱ¡»òÂÔ³ÊÁ¬Öé×´Ôöºñ£¬¾ßϸ²¨×´½ÇÖÊÎÆÀí£¬±ßÔµµÄ±íƤϸ°û³ÊÈÞë״¡£Æø¿×Ô²Ðλò³¤Ô²ÐΣ¬¸±ÎÀϸ°û4¡«7¸ö¡£ ¢ßͲ״»¨¹ÚÁÑÆ¬±ßÔµµÄÄÚ±íÆ¤Ï¸°û³¤Ô²ÐΣ¬ÓнÇÖÊÎÆÀí£¬½üÖÐÑëµÄϸ°ûȺÖåËõ²¢ÉÔÍ»Æð¡£ ¢àÖùÍ·±íƤϸ°ûÍâ±ÚÍ»Æð³ÊÈéÍ·×´£¬Óеķֻ¯³É¶ÌÈÞë״£¬±Ú±¡¡£Áí¿É¼ûºñ±Úϸ°û¡¢·ÖÃÚϸ°û¡¢¾ÕÌÇ¡£(ͼ¼ûÐì¹ú¾û¡¶ÖÐÒ©²Ä·ÛÄ©ÏÔ΢¼ø¶¨¡·£®393Ò³£®Í¼190)

¼Ó¹¤ÅÚÖÆ£ºÃۿ»¨ È¡Á¶ÃÛÓÃÊÊÁ¿¿ªË®Ï¡Êͺ󣬼ÓÈë¿î¶¬»¨ÖУ¬°èÔÈ£¬ÃÆÍ¸£¬ÖùøÄÚ£¬ÓÃÎÄ»ð¼ÓÈÈ£¬³´ÖÁ²»Õ³ÊÖΪ¶È£¬È¡³ö·ÅÁ¹¡£Ã¿¿î¶¬»¨100kg£¬ÓÃÁ¶ÃÛ25kg¡£

Öü²Ø£ºÖøÉÔï´¦£¬·À³±£¬·ÀÖû£»Ãۿ»¨£¬Ãܱգ¬ÖÃÒõÁ¹¸ÉÔï´¦¡£

»¯Ñ§ÐÔÖÊ

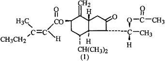
»¨º¬¿î¶¬¶þ´¼(Faradiol£¬C30H50O2)¡¢É½½ð³µ¶þ´¼(Arnidiol£¬C30H50O2)¡¢Á½ÕßΪÒì¹¹Ì壬·ÖÀë½ÏÀ§ÄÑ£»Áíº¬Ö²ÎïçÞ´¼¡¢Ü¿Ïãß°0£®36%£¬½ðË¿ÌÒß°0£®28%¡¢ÆÑ¹«Ó¢»ÆÖÊ¡¢÷·Öʼ°Õ³ÒºÖÊ[1]¡£´Ó¿î¶¬»¨ÖзֵÃÒ»ÐÂÝÆÀà³É·Ö£¬ÃüÃûΪ¿î¶¬»¨ËØ(Farfaratin)[2]£¬ÒÔ¼°Éý¸ßѪѹµÄÓÐЧ³É·Ö£­¿î¶¬Íª(Tussilagone)[3]£¬»¹·ÖµÃ¿¹ÑªÐ¡°å»î»¯Òò×Ó»îÐÔ³É·Ö¿î¶¬ËØ(Tussilagin£¬14£­Acetoxy£­7¦Â£­[3¡ä£­ethyl crotonoloxy]£­notonipetranone£¬)£¬¼×»ù¶¡Ëá¿î¶¬ËØõ¥(Tussilaginyl methylbutyrate£¬14£­Acetoxy£­7¦Â£­[3¡äethylcrotonoloxy]£­1¦Á£­[2¡ä£­methylbutyryloxy]£­noto£­nipetranone)£¬¼×»ù¶¡Ëá3£¬14£­Z£­È¥Çâ¿î¶¬ËØõ¥(3£¬14£­Dehydro£­Z£­tussilaginyl methylbutyrate)£¬7¦Â£­[3£­Ethyl crotonoyloxy]£­1¦Á£­[2£­methylbutyryloxy]£­3£¬14£­dehydro£­Z£­notonipetranone)£¬¼°¦Â£­¹ÈçÞ´¼¡£

¿î¶¬Íª¾ø¶Ô¹¹ÐÍÒѾ­È·¶¨[6]£¬¿î¶¬Ëؼ´¿î¶¬Íª(1)[4£¬6]£¬¿î¶¬»¨ËصĻ¯Ñ§½á¹¹ºÍÏà¶Ô¹¹ÐÍÓë¿î¶¬ÍªÏàͬ[7]£¬ÊÂʵÉÏ£¬FarfaratinºÍTussilaginÒÔ¼°Tussilagone¾ùΪͬһ»¯ºÏÎï¡£´Ó»¨ÖзֵÃǧÀï¹â¼î¡¢¿ËÊÏǧÀï¹â¼î(Senkirkine)¡¢Ð¿ËÊÏǧÀï¹â¼î(Neosenkirkine)¡¢Ç§Àï¹â·ÇÁé(Seneciphylline)¡¢È«ÔµÇ§Àï¹â¼î(Integerrimine)¡¢Òì¿î¶¬ËØ(Isotussilagin)¡¢×ÏÔÆÓ¢ËØ(Astragalin)¡¢3£¬4£­¶þ£­O£­¿§·Èõ£¿üÄáËá¼×õ¥(Methyl 3£¬4£­di£­O£­caffeoyL£®quinate)¡¢ÒìéÎÆ¤ß°ºÍÂÌÔ­Ëá[8£¬9]¡£

²Î¿¼ÎÄÏ×

[1] ÖвÝҩѧ ϲᣮ½­ËÕ¿ÆÑ§¼¼Êõ³ö°æÉ磬1987¡Ã1207¡£
[2] ҩѧѧ±¨ 1989£»24(12)¡Ã913¡«916¡£
[3] ÖйúҩѧÎÄÕª 1988£»5(5)¡Ã30¡£
[4] ±±¾©Ò½¿Æ´óѧѧ±¨ 1987£»19(1)¡Ã33¡£
[5] »¯Ñ§Ñ§±¨ 1987£»4(5)¡Ã405¡£
[6] Eur J Pharmacol 1987£»141(2)¡Ã269¡£
[7] ҩѧѧ±¨ 1989£»24(12)¡Ã913¡£
[8] CA 1994£»120¡Ã73418y¡£
[9] CA 1994£»120¡Ã294198d¡£

Ò©Àí

¢ÙÕò¿Èìî̵ ¿î¶¬»¨¼å¼Á1£®6g£¯kg ig£¬¶ÔµâÒºÒý¿ÈµÄÂé×íèÓÐÕò¿È×÷ÓÃ[1]¡£¼å¼Á1g£¯kg ig£¬¶ÔÂé×íèÓÐÇá΢ìî̵×÷ÓÃ[2]¡£ ¢Ú¶ÔÐÄѪ¹Ü×÷Óà ¿î¶¬»¨´¼ÌáÎï0£®4¡«1g£¯kg¡¢ÃÑÌáÎï0£®15g£¯kg iv£¬¾ù¿ÉʹÂé×íèѪѹÉý¸ß[3]¡£¿î¶¬Íª0£®2mg£¯kg iv£¬¿Éʹ¼¹Ã¨ÑªÑ¹Éý¸ß£¬¶ÔÀëÌåÍÃÖ÷¶¯ÂöÌõÓÐÊÕËõ×÷Ó㬵«×÷ÓýÏÈõ£¬0£®06mg£¯mlŨ¶È£¬Ï൱ȥ¼×ÉöÉÏÏÙËØ0£®24¦Ìmol£¯LµÄ×÷Ó㬿ͪµÄÉýѹ×÷ÓûúÖÆ¿ÉÄÜÓë´Ù½øÉñ¾­Ä©ÉÒÊͷŶù²è·Ó°·ÀàµÝÖÊÓëÖ±½ÓÊÕËõѪ¹Üƽ»¬¼¡ÓйØ[4]¡£ ¢ÛÆäËû ¿î¶¬»¨ÖзÖÀëµÃÒ»ÖÖ±¶°ëÝÆÀà³É·ÖL£­652£¬469£¬ÊÇÒ»ÖÖË«ÖØÊÜÌåÞ׿¹¼Á£¬¼ÈÄÜÒÖÖÆÑªÐ¡°å»î»¯Òò×Ó(PAF)¡¢Ò²ÄÜÒÖÖÆ¸ÆÍ¨µÀ×èÖͼÁÓëĤÊÜÌåµÄ½áºÏ£»ÒÖÖÆPAFÓÕµ¼µÄÍÃѪС°å¾Û¼¯£¬20»ò40¦Ìmol£¯LŨ¶È£¬¿ÉʹPAFÓÕµ¼ÑªÐ¡°å¾Û¼¯µÄED501£®2¡Á10£­10mol£¯LÌá¸ßΪ1£®5»ò2£®7¡Á10£­9mol£¯L£»50mg£¯kgig£¬¶ÔPAF»ò½Ç²æ²Ë½ºÓÕ·¢´óÊó×ãÖ×Õ;ùÓÐÒÖÖÆ×÷ÓÃ[5]¡£¿î¶¬ËØ(tussilagin)¶ÔPAFÒýÆðµÄÍÃѪС°å¾Û¼¯ÓÐÒÖÖÆ×÷Ó㬶ԸÆÍ¨µÀ×èÖͼÁÊÜÌå½áºÏÓÐ×è¶Ï»îÐÔ£¬ÆäIC50Ϊ1¦Ìg£¯ml[6]¡£

¶¾ÐÔ£º¿î¶¬»¨¶ÔСÊóµÄLD50£¬¼å¼ÁigΪ124g£¯kg£¬´¼ÌáÒºigΪ112g£¯kg£¬ÃÑÌáÈ¡Îï(¿îE)ipΪ43g£¯kg£»¿îE¶ÔÍÜ¡¢ó¸òÜ¡¢Ð¡Êó¡¢´óÊó¡¢ëàÊó¡¢Íõȣ¬¾ù¿ÉÒýÆðÐË·Ü¡¢¾·ÂΡ¢¾ªØÊËÀÍö[7]¡£

²Î¿¼ÎÄÏ×

[1] ÖлªÒ½Ñ§ÔÓÖ¾ 1954£»40(11)¡Ã849¡£
[2] ÖлªÒ½Ñ§ÔÓÖ¾ 1954£»40(5)¡Ã331¡£
[3] ҩѧѧ±¨ 1979£»14(5)¡Ã268¡£
[4] ÖйúÒ©Àíѧ±¨ 1986£»7(4)¡Ã333¡£
[5] Eur J Pharmacol 1987£»141(2)¡Ã269¡£
[6] ±±¾©Ò½¿Æ´óѧѧ±¨ 1987£»19(1)¡Ã33¡£
[7] ÖвÝҩͨѶ 1979£»(3)¡Ã28¡£

Ò©ÐÔ

ÐÔζ£º¢Ù¡¶±¾¾­¡·£º¡°Î¶ÐÁ£¬Î¡£¡± ¢Ú¡¶±ð¼¡·£º¡°¸Ê¡£¡± ¢Û¡¶Ò½Ñ§ÆôÔ´¡·£º¡°ÐÁ¡¢¿à¡£¡± ¢Ü¡¶Ò©Æ·»¯Òå¡·£º¡°Î¶Î¢¿à¡¢ÂÔÐÁ£¬ÐÔÆ½¡£¡± ¢Ý¡¶È«¹úÖвÝÒ©»ã±à¡·£º¡°ÐÁ¡¢¸Ê£¬Î¡£¡± ¢Þ¡¶ÖйúÒ©µä1990Äê°æ¡·£º¡°ÐÁ¡¢Î¢¿à£¬Î¡£¡±

¹é¾­£ºÈë·Î¾­¡£ ¢ÙÍõºÃ¹Å£º¡°ÈëÊÖÌ«Òõ¾­¡£¡± ¢Ú¡¶À×¹«ÅÚÖÆÒ©ÐԽ⡷£º¡°ÈëÐÄ¡¢·Î¶þ¾­¡£¡±

¹¦Ð§£ºÈó·ÎÏÂÆø£¬Ö¹¿È»¯Ìµ¡£

Ö÷ÖΣºÐ¾ÿÈËÔ£¬´­¿È̵¶à£¬ÀÍËÔ¿ÈѪ¡£ ¢Ù¡¶±¾¾­¡·£º¡°Ö÷¿ÈÄæÉÏÆøÉÆ´­£¬ºí±Ô£¬Öðº®ÈÈÐ°Æø¡£¡± ¢Ú¡¶±ð¼¡·£º¡°Ö÷Ïû¿Ê£¬´­Ï¢ºôÎü¡£¡± ¢Û¡¶Ò©ÐÔÂÛ¡·£º¡°Ö÷ÁÆ·ÎÆøÐÄ´Ù£¬¼±ÈÈ·¦ÀÍ£¬¿ÈÁ¬Á¬²»¾ø£¬ÌéÍÙ³íÕ³¡£ÖηÎðô·ÎÓ¸ÍÂŨ¡£¡± ¢Ü¡¶ÈÕ»ª×Ó±¾²Ý¡·£º¡°ÈóÐķΣ¬ÒæÎåÔ࣬³ý·³£¬²¹ÀÍÁÓ£¬Ïû̵ֹËÔ£¬·ÎðôÍÂѪ£¬ÐÄÐ龪¼Â£¬Ï´¸ÎÃ÷Ä¿¼°Öз硣¡± ¢Ý¡¶±¾²ÝÊö¡·£º¡°ÖÎ̵Òû£¬à³Ö¤ÒàÓÃÖ®¡£¡± ¢Þ¡¶È«¹úÖвÝÒ©»ã±à¡·£º¡°¼±¡¢ÂýÐÔÖ§Æø¹ÜÑ×£¬·Î½áºË£¬¿ÈËÔ£¬Æø´­¡£¡±

Ó÷¨ÓÃÁ¿£ºÄÚ·þ£º¼åÌÀ£¬4£®5¡«9g£»°¾¸à»òÈëÍ衢ɢ¡£

ʹÓÃ×¢Ò⣺¢Ù¡¶±¾²Ý¾­¼¯×¢¡·£º¡°ÐÓÈÊΪʹ£¬µÃ×ÏÝÒÁ¼¡£¶ñÔí¼Ô£¬Ïûʯ£¬Ðþ²Î¡£Î·±´Ä¸¡¢ÐÁÒÄ¡¢Â黯¡¢»ÆÜË¡¢»ÆÁ¬¡¢»ÆêÈ¡¢ÇàÝÙ¡£¡± ¢Ú¡¶±¾¾­·êÔ­¡·£º¡°ÒõÐéÀÍËÔ½ûÓᣡ± ¢Û¡¶±¾²Ý³çÔ­¡·£º¡°·Î»ðìÜׯ£¬·ÎÆø½¹ÂúÕß²»¿ÉÓᣡ±

ÁÙ´²Ó¦ÓÃ

ÅäÎéÓ¦Ó㺢ÙÅä°ÙºÏ(Õô)£¬ÖοÈËÔ²»ÒÑ£¬»ò̵ÖÐÓÐѪ¡£ ¢ÚÅä×ÏÝÒ£¬ÖοÈËÔ̵¶à¡¢·ÎÐé¾Ã¿È¡¢ÀÍËÔ¿©Ñª¡£ ¢ÛÅäÐÓÈÊ£¬ÖÎÌµÆøÓô½áµÄ¿ÈËÔÆø´­¡£ ¢ÜÅäÎåζ×Ó£¬ÖÎʪ̵¡¢Ë®ÒûµÄ¿ÈËÔÆø´­¡¢ÍÂ̵ÇåÏ¡Á¿¶àµÈÖ¢¡£ ¢ÝÅä°Ù²¿£¬Öξÿȡ£ ¢ÞÅä°×ǰ£¬ÖÎÆøÖÍ̵ÓôµÄ¿ÈËÔ¡£ ¢ßÅä°ÙºÏ¡¢°×¼°£¬ÖηνáºË¡¢Ìµ¶à¡¢¿©Ñª¡£ ¢àÅä½Û¹£¡¢Þ²ÜÓÈÊ£¬ÖηÎÓ¸¿ÈËÔ¶øÐØÂúÕñº®¡¢ÂöÊý¡¢Ñʸɡ¢´ó¿Ê¡¢Ê±Ë¯Ðȳôŧ̵¡£ ¢áÅä×ÏÝÒ¡¢ÖªÄ¸£¬ÖÎÂýÐÔ¿ÈËÔÆø¼±¡¢ÌµÖдøÑª¡£ ¢âÅä°ÙºÏ¡¢Â󶬡¢°¢½º£¬ÖηÎÐé¾Ã¿È¡¢ÌµÖдøÑªµÈÖ¢¡£ ¢ÏÅäÐÓÈÊ¡¢ÖªÄ¸¡¢É£°×Ƥ£¬Öα©¿È¡£ ¢ÐÅäÂ黯¡¢Ï¸ÐÁ¡¢×ÏÝÒ£¬Öκ®Òû¿ÈËÔ¡£ ¢ÑÅäÉ£°×Ƥ¡¢ÖªÄ¸¡¢»ÆÜË£¬ÖηÎÈÈ¿ÈËÔ¡£ ¢ÒÅäÂ黯¡¢ÐÓÈÊ¡¢ËÕ×Ó£¬ÖοÈËÔÆø´­¡¢ÓöÀä¼´·¢¡£ ¢ÓÅä×ÏÝÒ¡¢½Û¹£¡¢¸Ê²Ý£¬Öμ±¡¢ÂýÐÔÆø¹ÜÑס¢¿ÈÍÂŧ̵¡£ ¢ÔÅäÐÓÈÊ¡¢Â黯¡¢ÖưëÏÄ£¬ÖÎÏø´­¡£ ¢ÕÅä×ÏÝÒ¡¢Îåζ×Ó¡¢Èâ¹ð¡¢Â黯£¬Öηκ®ÌµËÔ¡¢¿ÈËÔÆø´­µÈÖ¢¡£ ¢ÖÅäÕ㱴ĸ¡¢ÐÓÈÊ¡¢ÖªÄ¸¡¢É£°×Ƥ£¬ÖηÎÈÈ¿ÈËÔ¡¢¿©Ìµ²»Ë¬¡¢Æø¼±ÐØÃÆ¡¢¿Ú¸ÉµÈÖ¢¡£

·½Ñ¡ºÍÑé·½£º ¢Ù¿î¶¬»¨ÌÀ(¡¶Ê¥¼Ã×ܼ¡·)Öα©·¢¿ÈËÔ£º¿î¶¬»¨60g£¬É£¸ù°×Ƥ(ï±)¡¢±´Ä¸(È¥ÐÄ)¡¢Îåζ×Ó¡¢¸Ê²Ý(ÖË¡¢ï±)¸÷15g£¬ÖªÄ¸0£®3g£¬ÐÓÈÊ(ȥƤÃס¢³´¡¢ÑÐ)1g¡£ÉÏ7棬´Öµ·É¸£¬Ã¿·þ6g£¬Ë®100ml£¬¼åÖÁ70ml£¬È¥×Òηþ¡£ ¢Ú¿î»¨ÌÀ(¡¶´¯Ññ¾­ÑéÈ«Êé¡·)ÖηÎÓ¸¿ÈËÔ¶øÐØÂúÕñº®£¬ÂöÊý£¬Ñʸɣ¬´ó¿Ê£¬Ê±³ö×ÇÍÙÐȳô£¬³ô¾ÃÍÂŧÈ羬Ã×Öà×´Õߣº¿î¶¬»¨45g(È¥¹£)£¬¸Ê²Ý30g(ÖË)£¬½Û¹£60g£¬Þ²ÜÓÈÊ30g¡£ÉÏ×÷10¼Á£¬Ë®¼å·þ¡£ ¢Û¿î¶¬»¨É¢(¡¶Ì«Æ½»ÝÃñºÍ¼Á¾Ö·½¡·)ÖÎ·ÎÆø²»Àû¡¢¿ÈËÔ´­Âú¡¢ÐØëõ·³ÃÆ¡¢ÌµÊµÏÑÊ¢£¬ºíÖÐѽßÈ¡¢±ÇÈûÇåÌ顢ͷʹѣð¡¢Ö«Ìå¾ëÌÛ¡¢ÑÊàÉÖ×Í´£º¿î¶¬»¨¡¢ÖªÄ¸¡¢É£Ò¶¸÷300g£¬½ª°ëÏÄ¡¢¸Ê²Ý¡¢°¢½ºÖé¡¢³´ÐÓÈÊ¡¢³´±´Ä¸¸÷600g£¬Â黯1200g¡£Îª´ÖÄ©£¬Ã¿·þ6g£¬¼ÓÉú½ª3Ƭ£¬Ë®¼å·þ¡£ ¢Ü¿î¶¬»¨¸à(¡¶´«ÐÅÊÊÓ÷½¡·)ÖηÎÐé¾ÃËÔ£ºÈ˲Ρ¢°×Êõ¡¢¿î¶¬»¨¡¢Ö˸ʲݡ¢ÅÚ½ª¡¢ÖÓÈé·Û¸÷15g¡£ÎªÏ¸Ä©£¬Á¶ÃÛΪÍ裬ÿ·þ3g£¬Ê³Ç°Ã×ÒûËÍÏ¡£ ¢ÝÊî·çÉ¢(¡¶´§Ä¦Óеü¯¡·)ÖÎС¶ùÏÄÔ·ç»ð¿ÈËÔ£¬´½½¹¿Ú¸É£¬·¢ÉÕ£¬»èÃÔ²»ÐÑ£º¿î¶¬»¨(ÃÛÖË)4£®5g£¬µ±¹é¡¢ÓñÖñ(ÃÛÖË)¡¢èÁèËÒ¶¸÷3g£¬±´Ä¸¡¢Éú¸Ê²Ý¡¢ÌìóûƸ÷1£®5g£¬Ï¬½Ç¡¢Þ¢ÈÊÄ©¡¢éÙºì¸÷1g£¬µ¨ÄÏÐǸ÷0£®3g£¬¼Óź½Ú1´ç¡£Ë®¼å·þ¡£ ¢Þ°Ù»¨¸à(¡¶¼ÃÉú·½¡·)ÖοÈËÔ²»ÒÑ£¬»ò̵ÖÐÓÐѪ£º¿î¶¬»¨¡¢°ÙºÏ(Õô¡¢±º)¸÷µÈ·Ý¡£ÎªÄ©£¬Á¶ÃÛΪÍ裬ÈçÁúÑÛ´ó£¬Ã¿·þ1Í裬ʳºóÁÙÎÔϸ½À£¬½ªÌÀÑÊÏ£¬àß»¯Óȼѡ£ ¢ß°²ÃßÉ¢(¡¶ÆæÐ§Á¼·½¡·)ÖÎÉÏ´­¿ÈËÔ¡¢¾Ã¶ø²»ÓúÕߣº¿î¶¬»¨¡¢ÂóÃŶ¬(È¥ÐÄ)¡¢ÎÚ÷Èâ¡¢·ð¶ú²Ý¸÷7£®5g£¬³ÂƤ(È¥°×)15g£¬ËÚ¿Ç(ÃÛÖË)23g£¬¸Ê²Ý(ÖË)12g¡£ÉÏΪϸĩ£¬Ã¿·þ9g£¬Ë®100ml£¬Èë»ÆÀ¯ÈçÔæºËÐí£¬Í¬¼åÖÁ80ml£¬È¥×Ò£¬ÁÙ˯ηþ¡£¡± ¢à«ÎüÉ¢(¡¶ÕÅÊÏҽͨ¡·)ÖÎÀäÏøº®ËÔ¡¢´­´Ù̵Ç壺¿î¶¬»¨¡¢´¨±´Ä¸¡¢Èâ¹ð¡¢¸Ê²Ý(ÖË)¸÷9g£¬ìѶì¹Üʯ15g¡£ÎªÏ¸Ä©£¬Ã¿´ÎÉÙÐí£¬àß»¯£¬Ã¿ÈÕ5¡«7´Î¡£ ¢á°Ù»¨Íè(¡¶±±¾©ÊÐÖÐÒ©³É·½Ñ¡¼¯¡·)ÖηÎÈÈÐé»ð¡¢¿ÈËÔ̵´­¡¢¿Ú¸ÉÉùÑÆ¡¢ÌµÖдøÑª£º¿î¶¬»¨¡¢Îåζ×Ó(ÖË)¡¢×ÏÝÒ¡¢Ì컨·Û¡¢Äµµ¤Æ¤¡¢½Û¹£¡¢éÙÆ¤¡¢ÂóÃŶ¬¡¢Ç°ºú¡¢°ÙºÏ¡¢Ðþ²Î¡¢É³²Î¡¢±¡ºÉ¡¢ÆÑ»Æ(³´)¡¢ÐÓÈÊ(³´)¡¢ÊÁ˪¡¢´¨±´Ä¸¸÷90g¡£ÎªÏ¸Ä©£¬Á¶ÃÛΪÍ裬ÿÍèÖØ7£®5g£¬Ã¿·þ1Í裬οªË®ËÍÏ£¬Ã¿ÈÕ2´Î¡£ ¢â¿î¶¬»¨ÌÀ(¡¶ÖÐÒ©´óÈ«¡·)ÖÎÉË·ç¸Ðð¡¢ÉϺôÎüµÀÑ×¶øÓд­ËÔÕߣº¿î¶¬»¨9g£¬¿àÐÓÈÊ6g£¬Õ㱴ĸ6g£¬ÖªÄ¸6g£¬É£°×Ƥ6g£¬Îåζ×Ó9g£¬¸Ê²Ý3g¡£Ë®¼å·þ¡£ ¢Ï¡¶ÖÐÒ½°ÙÖ¢ÓÃÒ©ÅäÎéÖ¸ÄÏ¡·£º¡°ÖοÚÖÐðá´¯£º¿î¶¬»¨¡¢»ÆÁ¬¸÷µÈ·Ý¡£ÎªÄ©£¬ÓÃÍÙ½òν³É±ý×Ó£¬ÏÈÒÔÉß´²×Ó¼åÌÀÊþ¿Ú£¬ÄËÒÔ±ý×Ó·óÖ®¡£¡± ¢Ð¶¬»¨ÌÀ(ËÄ´¨ÖÐÒ½ 1989£»(3))ÖÎС¶ùÍç¿È£º¿î¶¬»¨5g£¬´¨±´¡¢Â󶬸÷3g£¬¸Ê²Ý2g£¬±ùÌÇ30g¡£Ë®¼å·þ¡£ ¢Ñ½­ËÕÖÐÒ½Ò© 1960£»(3)£º¡°ÖΰÙÈÕ¿È£ºÉ£°×Ƥ30g£¬¿î¶¬»¨22£®5g£¬Â黯1£®5g£¬Ïó±´Ä¸21g¡£ÉÏ6ζ¹²ÑÐÄ©£¬·Ö15°ü£¬Ã¿ÈÕ3´Î£¬Ã¿´Î1°ü¡£¡± ¢ÒÉÂÎ÷ÖÐÒ½Ò© 1985£»(6)£º¡°ÖΰÙÈÕ¿È£º°Ù²¿¡¢¿î¶¬»¨¡¢ÇØÆ¤¸÷12g£¬´¨±´Ä¸8g£¬ÌìÖñ»Æ10g¡£5Ëê¶ùͯÿÈÕ1¼Á£¬Ë®¼åƵ·þ¡£¡±

µ¥·½Ó¦Ó㺢١¶ÁÙ´²³£ÓÃÖÐÒ©Êֲᡷ£º¡°ÖÎÂýÐÔÖ§Æø¹ÜÑ×£¬¾Ã¿È²»Ö¹£º¿î¶¬»¨ÊÊÁ¿£¬×°ÈëÑ̶·ÖУ¬µãȼÎüÖ®¡£¡± ¢Ú¡¶ÁÙ´²³£ÓÃÖÐÒ©Êֲᡷ£º¡°ÖÎÖÌ©£º¿î¶¬»¨»¨ÀÙÑÐĩˮµ÷·ó¡£¡±

Ò½Ò©¼ÒÂÛÊö

¢Ù¼ÖËùѧ¡¶Ò©Æ·»¯Òå¡·£º¡°¶¬»¨£¬Î¶¿àÖ÷½µ£¬ÆøÏãÖ÷É¢£¬Ò»Îï¶øÁ½Óü汸¡£¹ÊÓÃÈë·Î²¿£¬Ë³·ÎÖÐÖ®Æø£¬ÓÖÇå·ÎÖÐ֮Ѫ¡£×¨ÖοÈÄæÉÏÆø£¬·³ÈÈ´­´Ù£¬ÌµÏѳíÕ³£¬ÌéÍÙÐȳô£¬ÎªÖîÖ¤Ö®Òª¼Á£¬Èç¾ÃËÔ·ÎÐ飬ÓȲ»¿Éȱ¡£¡± ¢Ú¬֮Òá¶±¾²Ý³ËÑŰëÙÊ¡·£º¡°¿î¶¬»¨ÓÃÖοÈÄæÉÏÆø¡¢ÉÆ´­£¬ºí±Ô£¬ÒòÉö¿àÔï¼°Ðκ®ÒûÀ䣬ÇïÉËÓÚʪÕßʼÒË¡£»ò»ðÈÈÐ̽𣬻ò·ÎÆø½¹Âú£¬¿ÖÒæÏû˸»ÙÉËÒÓ¡£¡± ¢Û×Þäø¡¶±¾¾­ÊèÖ¤¡·£º¡°×ÏÝÒ¡¢¿î¶¬»¨£¬ÖÙ¾°ÊéËû´¦²»Ó㬶ÀÓÚ·ÎðôÉÏÆø¿ÈËÔÆª£¬Éä¸ÉÂ黯ÌÀÖÐÓÃÖ®¡£Éä¸ÉÂ黯ÌÀ£¬¼´Ð¡ÇàÁúÌÀÈ¥¹ðÖ¦¡¢ÉÖÒ©¡¢¸Ê²Ý£¬¼ÓÉä¸É¡¢×ÏÝÒ¡¢¿î¶¬»¨¡¢´óÔæÒ²¡£×ÏÝÒ¡¢¿î¶¬Ëä²»µÃΪÊÇ·½Ö÷¼Á£¬È»¾Ö·¨Ö®×ªÒÆ£¬ÊµÒÔ×ÏÝÒ¡¢¿î¶¬±ä¡£¹Ê¡¶Ç§½ð¡·¡¢¡¶Íą̂¡··²ÖοÈÄæ¾ÃËÔ£¬²¢ÓÃ×ÏÝÒ¡¢¿î¶¬Õߣ¬Ê®·½¶ø¾Å£¬ÔòÓÚ´Ë·½Ò಻¿É²»ÎªÒªÒ©ÒÓ¡£È»¶þÎïÕߣ¬Ò»Ôò¿ª½á£¬Ê¹Öн¹Ö®Òõ»¯Ñª£¬Ò»ÔòÎüÒõϹ飬¾¿Ö®¹¦Á¦ÂÔͬ£¬¶øÆäÒìÔÚ¡¶Ç§½ð¡·¡¢¡¶Íą̂¡·ÒàÔ¼ÂԿɼû¡£¸Ç·²ÍÂŧѪʧÒôÕߣ¬¼°·çº®Ë®ÆøÊ¢Õߣ¬¶à²»ÉõÓÿ£¬µ«ÓÃ×ÏÝÒ¡£¿î¶¬ÔòÿͬμÁ²¹¼ÁÓÃÕßΪ¶à£¬ÊDz»¿ÉµÃÆä´óÖ¼ÔÕ¡£¡± ¢Ü¡¶±¾²ÝÕýÒå¡·£º¡°¿î¶¬»¨£¬Ö÷·Î²¡£¬ÄÜ¿ªÐ¹Óô½á£¬¶¨ÄæÖ¹´­£¬×¨Ö÷¿ÈËÔ£¬ÐÔÖʹ¦Ó㬽ÔÓë×ÏÝÒ¾øËÆ¡£ËùÒÔ¡¶±¾¾­¡·Ö÷ÖΣ¬Òิ¶àͬ£¬ÓÚº®Êø·Î½ðÖ®Òûа´­ËÔ×îÒË¡£È»ÆøÎ¶ËäΣ¬Èó¶ø²»ÔÔòÎÂÈÈ֮а£¬ÓôÓڷξ­¶ø²»µÃÊèйÕߣ¬ÒàÄÜÖÎÖ®£¬ÓÖÈç×ÏÝÒ¿ª·Î£¬º®ÈȽÔÒËÖ®Àý¡£ÌرÈÖ®×ÏÝÒ£¬¾¿ÊÇÐÁÎÂÒ»³ï£¬Ôò»ðаÓô½á£¬Èç·ÎÓ¸³Éŧ¡¢Ìµºì³ô»àÖ®ºò£¬×Ôµ±ÓÐËù¹Ë¼É¡£ÕçȨ¾¹Î½ÆäÖ÷·Îðô·ÎÓ¸£¬¶ø¾°ÔÀ¡¢Ê¯Íç´Ó¶øºÍÖ®£¬ÊâÊÇδÍס£ÇÒʯÍçÒàνÒõÐéÀÍËÔ¼ÉÖ®£¬ÒÔÆäÐÔÎÂÒ²¡£ºÎ¶ÀÓÚ·ÎÓ¸¶ø²»Î·ÆäÎÂ?ÒªÖ®£¬Æä¹¦Óôó¸Ù£¬¶àËÆ×ÏÝÒ¡£¡±

²Î¿¼ÎÄÕÂ